Fig. 9
From: A new coupled-inductor-free bidirectional DC-DC converter with low current ripple in both sides

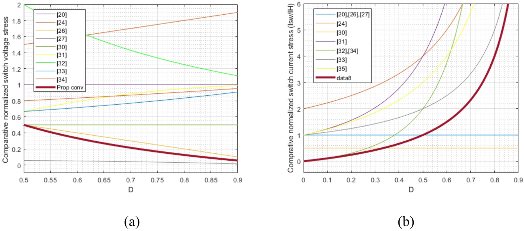
Comparative plots of the converter: (a) normalized switch voltage stress in step-up mode, (b) normalized switch current stress in step-up mode.