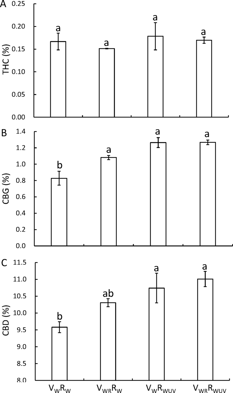
Fig. 3

Effect of light treatments on (A) THC, (B) CBG, and (C) CBD content in hemp inflorescence. VWRW: white light was used in both vegetative and flowering stages; VWRRW: white light with supplementation of red light in vegetative stage and white light in flowering stage; VWRWUV: white light in vegetative stage and supplemented with UV-A radiation in flowering stage; VWRRWUV: white light supplemented with red radiation in vegetative stage and UV-A radiation in flowering stage. Error bars show ± SE (n = 3). Different letters indicate significant differences between light treatments based on Fisher’s LSD test at the 0.05 level.