Abstract
Light spectrum plays a crucial role in regulating the growth of hemp (Cannabis sativa L.) plants and the biosynthesis of secondary metabolites. Several studies have demonstrated that additional red-light exposure increases biomass accumulation, while supplementary UV-A light stimulates cannabinoid synthesis. Nevertheless, the potential of stage-specific supplementation of red and UV-A light remains underexplored in its capacity to optimize cannabinoid yield in indoor hemp cultivation. In the present study, the effect of red light in combination with UV-A light on hemp biomass and cannabinoid accumulation was investigated using a high-CBD strain. There were four treatments: (1) white light throughout the growth period (control; VWRW); (2) red light supplementation during the vegetative stage (VWRRW); (3) UV-A supplementation (VWRWUV) during the flowering stage; and (4) combined red and UV-A supplementation (VWRRWUV) during the vegetative and flowering stages. Results showed that VWRRW promoted the number of effective branches (increased by 18.0%) compared to the control (VWRW), resulting in an increase in inflorescence yield by 17.9%. VWRWUV increased CBG and CBD content by 52.7% and 12.1%, respectively, relative to the control. The effect of VWRRWUV on biomass and cannabinoid accumulation was the strongest among the treatments, with CBG and CBD yields reaching 0.53 g and 4.62 g per plant, representing significant increase of 91.8% (p < 0.01) and 44.1% (p < 0.01), respectively, compared to the control. However, there were no significant differences in CBD yield among the VWRRW, VWRWUV and VWRRWUV treatments, indicating that the combined supplementation of red and UV-A light did not have an additive effect on CBD accumulation. These findings highlight the potential of stage-specific spectral strategy to optimize both plant growth and phytochemical quantity.
Similar content being viewed by others
Introduction
Industrial hemp (Cannabis sativa L.) is a member of the Cannabaceae family. It has been cultivated for thousands of years for its fiber and grain, but has recently gained attention for the pharmacological value of its diverse terpenes and cannabinoids1,2. Unlike marijuana, industrial hemp is legally classified as containing less than 0.3% tetrahydrocannabinol (THC), the primary psychoactive compound of cannabis. This low THC content makes hemp non-intoxicating while providing a rich source for bioactive cannabinoids such as cannabidiol (CBD) and cannabigerol (CBG), which exhibit therapeutic potential in neurological, inflammatory, and metabolic conditions, highlighting their significance in medical research and clinical applications3.
When it comes to hemp cultivation for cannabinoid production, controlled environments such as greenhouses and growth tents are often preferred. These environments offer numerous advantages over open-field cultivation, including the ability for year-round production, reduced pest issues, and the potential for higher-quality products4. Light plays a crucial role in hemp production in a controlled environment, as it directly influences photosynthesis, morphology, and secondary metabolite biosynthesis5,6. Several types of artificial lighting systems are commonly used in indoor cultivation, including incandescent lamps, high-pressure sodium (HPS) lights, metal halide (MH) lights, and light-emitting diodes (LEDs)4,7. Among these, LED technology is getting more and more popular because it offers significant advantages such as high energy efficiency, long lifespan, and low heat emission, making it a preferred choice for precision-controlled cultivation systems8, most importantly, by utilizing LED lighting systems, growers can precisely control light quality by adjusting the spectral composition9.
Broad-spectrum (white) light sources offered a more balanced spectral composition10. However, within the visible spectrum (380–720 nm), the wavelengths most efficiently utilized by plants for photosynthesis were found in the blue (400–500 nm) and red (600–700 nm) regions10. Red light has an effect on the morphological structure, photosynthetic efficiency, flowering time, and metabolite accumulation of plants11,12. A number of studies have shown that increasing red light during the early stages enhances photosynthetic efficiency and promotes secondary metabolite accumulation in various crops, including hemp6,13. For example, Wei6 found that increasing the red-to-blue light ratio (R:B ratio) from 9.3:1.0 to 16.8:1.0 significantly enhanced both biomass and CBD content in hemp inflorescences.
Beyond the red-to-blue light ratio, the role of near-ultraviolet light (UV-A, 350–400 nm) has also gained increasing attention in studies on the effects of light on plants. UV-A is a type of long-wave ultraviolet light that regulates plant growth using the same photoreceptors as blue light, such as cryptochrome and phototropins14,15. Research has shown that UV-A enhances the photoprotection of plant leaves by stimulating secondary metabolism, which in turn promotes the production of secondary metabolites. These metabolites play an important role in protecting plants from light damage, specifically in two aspects: first, they enhance the plant’s ability to block and filter out high-intensity light; second, they can also eliminate toxic photoproducts, such as peroxides and singlet oxygen, thereby reducing the possibility of photoinhibition16,17. Positive results of supplemental UV-A on the secondary metabolism of the hemp plant have also been reported. For example, Jenkins and Livesay18, reported that supplemental UV-A (390 nm) increased THC concentrations in two out of three tested genotypes but simultaneously decreased terpene concentrations across all varieties. Magagnini19, found that UV-A combined with blue radiation resulted in an increase in cannabinoid levels in female inflorescences.
Current available studies indicate that applying red light during the vegetative stage is advantageous, as it improves plant architecture and photosynthetic efficiency. In contrast, UV-A application is more beneficial during the reproductive stage, since cannabinoids are predominantly synthesized in this period. However, whether stage-specific application of spectra, i.e. increased red-light exposure during the vegetative stage in combination with supplemental UV-A irradiation during the reproductive stage, can enhance cannabinoid production in hemp remains insufficiently explored. By investigating this integrated lighting strategy, there is a potential to improve the efficiency of indoor hemp cultivation.
Materials and methods
Plant materials
A pot experiment was conducted in the experimental greenhouse at Yunnan University, Yunnan Province, China (24.82°N, 102.85°E) with a hemp strain, coded as “BG29”. BG 29 is an industrial hemp germplasm preserved clonally by our research group. It was developed from a variant selected from a hemp field in Kunming, Yunnan. Although not yet officially registered, this strain is a promising candidate for greenhouse cultivation in Yunnan, with its inflorescence containing up to 10% CBD and 1% CBG, while keeping THC below the 0.3% legal threshold. To ensure genetic uniformity, uniform cuttings were propagated from a single female plant. Rooted cuttings were transplanted into round plastic pots (top diameter: 265 mm; bottom diameter: 157 mm; height: 170 mm) filled with a humus-based substrate (Pindstrup Mosebrug A/S, Denmark) for seedling establishment in a climate-controlled growth chamber. One seedling per pot. During seedling establishment, the plants were lighted by white-spectrum LED grow lights for 18 h per day. The LED lights (STG-1000W-D, SLTMAKS/SLT Lighting Technology Co., LTD, China; available via Alibaba.com) used in this study has its spectral details specified in Table 1 and Fig. 1. Each pot was irrigated daily with 500 ml of tap water, and fertilized weekly with 3 g of water-soluble fertilizer (N:P₂O₅:K₂O = 18:18:18).
Spectral distribution of different light treatments.
Light treatments
Following seedling establishment, when the seedlings reached approximately 15 cm in height, the seedlings were transferred into two growth tents (1.5 m × 1.5 m × 2.0 m) for light treatment application. The tents were covered by blackout material and equipped with an independent LED light and ventilation unit. The LED light in Tent I (STG-1000W-D, SLTMAKS/SLT Lighting Technology Co., LTD, China) emitted white light with a R:B ratio of 1.9:1.0 (Table 1, Fig. 1). The LED light in Tent II (STG-800W-F-F3, SLTMAKS/SLT Lighting Technology Co., LTD, China) emitted white light as in Tent I, with the addition of red light peaking at 660 nm, and ultraviolet light peaking at 395 nm.
There were six seedlings allocated to each tent. The seedlings in Tent I were lit by white LED grow lights (R:B ratio was 1.9:1.0) for 18 h per day for vegetative growth, while in Tent II the seedlings were lit by white LED grow lights with red supplement (R:B ratio was 2.9:1.0). The vegetative growth phase lasted for 35 days. Subsequently, three plants were randomly selected from Tent I and transferred to Tent II, while three plants were likewise randomly selected from Tent II and moved to Tent I. After exchanging plants between Tent I and Tent II, the lighting period in both tents was changed to 12 h per day to induce flower development. The light in Tent I was maintained the same as the vegetative growth phase (white LED lights with R:B ratio of 1.9:1.0), while the supplementary red light in Tent II was replaced by ultraviolet light (UV-A), resulting R:B:UV-A of 1.4:1:0.3. Consequently, there were four treatments with three biological replicates per treatment (Table 2), (1) white light throughout the experimental period (control, VWRW); (2) red light supplementation during vegetative growth period (VWRRW); (3) UV-A light supplementation during flowering period (VWRWUV); (4) red light supplementation during vegetative growth period and UV-A light supplementation during flowering period (VWRRWUV).
Throughout the experimental period, the height of the LED fixtures was adjusted weekly to maintain a constant distance of 50 cm from the plant canopy. Photosynthetic photon flux density (PPFD) at canopy height was kept the same for both tents, at 450 μmol·m⁻2·s⁻1. Ambient air (approximately 45–60% RH and 400 ppm CO₂) was ventilated into each growth tent to prevent overheating, and temperature was periodically measured and remained below 32 °C. To minimize the bias caused by pot position, the pots within each tent were rotated weekly.
Data collection
Plants were harvested when approximately 70% of the pistils had turned reddish-brown, which occurred on the 42nd day after transitioning to a 12 h photoperiod. At harvest, plant height (measured from the soil surface to the inflorescence tip), stem diameter (measured 2 cm above the stem base), and the number of effective branches (defined as branches on the main stem exceeding 10 cm in length) were recorded. Afterward, the plants were cut at the soil surface and divided into stems, fan leaves, and inflorescences to assess the dry weight after being dried in an oven at 80 °C for 72 h. Subsamples of the dried inflorescences from each plant were collected for the analysis of CBD, CBG, and THC content.
The contents of CBD, CBG, and THC in inflorescence were determined using high-performance liquid chromatography method (HPLC) with UV detection, based on the Chinese agricultural standard NY/T 3252.1-2018 (Industrial Hemp Seed—Part 1: Definition of Industrial Hemp Variety; Ministry of Agriculture and Rural Affairs of the PRC20). Briefly, dried inflorescence samples were decarboxylated by oven-heating at 135 °C for 40 min. Approximately 0.2 g of ground sample was then extracted in 10 mL of methanol using an ultrasonic bath for 30 min at room temperature, with the extraction process repeated three times. The resulting mixture was allowed to stand for at least 90 min. Subsequently, 1.5 ml of the supernatant was filtered through a 0.45 μm organic microporous syringe filter (Biosharp BS-PES- 45, Labgic Technology Co., Ltd., Beijing, China) into HPLC vials for analysis. The HPLC analysis was conducted using an Ultimate 3000 system (Thermo Fisher Scientific, USA). A Syncronis C18 column (250 × 4.6 mm, 5 μm particle size, Thermo Fisher Scientific Inc. Bellefonte, USA) was used for chromatographic separation. The mobile phase consisted of acetonitrile and water (85:15, v/v) at a flow rate of 1 mL/min and the column temperature was 30 °C. The injection volume was 10 μl, and detection was performed at a wavelength of 220 nm.
Statistical analysis
Data analysis was conducted using SPSS v.27.0 (SPSS Inc., Chicago, IL). A general linear model was used to test the effect of light treatment on plant growth parameters and the content of cannabinoids. Significant differences between treatments were compared by using Fisher’s least significant difference test (LSD), where probabilities equal to or less than 0.05 were considered significant.
Results
Effects of light spectrum on plant morphology and biomass
Supplementation with red and UV-A light did not affect flower development rate, as plants under all treatments presented a similar degree of inflorescence maturity at harvest. The treatments had only a slight effect on plant architecture (Fig. 2). Overall, light treatments did not result in statistically significant differences in plant height or stem diameter, although plants grown under the red and UV-A light supplementation showed higher values than those in the control treatment (Table 3.). However, red and UV-A light supplementation significantly affected the number of effective branches (p < 0.05). Plants under the control treatment (VWRW) had an effective branch number of 15 plants⁻1, while those under the red-light supplementation in the vegetative stage (VWRRW) and UV-A supplementation in the flowering stage (VWRUV) exhibited effective branch numbers of 17.7 plants⁻1 (an increase of 18.0%) and 16.7 plants⁻1 (an increase of 11.3%), respectively (Table 3). Supplementation of both red light in the vegetative stage and UV-A at the flowering stage (VWRRWUV) resulted in an increase in the number of effective branches by 15.3% higher than control (VWRW).
Plant morphology grown under different light treatments. (A) white light in both vegetative and flowering stages (VWRW); (B) white light supplemented with red light in the vegetative stage and white light in the flowering stage (VWRRW); (C) white light in vegetative stage and supplemented with UV-A radiation in flowering stage (VWRWUV); (D) white light with red radiation supplemented in the vegetative stage and UV-A radiation in the flowering stage (VWRRWUV).
A trend toward increased stem dry weight, leaf dry weight was observed under treatments supplemented with either red or UV-A radiation (Table 4), however, the effects were nonsignificant. A significant difference was detected in inflorescence dry weight among treatments (p < 0.05). Under the control condition (VWRW), plants had an average leaf dry weight and inflorescence dry weight of 23.6 g and 33.5 g per plant, respectively. Compared to VWRW, the VWRRW treatment significantly increased inflorescence dry weight by 17.9% (p < 0.05), while the VWRWUV treatment showed an increase of 14.9% with statistically not significant. The highest increases in inflorescence dry weight were observed under the VWRRWUV treatment, with an increase of 25.1% compared to VWRW (p < 0.05). Interestingly, the difference of inflorescence dry weight was statistically nonsignificant among VWRRW, VWRWUV and VWRRWUV.
Effects of light treatments on cannabinoid content and yield
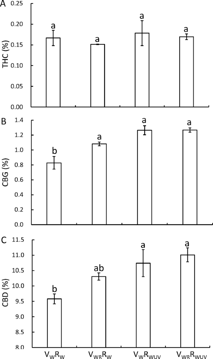
Light treatments did not induce significant changes in THC content in the inflorescences, with all treatments maintaining THC levels below the legal threshold of 0.3% (Fig. 3A).
Effect of light treatments on (A) THC, (B) CBG, and (C) CBD content in hemp inflorescence. VWRW: white light was used in both vegetative and flowering stages; VWRRW: white light with supplementation of red light in vegetative stage and white light in flowering stage; VWRWUV: white light in vegetative stage and supplemented with UV-A radiation in flowering stage; VWRRWUV: white light supplemented with red radiation in vegetative stage and UV-A radiation in flowering stage. Error bars show ± SE (n = 3). Different letters indicate significant differences between light treatments based on Fisher’s LSD test at the 0.05 level.
Under the control treatment (VWRW), the average contents of CBG and CBD in the inflorescences were 0.83% and 9.58%, respectively (Figs. 3B–C and 4). The VWRRW treatment significantly (p < 0.05) affected the CBG content, with 30.62% increase compared to the control, while its effect on CBD content was moderate and not statistically significant (Fig. 3B, C). VWRWUV treatment significantly influenced both CBG (p < 0.01) and CBD (p < 0.05) contents in the inflorescences, resulting in increases of 52.7% and 12.1%, respectively, compared to the control. The effects of VWRRWUV on CBG and CBD content were the strongest among the treatments, with CBG content increasing by 53.0% (p < 0.01) and CBD content by 14.9% (p < 0.01) compared to the control. The differences of CBG and CBD content was statistically nonsignificant among VWRRW, VWRWUV and VWRRWUV.
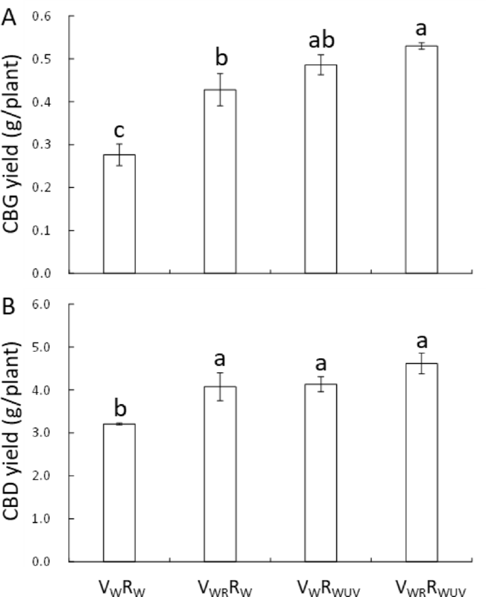
Effect of light treatments on (A) CBG, (B) CBD yield in hemp inflorescence. VWRW: white light was used in both vegetative and flowering stages; VWRRW: white light with supplementation of red light in vegetative stage and white light in flowering stage; VWRWUV: white light in vegetative stage and supplemented with UV-A radiation in flowering stage; VWRRWUV: white light supplemented with red radiation in vegetative stage and UV-A radiation in flowering stage. Error bars show ± SE (n = 3). Different letters indicate significant differences between light treatments based on the LSD test at the 0.05 level.
Among the treatments, the lowest CBG and CBD yields were recorded in plants grown under the control condition (VWRW), with average values of 0.28 g and 3.20 g per plant, respectively (Fig. 4A, B). The VWRRW and VWRWUV treatments resulted in notable yield improvements, with CBG yield increased by 54.9% (p < 0.05) and 76.0% (p < 0.001), and CBD yield increased by 27.2% (p < 0.05) and 29.0% (p < 0.05), respectively, relative to the control. The highest yields were observed under the VWRRWUV treatment, where CBG yield and CBD yield reached 0.53 g and 4.62 g per plant, representing significant increases of 91.8% (p < 0.001) and 44.1% (p < 0.01), respectively, compared to the control. The differences of CBD yield were statistically nonsignificant among VWRRW, VWRWUV and VWRRWUV.
Discussion
The results of the present study demonstrated that, compared with the white light treatment (VWRW), enhanced red light exposure during the vegetative growth period (VWRRW) significantly improved inflorescence dry weight, particularly by increasing the number of branches (an increase of 18.0%; p < 0.05) (Tables 3 and 4). Research conducted by Magagnini19, supports as well the result that red light enhances biomass accumulation in hemp through increased branching. These effects may be attributed to the increased R:FR ratio resulting from the elevated red-light intensity, as a high R: FR ratio could promote bud outgrowth by activating hormonal signaling pathways and metabolic processes21. Therefore, optimizing red light exposure during vegetative growth could be leveraged to increase hemp inflorescence yield in controlled-environment cultivation, thereby improving production efficiency and economic returns.
Supplementation of UV-A light during flowering period (VWRWUV) had no negative effect on plant biomass whereas it resulted in significant increase in CBG and CBD contents in inflorescences (Fig. 3), leading to a significant enhancement in cannabinoid yield (Fig. 4). The positive effect of ultraviolet light on the production of secondary metabolites has been reported in various plants, such as Crepis japonica, Mentha aquatica, grapes, basil, and stevia22,23,24,25,26. The underlying mechanism of UV-A light on cannabinoids remains poorly understood. Llewellyn27 demonstrated that a combination of UV-A and UV-B exposure increases the density of trichome glands in hemp leaves. Additionally, UV light could trigger a complex series of biochemical reactions that activate and boost the cannabinoid synthesis pathway28. For example, it has been reported that UV-A has a positive impact on the synthesis of olivetolic acid, a key intermediate in cannabinoid biosynthesis, which ultimately increases the production of various cannabinoids25,29. Taken together, these findings suggest that targeted UV-A supplementation during flowering may represent a practical strategy to enhance cannabinoid yield in controlled-environment hemp cultivation without compromising biomass production.
Results in the present study demonstrated that plant growth was enhanced by red light supplementation during the vegetative stage (VWRRW, Tables 3 and 4), while cannabinoid accumulation, particularly CBG and CBD, was increased by UV-A application during the flowering stage, VWRWUV, (Fig. 3). Consequently, the highest total cannabinoid yield was achieved with the combined supplementation of red and UV-A light at different growth stages, VWRRWUV, (Fig. 4). However, it is noticeable that the differences of CBD content and yield were statistically nonsignificant among VWRRW, VWRWUV and VWRRWUV, indicating non-additive effect of red and UV-A light on CBD accumulation when applied at different growth stages. These effects may be attributed to the relatively uniform light intensity and nutrient supply across all treatments. This similarity resulted in comparable photosynthetic capacity among them, which, in turn, constrained the potential benefits of the red and UV-A light treatments—benefits that otherwise promoted a more branched architecture and redirected assimilates toward the inflorescence. Therefore, to effectively optimize red and UV-A light for increasing hemp inflorescence yield in controlled environments, it is essential to synergistically increase light intensity and nutrient supply. Nevertheless, results observed in the present study reveal the complexity of the effects of red and UV-A light on hemp growth and cannabinoid accumulation. Further study is needed to understand the mechanism underlying the effects of red and UV-A exposures at different growth stages.
Conclusion
This study highlights the importance of targeted light spectrum management in indoor hemp cultivation. Red light supplementation during the vegetative stage effectively promoted branching and biomass weight, while UV-A radiation applied during the flowering stage significantly enhanced the accumulation of key cannabinoids, particularly CBG and CBD. The combination of red and UV-A supplementation resulted in the highest total cannabinoid yield. The effects of red light and UV-A exposure on CBD accumulation were non-additive when applied at different growth stage. Future research should focus on optimizing light intensity and timing for the most effective cannabinoid production and plant growth outcomes.
Data availability
The raw data supporting the conclusions of this article will be made available by K.Tang on request.
References
Dey, M. et al. Mechanisms and strategic prospects of cannabinoids use: Potential applications in antimicrobial food packaging—A review. Compr. Rev. Food Sci. Food Saf. 24(1), e70113 (2025).
Irawan, A. et al. Use of industrial hemp byproducts in ruminants: a review of the nutritional profile, animal response, constraints, and global regulatory environment. J. Cannabis Res. 7(1), 25 (2025).
Whiting, P. F. et al. Cannabinoids for medical use: A systematic review and meta-analysis. JAMA 313(24), 2456–2473 (2015).
Jin, D., Jin, S. & Chen, J. Cannabis indoor growing conditions, management practices, and post-harvest treatment: a review. Am. J. Plant Sci. 10(06), 925 (2019).
Cheng, X. et al. Effects of light spectra on morphology, gaseous exchange, and antioxidant capacity of industrial hemp. Front. Plant Sci. 13, 937436 (2022).
Wei, X. et al. Wavelengths of LED light affect the growth and cannabidiol content in Cannabis sativa L.. Ind. Crops Prod. 165, 113433 (2021).
Eichhorn Bilodeau, S. et al. An update on plant photobiology and implications for cannabis production. Front. Plant Sci. 10, 296 (2019).
Katzin, D., Marcelis, L. F. & van Mourik, S. Energy savings in greenhouses by transition from high-pressure sodium to LED lighting. Appl. Energy 281, 116019 (2021).
Pattison, P. et al. LEDs for photons, physiology and food. Nature 563(7732), 493–500 (2018).
Kusuma, P., Pattison, P. M. & Bugbee, B. From physics to fixtures to food: Current and potential LED efficacy. Hortic. Res. 7(56), 1–9 (2020).
Karimi, M., Ahmadi, N. & Ebrahimi, M. Red LED light promotes biomass, flowering and secondary metabolites accumulation in hydroponically grown Hypericum perforatum L. (cv. Topas). Ind. Crops Prod. 175, 114239 (2022).
Seyedi, F. S., Nafchi, M. G. & Reezi, S. Effects of light spectra on morphological characteristics, primary and specialized metabolites of Thymus vulgaris L.. Heliyon 10(1), e23032 (2024).
Spalholz, H., Perkins-Veazie, P. & Hernández, R. Impact of sun-simulated white light and varied blue: Red spectrums on the growth, morphology, development, and phytochemical content of green-and red-leaf lettuce at different growth stages. Sci. Hortic. 264, 109195 (2020).
Hogewoning, S. W. et al. Blue light dose–responses of leaf photosynthesis, morphology, and chemical composition of Cucumis sativus grown under different combinations of red and blue light. J. Exp. Bot. 61(11), 3107–3117 (2010).
Zhang, Y. et al. Ultraviolet-A1 radiation induced a more favorable light-intercepting leaf-area display than blue light and promoted plant growth. Plant Cell Environ. 47(1), 197–212 (2024).
Tokutsu, R. et al. UV-A/B radiation rapidly activates photoprotective mechanisms in Chlamydomonas reinhardtii. Plant Physiol. 185(4), 1894–1902 (2021).
Ferreyra, M. L. F., Serra, P. & Casati, P. Recent advances on the roles of flavonoids as plant protective molecules after UV and high light exposure. Physiol. Plant. 173(3), 736–749 (2021).
Jenkins, M. W. & Livesay, C. B. Photosynthetic performance and potency of Cannabis sativa L. grown under LED and HPS illumination. Agric. Sci. 12(3), 293–304 (2021).
Magagnini, G., Grassi, G. & Kotiranta, S. The effect of light spectrum on the morphology and cannabinoid content of Cannabis sativa L.. Med. Cannabis Cannabinoids 1(1), 19–27 (2018).
Ming, Y., Mengbi, G. & Xuan, C. Industrial Hemp Seed—Part 1: Definition of Industrial Hemp Variety. Ministry of Agriculture and Rural Affairs of the People’s Republic of China. (2018).
Demotes-Mainard, S. et al. Plant responses to red and far-red lights, applications in horticulture. Environ. Exp. Bot. 121, 4–12 (2016).
Constantino, L. D. S. et al. Responses of Crepis japonica induced by supplemental blue light and UV-A radiation. Photochem. Photobiol. Sci. 16(2), 238–245 (2017).
Del-Castillo-Alonso, M-Á. et al. To what extent are the effects of UV radiation on grapes conserved in the resulting wines? Plants 10(8), 1678 (2021).
Kang, S. et al. Mild-intensity UV-A radiation applied over a long duration can improve the growth and phenolic contents of sweet basil. Front. Plant Sci. 13, 858433 (2022).
Nazari, M. & Zarinkamar, F. Ultraviolet-B induced changes in Mentha aquatica (a medicinal plant) at early and late vegetative growth stages: Investigations at molecular and genetic levels. Ind. Crops Prod. 154, 112618 (2020).
Semenova, N. A. et al. Effect of UV stress on the antioxidant capacity, photosynthetic activity, flavonoid and steviol glycoside accumulation of Stevia rebaudiana Bertoni. Horticulturae 10(3), 210 (2024).
Llewellyn, D. et al. Indoor grown cannabis yield increased proportionally with light intensity, but ultraviolet radiation did not affect yield or cannabinoid content. Front. Plant Sci. 13, 974018 (2022).
Brousseau, V. D. et al. Cannabinoids and terpenes: how production of photo-protectants can be manipulated to enhance Cannabis sativa L. phytochemistry. Front. Plant Sci. 12, 620021 (2021).
Gagne, S. J. et al. Identification of olivetolic acid cyclase from Cannabis sativa reveals a unique catalytic route to plant polyketides. Proc. Natl. Acad. Sci. 109(31), 12811–12816 (2012).
Acknowledgements
The authors gratefully acknowledge all staff members involved in the trials.
Funding
This research was funded by China Agriculture Research System of MOF and MARA under grant number CARS-16-E15; Joint fund of Yunnan Provincial Department of Education Scientific Research and Yunnan University Graduate Research Innovation Fund under grant number KC-242410042.
Author information
Authors and Affiliations
Contributions
Conceptualization, W.O., K.L. and K.T.; Methodology, Q.Z., W.O., K.T.; Validation, Q.Z., X.H., G.D., X.C.; Formal analysis, G.D., X. C.; Investigation, Q.Z., X.H., and W.O.; Resources, K.L., Y.R. and K.T.; Data curation, Q.Z., W.O., Y.L. and K.T.; Writing-original draft, Q.Z.; Writing-review & editing, Q.Z., W.O., Q.X., Y.L. and K.T.; Supervision, K.T.; Project administration, W.O., and K.T.; Funding acquisition, K.L., and Q.X. All authors have read and agreed to the published version of the manuscript.
Corresponding authors
Ethics declarations
Competing interests
The authors declare no competing interests.
Additional information
Publisher’s note
Springer Nature remains neutral with regard to jurisdictional claims in published maps and institutional affiliations.
Rights and permissions
Open Access This article is licensed under a Creative Commons Attribution-NonCommercial-NoDerivatives 4.0 International License, which permits any non-commercial use, sharing, distribution and reproduction in any medium or format, as long as you give appropriate credit to the original author(s) and the source, provide a link to the Creative Commons licence, and indicate if you modified the licensed material. You do not have permission under this licence to share adapted material derived from this article or parts of it. The images or other third party material in this article are included in the article’s Creative Commons licence, unless indicated otherwise in a credit line to the material. If material is not included in the article’s Creative Commons licence and your intended use is not permitted by statutory regulation or exceeds the permitted use, you will need to obtain permission directly from the copyright holder. To view a copy of this licence, visit http://creativecommons.org/licenses/by-nc-nd/4.0/.
About this article
Cite this article
Zheng, Q., He, X., Ouyang, W. et al. Combination of red and UV-A light enhances hemp (Cannabis sativa L.) inflorescence yield and cannabinoid content. Sci Rep 15, 44735 (2025). https://doi.org/10.1038/s41598-025-28292-z
Received:
Accepted:
Published:
Version of record:
DOI: https://doi.org/10.1038/s41598-025-28292-z






