Fig. 3
From: Maternal urinary metabolomic signatures preceding spontaneous preterm birth: A pilot study

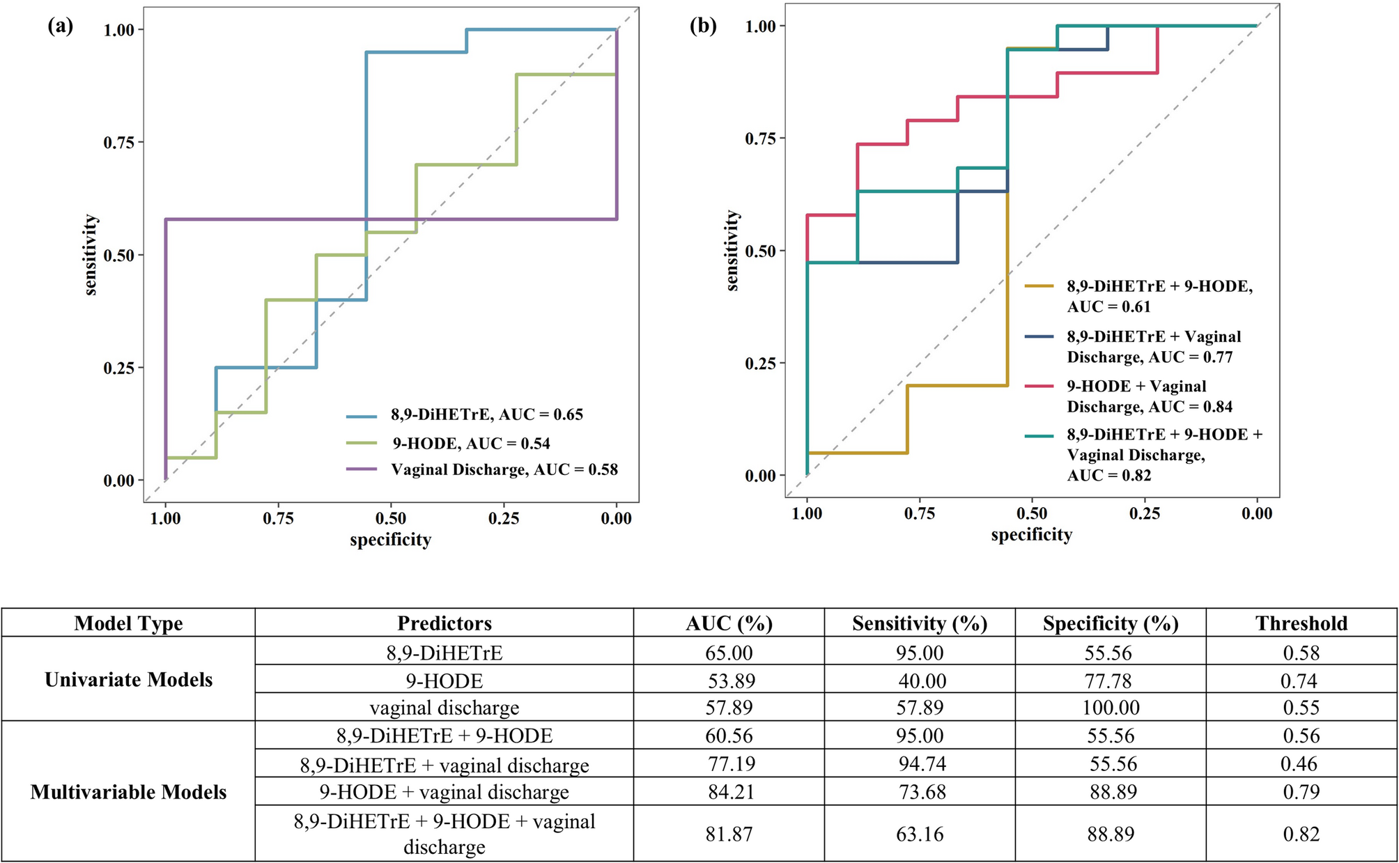
Receiver operating characteristic curves for predicting term versus preterm delivery at the moment of suspected imminent birth. The figure illustrates the diagnostic performance of predictive models in distinguishing between women who would deliver at term and those who would deliver preterm, when both are under the suspicion of imminent preterm birth. Receiver operating characteristic curves derived from leave-one-out cross-validation are shown for (a) individual models (8,9-DiHETrE, 9-HODE, vaginal discharge) and (b) multivariable models (8,9-DiHETrE + 9-HODE, 8,9-DiHETrE + vaginal discharge, 9-HODE + vaginal discharge, 8,9-DiHETrE + 9-HODE + vaginal discharge). The table presents the model parameters, including area under the curve, sensitivity, specificity, and optimal threshold. The optimal threshold refers to the probability cutoff used to classify individuals as preterm or term, determined to maximize the balance between sensitivity and specificity. DiHETrE = dihydroxyeicosatrienoic acid; HODE = hydroxyoctadecadienoic acid.