Fig. 7
From: Screening of key genes related to disulfidptosis in psoriasis based on the analysis of WGCNA

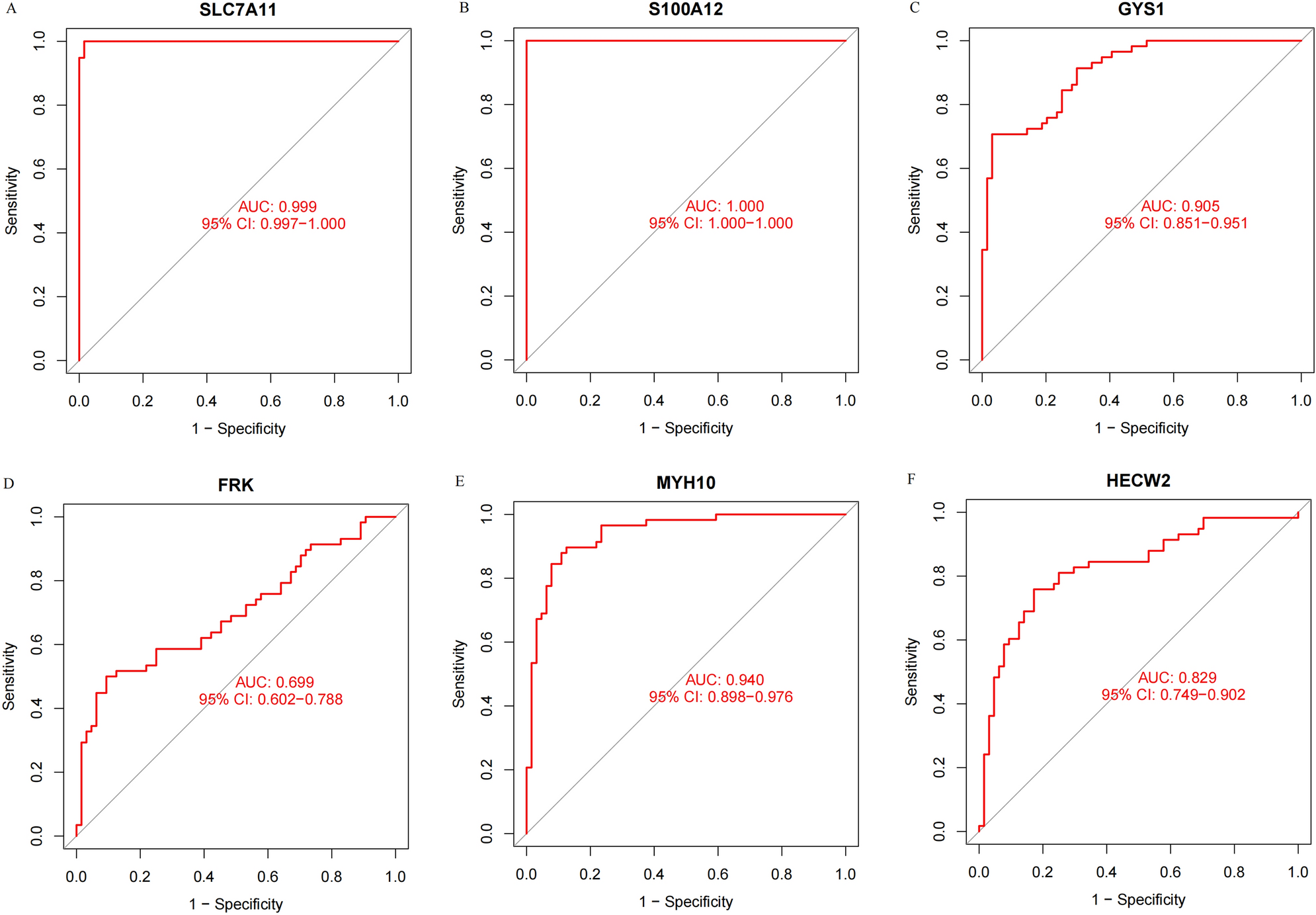
F:Gene ROC curve. SLC7A11 (A) and S100A12 (B) are potential ideal biomarkers, followed by GYS1 (C) and FRK (D), and MYH10 (E) and HECW2 (F) can be used as complementary indicators.