Fig. 9
From: Screening of key genes related to disulfidptosis in psoriasis based on the analysis of WGCNA

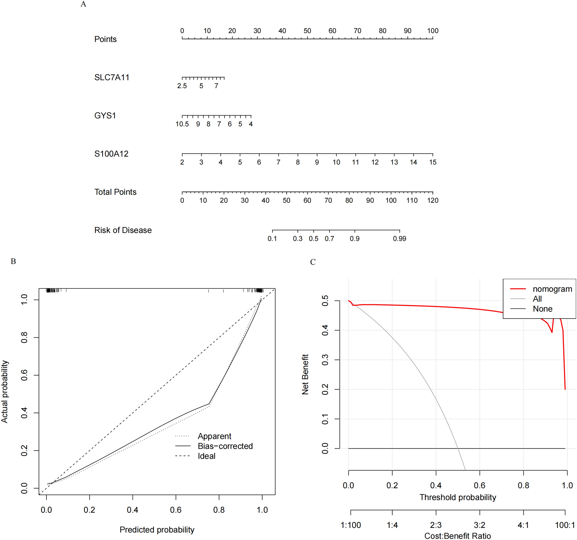
Nomogram model construction and evaluation of candidate feature genes involved in psoriasis. (A) the nomogram model construction on the basis of feature genes to predict the likelihood of disease in patients with psoriasis (p > 0.05; mae < 0.05). (B) Calibration curve showed the accuracy of the nomogram was relatively high and validated the model performance of psoriasis(n = 170,Mean absolute error = 0.016,Mean squared error = 0.00121,0.9 Quantile of absolute error = 0.019). (C) DCA curve suggested net profitof the constructed model is better than the default method.