Fig. 5
From: Botanical origin, chemical composition, and microbiological quality of bee pollen from Iran

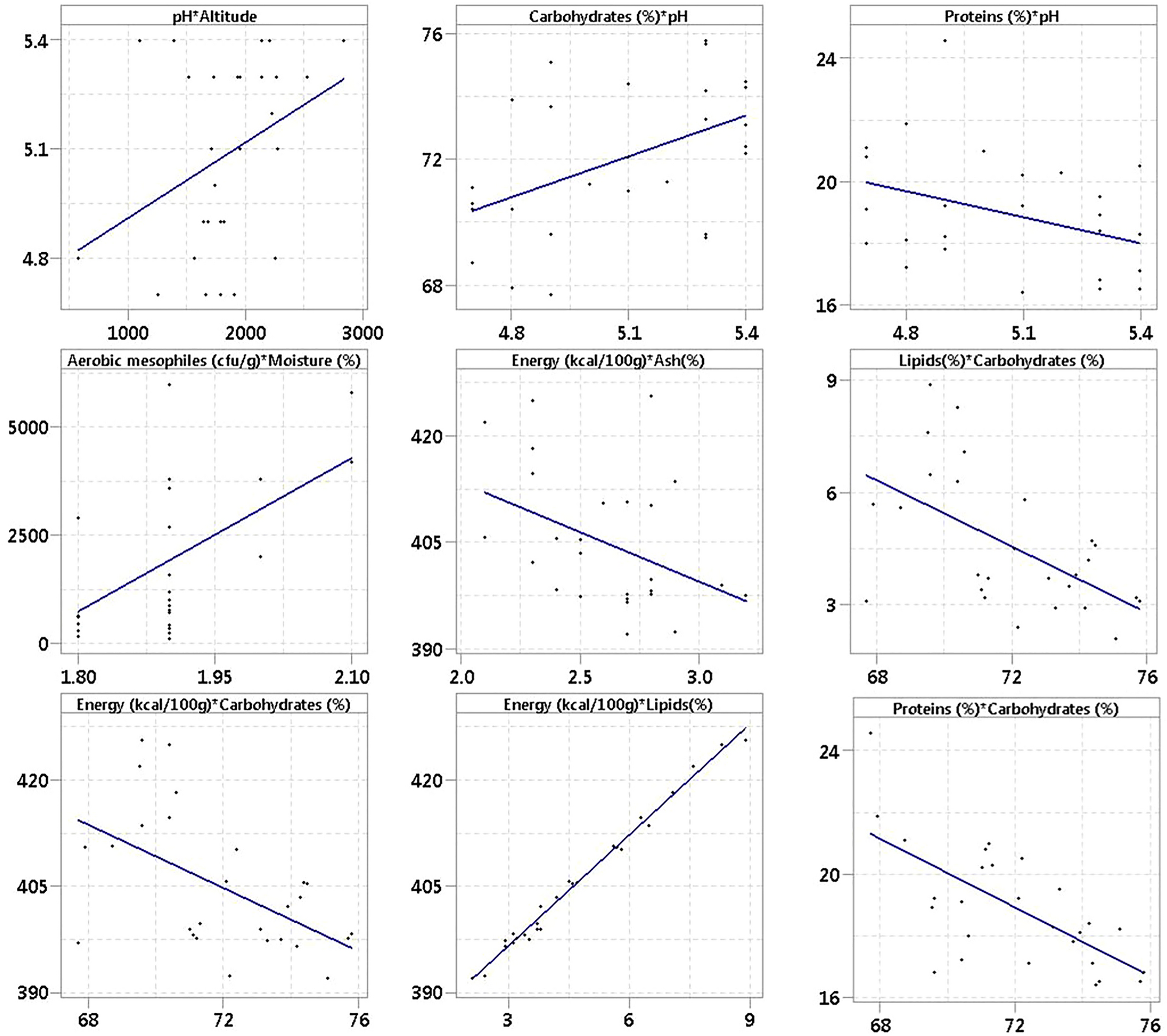
Pearson pairwise correlation analysis ofphysicochemical and microbiological properties (Using Minitab Statistical Software 22).
From: Botanical origin, chemical composition, and microbiological quality of bee pollen from Iran

Pearson pairwise correlation analysis ofphysicochemical and microbiological properties (Using Minitab Statistical Software 22).