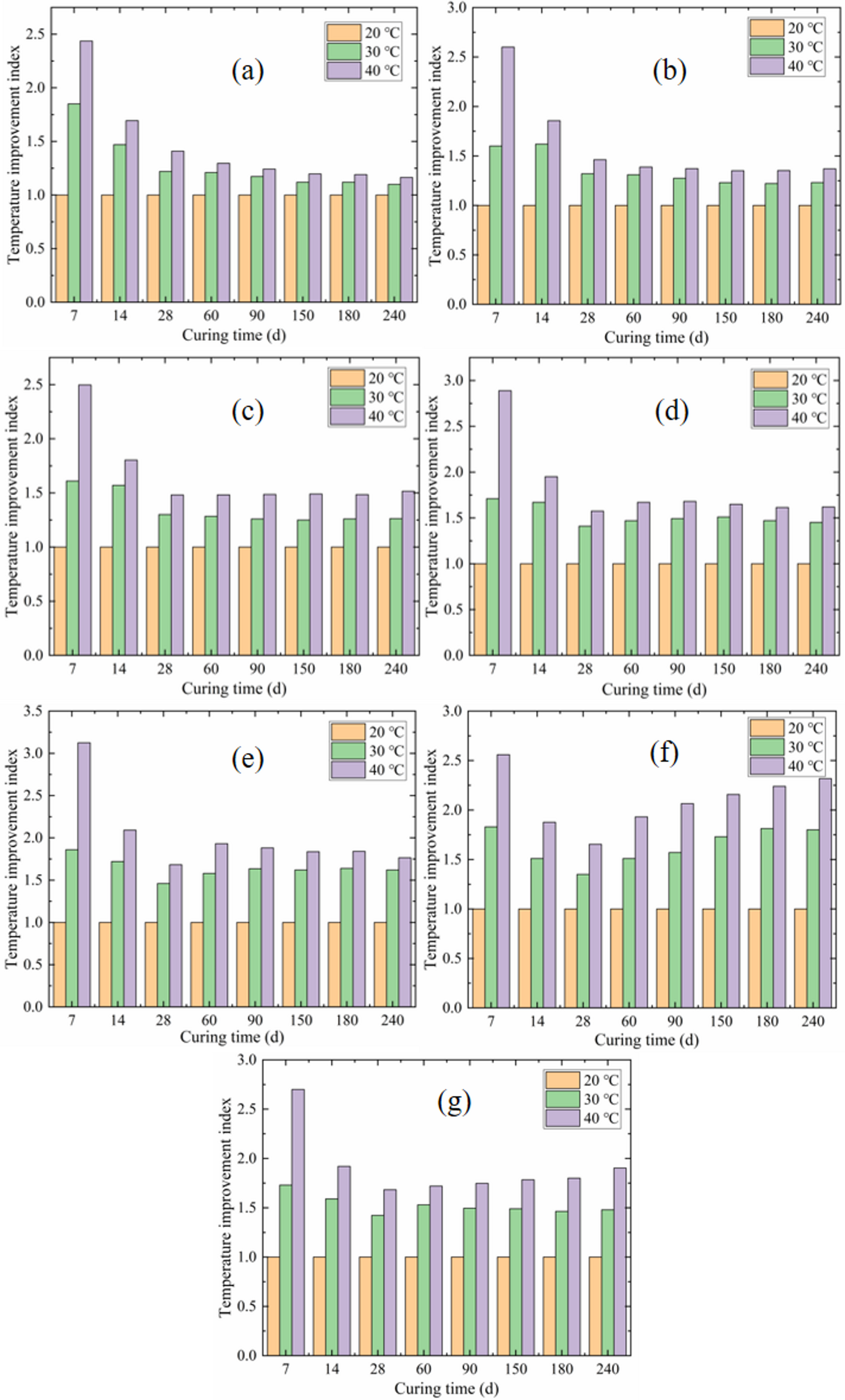
Fig. 8

Influence of curing temperature on strength improvement index. (a) 41% water content; (b) 49.2% water content; (c) 57.4% water content; (d) 65.6% water content; (e) 73.8% water content; (f) 82% water content; (g) 90.2% water content.

Influence of curing temperature on strength improvement index. (a) 41% water content; (b) 49.2% water content; (c) 57.4% water content; (d) 65.6% water content; (e) 73.8% water content; (f) 82% water content; (g) 90.2% water content.