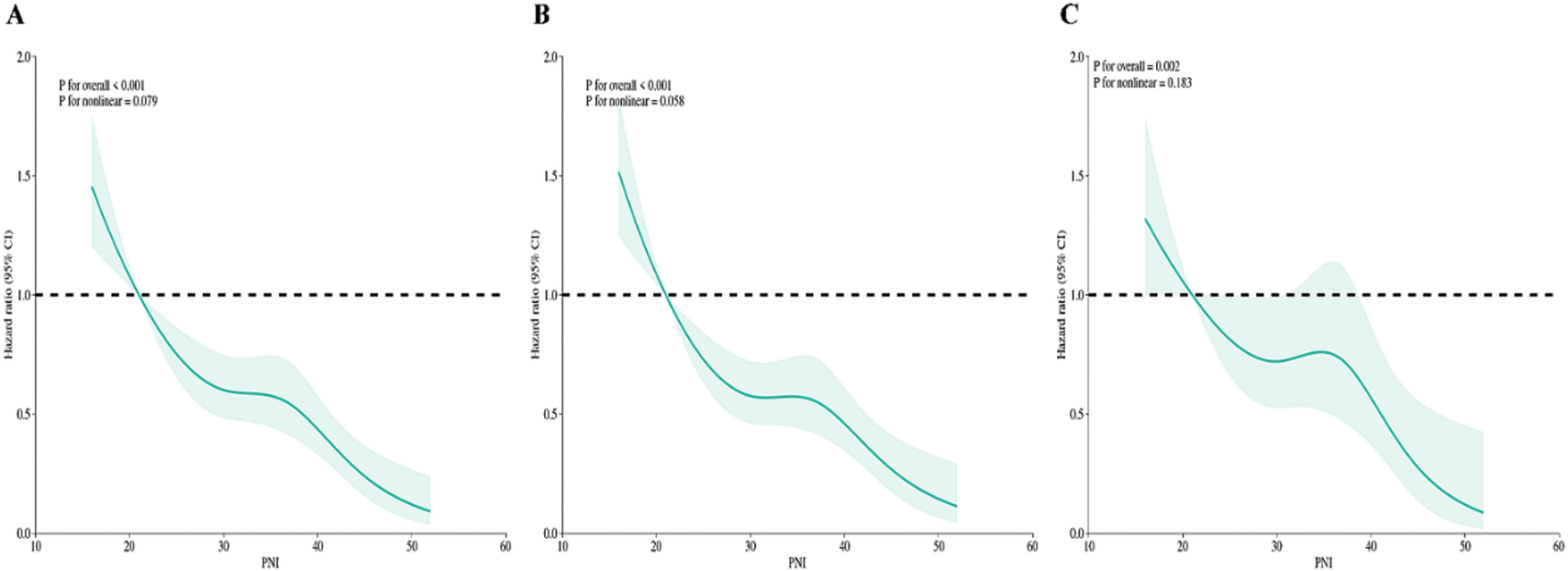
Fig. 3
From: Prognostic nutritional indices predict 60 day mortality in ICU patients with sepsis

RCS analysis of the association between PNI and in-hospital mortality. (A) Model with no covariate adjustments (overall P < 0.001, nonlinear P = 0.019). (B) Model with covariate adjustments for demographics (nonlinear P = 0.058). (C) Model with full covariate adjustments (nonlinear P = 0.183).