Fig. 2


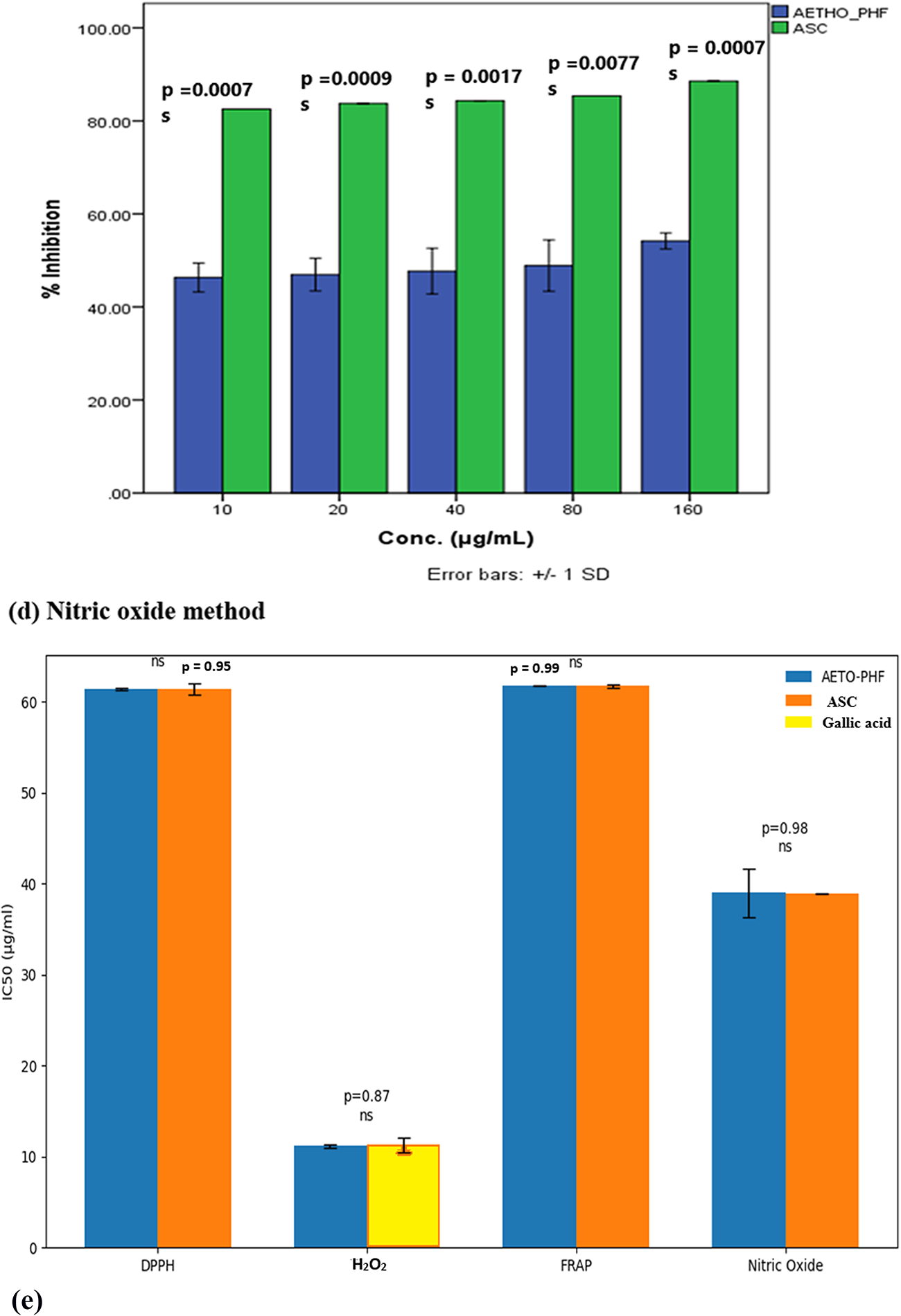
(a–d) AETO-PHF antioxidant activities, s = significant (p < 0.05) (e) IC50 antioxidant plot of AETO-PHF in comparison to ASC and gallic acid, ns = not significant (P > 0.05).


(a–d) AETO-PHF antioxidant activities, s = significant (p < 0.05) (e) IC50 antioxidant plot of AETO-PHF in comparison to ASC and gallic acid, ns = not significant (P > 0.05).