Fig. 5

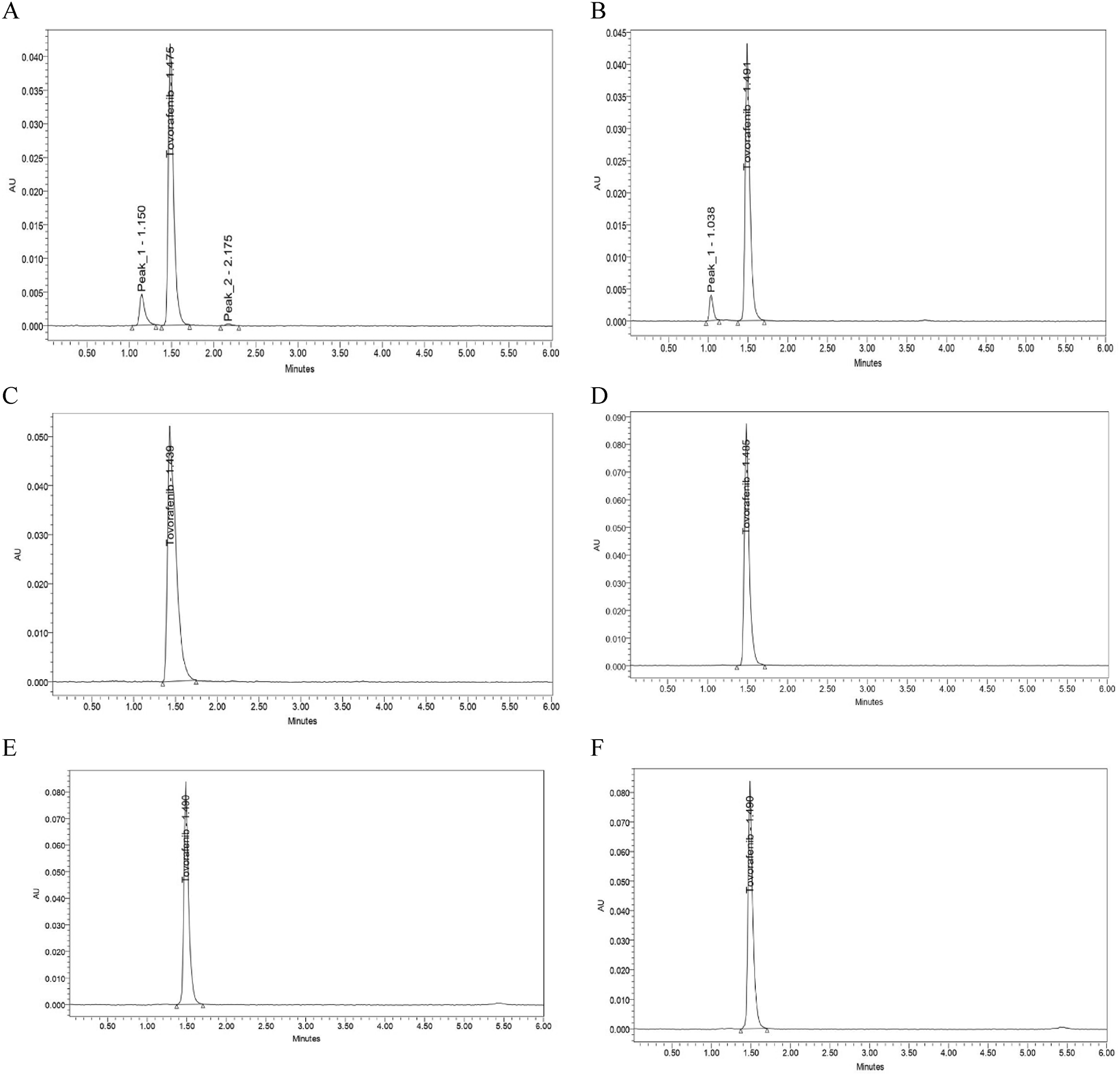
Chromatograms displaying the degradation profile of Tovorafenib (TRN) during conditions (A) acid, (B)alkali, (C) oxidative, (D) thermal, (E) neutral, and (F) photolytic degradation.

Chromatograms displaying the degradation profile of Tovorafenib (TRN) during conditions (A) acid, (B)alkali, (C) oxidative, (D) thermal, (E) neutral, and (F) photolytic degradation.