Fig. 3

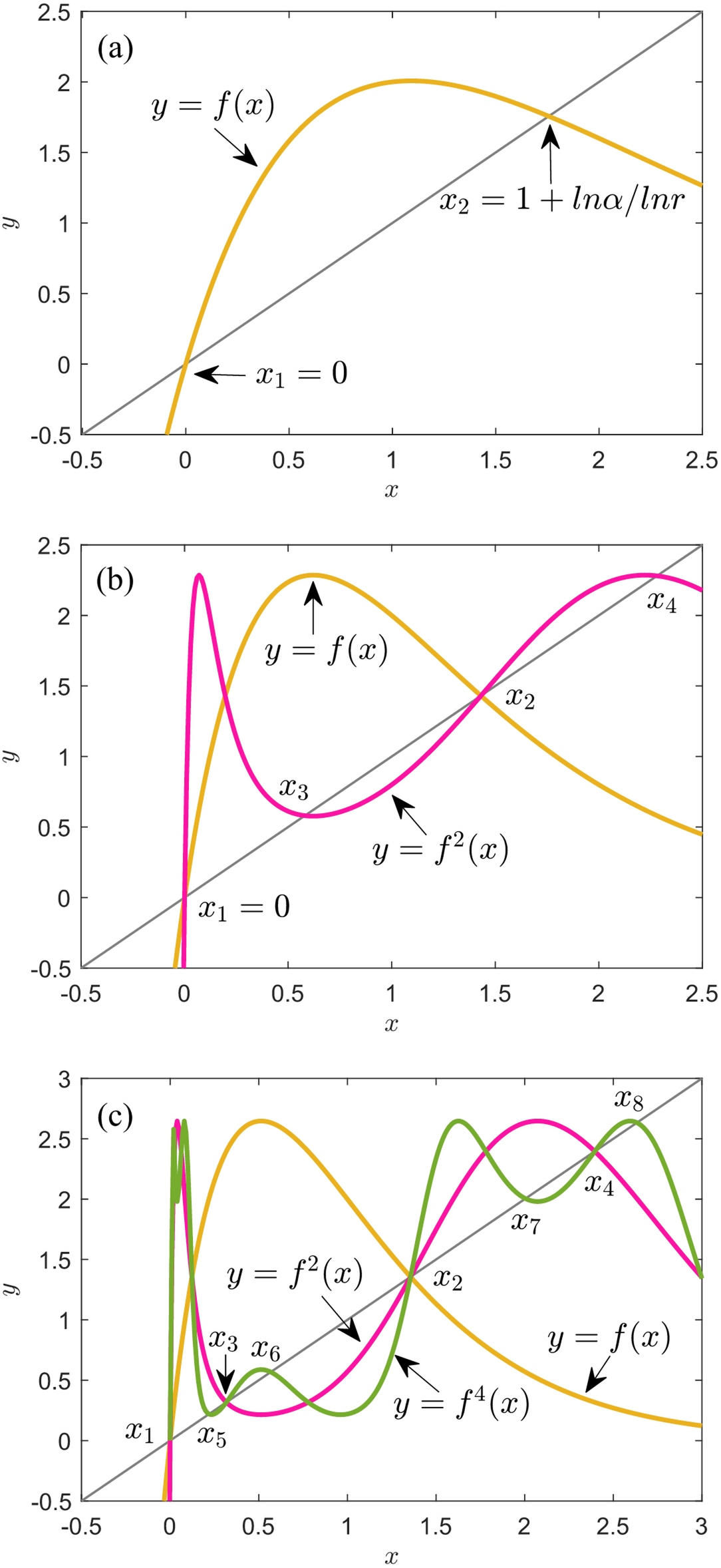
Period-doubling schematic for the new multiplicative logistic map. (a)\(\alpha =2,r=2.5\); (b)\(\alpha =2,r=5\); (c)\(\alpha =2,r=7\).

Period-doubling schematic for the new multiplicative logistic map. (a)\(\alpha =2,r=2.5\); (b)\(\alpha =2,r=5\); (c)\(\alpha =2,r=7\).