Abstract
Ginseng (Panax ginseng) is a medicinal plant of considerable medical and economic interest. However, preserving its genetic stability and targeted selection pose challenges that limit the effective conservation and use of its genetic resources. This study aims to systematically elucidate the structural characteristics, evolutionary patterns, and phylogenetic relationships of the ginseng mitochondrial genome, in order to create a theoretical basis for the conservation of ginseng genetic resources and the acceleration of molecular selection processes. Using PacBio HiFi and DNBSEQ-T7 short-read sequencing, we assembled the complete mitochondrial genome of the BT cultivar (~ 465 kb, 55% A + T, encoding 80 functional genes). Repetitive sequences and codon usage patterns (preference for G/C at third codon positions) were characterized. Selective pressure analysis showed that most genes underwent purifying selection, but respiratory chain genes (nad4, cox2) exhibited positive selection signals. Phylogenetic analysis confirmed close relationships between ginseng and P. quinquefolius, with P. notoginseng forming a distinct clade. A mitochondrial genome variation map was constructed by integrating data from six ginseng populations. Analysis of this comparative mitochondrial genome revealed high genetic stability across populations, with SNPs, InDels, and structural variations identified. These findings not only clarify the structural features, evolutionary dynamics, and population variation patterns of the P. ginseng mitochondrial genome but also provide key genetic resources and molecular markers for high-resolution phylogenetic analysis of Araliaceae, functional research on mitochondrial genomes of medicinal plants, and targeted breeding of P. ginseng varieties, which is of great significance for promoting the conservation and sustainable utilization of ginseng germplasm resources.
Introduction
Mitochondria are critical centers of energy metabolism in eukaryotic cells, providing adenosine triphosphate (ATP) through the process of oxidative phosphorylation. In plants, they also participate in complex physiological activities such as photorespiration, cell apoptosis regulation, and growth and development1. As semi-autonomous organelles, mitochondria possess an independent genetic system, including DNA, RNA, ribosomes, and transcription-translation mechanisms, enabling them to autonomously encode certain functional proteins and complete various steps of protein synthesis. The plant mitochondrial genome (mitogenome) originated from an endosymbiotic event involving primitive bacteria and is closely related to the Proteobacteria. Its structure exhibits significant complexity and dynamism2,3,4. The genome size varies greatly among different species, ranging from 66 kb in parasitic plants5 to 11.3 Mb in Silene conoidea6. This variation is primarily due to the expansion of repetitive sequences in non-coding regions, gene migration between organelles, or horizontal gene transfer3,6,7. The genome contains conserved functional genes (such as those encoding respiratory chain complexes I–V, ribosomal RNA, and tRNA genes) and a large number of non-coding sequences8. For most higher plants, the nuclear genome follows a biparental inheritance pattern, while chloroplast and mitochondrial genomes are maternally inherited. This method eliminates the influence of paternal genes, significantly reducing the complexity of genetic research and facilitating the analysis of genetic mechanisms9. Plant mitochondrial genomes, with their smaller size, faster evolutionary rate, lower recombination rate, and ease of sequencing, along with their rich genetic variation information, have become ideal molecular markers for studying plant origins, evolution, population genetic diversity, and systematics.
With the innovation of high-throughput sequencing technologies, including second-generation Illumina sequencing, third-generation PacBio single-molecule real-time sequencing, and Nanopore long-read sequencing, the efficiency and accuracy of plant mitochondrial genome analysis have significantly improved. By 2025, the NCBI database had collected over 636 complete mitochondrial genome sequences from plants, providing a data foundation for in-depth analysis of their structural characteristics and functions. These technological breakthroughs not only solved the assembly challenges posed by highly repetitive sequences in traditional sequencing but also provided a basis for revealing the complex dynamics of plant mtDNA recombination. For example, the mitochondrial genome of Zea mays exists as multiple linear molecules10, while the mitochondrial genome of the maintainer line in the “three-line hybrid system” of soybeans exists simultaneously in linear and circular forms11. Technological advancements have driven the application of mitochondrial genomes in plant research. For instance, the mitochondrial gene orf188 in Brassica napus promotes seed oil content by enhancing ATP synthesis, making it a potential target for oil crop improvement12. The mitochondrial genotype of Capsicum annuum is associated with fruit shape13. In systematics, combining mitochondrial and chloroplast data, researchers have analyzed the distribution of cytoplasmic diversity in wild soybeans in China14 and the gene flow patterns between conifer species15. In molecular breeding, the maternal inheritance of mitochondrial genomes simplifies genetic analysis. By integrating genomic and phenotypic data, it is possible to precisely screen for desirable traits (such as stress resistance or high yield), accelerating the development of new varieties. Therefore, advancements in sequencing technology have not only deepened the understanding of the dynamic structure and functional evolution of mitochondrial genomes but also promoted their practical applications in the discovery of medicinal components, molecular breeding, and systematic evolution research, providing key tools for plant genetic improvement.
Panax ginseng C.A. Mey., a perennial herb in the Araliaceae family, is native to the Himalayan region16. It primarily grows in high-altitude mountainous areas in East Asia and North America, with China being the world’s largest producer of ginseng. Currently, ginseng cultivation in China is mainly concentrated in the provinces of Jilin, Liaoning, and Heilongjiang, with Jilin alone accounting for over 80% of the national ginseng production17. And ginseng is widely used for health and medical purposes in China, Japan, South Korea, and other countries18. Although the history of ginseng cultivation in China spans nearly 2000 years, systematic germplasm resource research only began in the past 30 years17,19,20. Traditional ginseng breeding primarily relies on the selection of offspring with superior traits for hybridization and propagation. However, due to the diversity of ginseng origins, varieties, and traits, it is challenging to precisely screen and control target traits within a few generations19,21,22,23,24,25,26. Traditional genetic methods struggle to deeply analyze the genetic structure and differentiation mechanisms of ginseng germplasm resources. The maternal inheritance characteristics and dynamic structural variations of the ginseng mitochondrial genome make it a crucial tool for elucidating population evolutionary pathways and genetic backgrounds. To gain deeper insights into the genetic diversity and evolutionary mechanisms of P. ginseng populations, this study selected four representative ginseng varieties for mitochondrial genome analysis. These comprise wild-simulated ginseng from Jilin Province (JA), wild-simulated ginseng from Liaoning Province (FC), and two major garden-cultivated varieties: the Jilin “Biantiao” ginseng (BT), characterized by a longer main root and faster growth rate, and the Liaoning “Shizhu” ginseng (SZ), known for its diverse root morphology and strong stress resistance. The selection of these two wild-simulated varieties and two distinctive garden-cultivated varieties covers the primary ginseng production regions in China and represents the two main cultivation modes: forest-simulated wild growth and garden cultivation. Through high-throughput sequencing and phylogenetic analysis, high-resolution phylogenetic trees can be constructed, providing important data support for the protection of ginseng population genetic diversity and in-depth analysis of evolutionary mechanisms.
In this study, we employed a hybrid sequencing approach combining PacBio HiFi and next-generation sequencing (NGS) data to complete the assembly of the complete mitochondrial genome of the BT ginseng variety (total length 464,658 bp) and revealed its structural features, including gene repeats, non-canonical start codons, and codon usage preferences. Phylogenetic analysis with the mitochondrial genomes of 15 species revealed the evolutionary patterns and phylogenetic relationships of the Panax genus mitochondrial genome. Furthermore, we integrated the newly assembled mitochondrial genomes of four ginseng varieties from this study with two publicly available datasets to construct a variation map of ginseng mitochondrial genome. Through whole-genome alignment and homologous gene family clustering analysis, we systematically identified and elucidated the distribution patterns of single nucleotide polymorphisms, small insertions/deletions, and structural variations. This research not only provides key data for the analysis of ginseng population variations, genetic diversity, and high-resolution analysis of Araliaceae phylogenetic relationships but also lays a theoretical foundation for the functional study of medicinal plant mitochondrial genomes, genetic improvement, and germplasm resource conservation.
Results
Assembly and structural characteristics of the ginseng mitochondrial genome
Using a hybrid assembly strategy combining PacBio HiFi long-read sequencing and NGS data, we successfully assembled the complete mitochondrial genome of the BT ginseng variety (Fig. 1A). The genome exhibits a single circular structure with a total length of 464,658 bp (Fig. 1B). Nucleotide composition analysis revealed a moderate A + T bias, accounting for 55.0%, with the base composition as follows: A (27.5%), T (27.5%), G (22.5%), and C (22.5%). Genome annotation identified a total of 80 functional genes, including 57 protein-coding genes (PCGs), 29 tRNA genes, and 4 rRNA genes (Table 1; Fig. 1C). Eleven genes were duplicated, including 7 copies of trnM-CAU which were the highest among tRNAs. The cob (cytochrome b) and nad6 (NADH dehydrogenase subunit 6) genes were found to have 2 and 3 copies, respectively, indicating the widespread occurrence of gene duplication.
De novo assembly and characterization of P. ginseng mitochondrial genome. (A) Contig linkage topology of P. ginseng mitogenome assembly. (B) Circular molecular architecture reconstructed from contig assemblies. (C) Functional annotation map of mitochondrial genome.
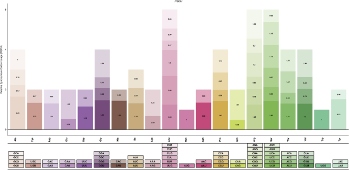
Gene structure analysis revealed that 7 genes (ccmFc, nad2, nad4, etc.) possess a multi-exon structure. Notably, the 5 exons of the nad2 gene are distributed at distant locations, making it the most dispersed gene in the genome. The start codons of the protein-coding genes exhibited diverse characteristics: in addition to the standard start codon ATG, non-canonical start codons such as TTG (e.g., nad2, T→A), ACG (e.g., rps10, cox1, rps1, and nad4L, C→U), and ATC (e.g., sdh3, C→G) were detected. Relative synonymous codon usage (RSCU) analysis showed a significant bias towards G/C in the third position, with an average of 71.79%. A total of 61 codons were identified (Fig. 2), with serine (Ser) and isoleucine (Ile) being the most abundant amino acids, accounting for 9.67% and 8.15% of the total codons, respectively, while cysteine (Cys) had the lowest proportion (1.44%).
The size variation in plant mitochondrial genomes is primarily driven by dynamic changes in repetitive sequences, including dispersed repeats, simple sequence repeats (SSRs), and tandem repeats. The highly repetitive nature of angiosperm mitochondrial genomes has made them a focal point of research even before the widespread adoption of complete genome assembly technologies. In this study, a total of 50 dispersed repeats (≥ 30 bp) were identified, with a total length of 50,610 bp, accounting for 10.89% of the genome length. Among these, 29 were forward repeats, and 21 were palindromic repeats, with no inverted or complementary repeats detected. The length distribution of repeat sequences was skewed: 68.00% were in the 45–67 bp range, 82.00% were less than 98 bp, and only 9 exceeded 100 bp. SSR analysis showed that among the 26 SSRs identified, mononucleotide repeats dominated (69.23%), followed by trinucleotide (19.23%) and dinucleotide (7.69%) repeats. In the mononucleotide SSRs, A/T repeats accounted for 88.9% (A: 59.5%, T: 29.4%), with no dominant C/G repeats detected. Dinucleotide repeats were primarily AT/TA repeats. Additionally, 12 tandem repeats (5–39 bp) were detected, all located in the intergenic regions.
RSCU profiling across coding regions.
Selective pressure analysis
In genetic studies, the Ka/Ks ratio serves as a critical indicator for measuring the direction and intensity of natural selection on homologous protein-coding genes (PCGs) during species divergence, holding significant theoretical value27. Compared to other neutral evolution testing methods in population genetics, this ratio has the advantages of fewer assumptions and higher testing power. When Ka/Ks < 1, it indicates that the gene is under purifying selection or stabilizing selection (suppressing the accumulation of variations); Ka/Ks >1 reflects positive selection or Darwinian selection (promoting adaptive variations); and a ratio of exactly 1 conforms to the neutral evolution model. It is important to note that the Ka/Ks ratio can significantly exceed 1 only when there are significant beneficial mutations at the gene locus. In this study, based on the comparative analysis of the mitochondrial genomes of P. ginseng, Daucus carota, P. notoginseng, and Bupleurum chinense, we calculated the Ka/Ks evolutionary selection pressure for 34 PCGs (Fig. 3). Cross-species comparisons demonstrated that ~ 88.1% of genes exhibited Ka/Ks ratios < 1.0, indicating predominant purifying selection during mitochondrial evolution. This pattern aligns with the conserved nature of plant mitochondrial genomes28. Notably, in comparisons within the same genus (P. ginseng vs. P. notoginseng), the core respiratory chain genes nad4 (Ka/Ks = 1.06) and cox2 (Ka/Ks = 1.05) showed signals of positive selection. In comparisons within the P. ginseng and B. chinense, the positive selection characteristics of nad4 (Ka/Ks = 1.21) and tatC (twin-arginine translocation protein, Ka/Ks = 1.25) were further extended to the membrane transport system. In another cross-family comparisons (ginseng vs. carrot), the strong positive selection signals of rpl10 (ribosomal large subunit protein, Ka/Ks = 3.05) and ccmC (cytochrome c maturation protein, Ka/Ks = 1.21) suggested adaptive differentiation in ribosomal translation and cytochrome c assembly pathways.
Further functional association analysis indicates that the evolutionary drive of positively selected genes may be closely linked to the regulation of energy metabolism. As core components of respiratory chain complexes I and IV, nad4 and cox2 exhibit a conspecific positive selection pattern within the same genus (P. ginseng and. P. notoginseng), which may promote adaptive differentiation among closely related species by regulating the efficiency of oxidative phosphorylation. The positive selection characteristics of tatC in both P. ginseng and B. chinense suggest a co-evolutionary pressure between mitochondrial membrane transport systems and respiratory chain functions. In the species divergence between ginseng and carrot, the high Ka/Ks value of rpl10 suggests that the rapid evolution of ribosomal translation efficiency may be a response to the adaptive demands for translation accuracy among species with greater evolutionary distance.
Additionally, other mitochondrial genes, including atp4, atp8, cob, and ccmB, have been reported to have Ka/Ks >1, indicating that mitochondrial genes in different plant species may be subject to varying selective pressures during evolution. The above results demonstrate that the evolution of the ginseng mitochondrial genome exhibits significant heterogeneity: respiratory chain genes (nad4, cox2) frequently experience positive selection during close species divergence, while ribosomal proteins (rpl10) maintain the conservation of core metabolic pathways through functional constraints. This provides a new perspective for elucidating the molecular mechanisms of ecological adaptation in Panax species.
Ka/Ks ratios for 34 protein coding genes of P. ginseng, D. carota, P. notoginseng, and B. chinense. The blue, orange, and purple boxes indicate Ka/Ks ratios of D. carota vs. P. ginseng, P. notoginseng vs. P. ginseng, and B. chinense vs. P. ginseng.
Phylogenetic analysis
With the rapid development of sequencing technologies and genome assembly methods, an increasing number of complete plant mitochondrial genomes have been successfully assembled, providing significant opportunities for phylogenetic analysis using mitochondrial genomes. This study aims to clarify the phylogenetic position of ginseng within the Araliaceae family and angiosperms. We constructed a phylogenetic tree using 20 universally presentPCGs (atp1, atp9, ccmB, ccmC, ccmFn, cob, cox1, cox2, cox3, matR, nad1, nad2, nad3, nad4, nad4L, nad5, nad6, nad7, nad9, rps3) from the mitochondrial genomes of 15 species, including P. ginseng, its close relatives P. quinquefolius and P. notoginseng, species from the Apiaceae family (D. carota, B. falcatum, and Ageratum conyzoides), Rosaceae family (Malus domestica, Fragaria vesca), Asteraceae family (Helianthus annuus, Lactuca sativa), as well as Platycodon grandiflorum, Codonopsis pilosula, Lonicera japonica and etc., (Fig. 4). Arabidopsis thaliana and Oryza sativa were used as outgroups. The results show that all branches of the phylogenetic tree have bootstrap support values exceeding 85%, with six branches achieving 100% support. Based on the maximum likelihood (ML) phylogenetic tree, it was found that the Panax species form a monophyletic clade, and P. notoginseng, P. quinquefolius, and P. ginseng cluster together, with P. ginseng and P. quinquefolius showing the closest relationship. This result is consistent with previous studies29,30,31,32, providing mitochondrial evidence for the similar genome expansion and evolution experienced by P. ginseng and P. quinquefolius during their evolutionary history.
Maximum likelihood phylogeny of P.ginseng. PCGs distribution in plant mitogenomes. Numbers on each node are bootstrap support values.
The evolutionary pattern of the ginseng mitochondrial genome demonstrates a high degree of conservation of core energy metabolism genes and dynamic adaptability of non-core genes. As with the significant differences in gene composition and arrangement observed in the mitochondrial genomes of higher plants14, the mitochondrial genome evolution of ginseng and its close relatives also follows this rule: key genes for core energy metabolism functions (such as subunits of complexes I, III, and V, and genes related to cytochrome c biosynthesis) are highly conserved in angiosperms (Fig. 5). For example, the nad series genes, atp1, atp6, and cob are all intact in P. ginseng, P. notoginseng, and P. quinquefolius, indicating their irreplaceable role in maintaining mitochondrial core functions. In contrast, some non-essential genes (such as ribosomal protein genes and specific complex subunits) show significant loss. For instance, the rpl2 gene is completely lost in P. ginseng but retained in its close relative P. notoginseng and D. carota, the rps19 gene is generally absent in P. ginseng and its close relatives but present in A. thaliana and O. sativa, suggesting that its function may be compensated by nuclear genes. Additionally, functionally replaceable subunits such as atpE are retained in P. ginseng and P. quinquefolius but lost in species from the Rosaceae and Apiaceae families. The genes sdh3 and sdh4 are present in Panax species but specifically lost in other families, reflecting the adaptive evolutionary differences between the Araliaceae and other dicotyledonous groups after divergence. This evolutionary pattern indicates that P. ginseng has achieved mitochondrial genome streamlining and functional balance by strictly conserving core metabolic genes, selectively losing non-essential genes, and relying on nuclear gene compensation mechanisms driven by gene transfer between the mitochondrial and nuclear genomes. This dynamic pattern may reflect the shaping effects of lineage-specific metabolic demands and adaptive evolution on gene retention and loss.
PCGs distribution in plant mitogenomes. Yellow cells denote the absence of genes in mitochondrial genomes, while purple cells indicate their presence.
Construction and comparative analysis of the mitochondrial genomes of ginseng from different origins
All comparative analyses were based on the BT mitochondrial genome as the reference, a design that ensures the biological interpretability of variations across samples. To further understand the variations in the mitochondrial genomes of ginseng from different origins and types, we selected P. ginseng samples from Liaoning and Jilin provinces, specifically JA, FC, SZ, and BT, along with the previously published Korean ginseng samples Gumpoong (GU) and Jakyung (JY), for comparative analysis. Statistical analysis of these six ginseng mitochondrial genomes revealed absolute size deviations from the sample mean ranging between 0.72% and 5.42%, with GU exhibiting the largest genome (464,705 bp) and FC the smallest (431,475 bp). Further gene analysis of the six ginseng mitochondrial genomes revealed that, apart from JY, which had an additional rpl23 gene related to the synthesis of the ribosomal large subunit, the other five ginseng mitochondrial genomes contained 45 PCGs.
Based on the mitochondrial genome variation map constructed from the six ginseng mitochondrial genomes, we conducted a comprehensive variation analysis after statistically analyzing their sizes and genes. We categorized the variations into six types: single nucleotide polymorphisms (SNPs), small insertions/deletions (InDels, < 50 bp), deletions (DELs), inversions (INVs), translocations (TRANSs), and copy number variations (CNVs). Relative to BT, we detected 111 SNPs and 39 InDels. JA showed minimal variation (1 SNP, 1 InDel; Fig. 6A). The fewest SNPs and InDels were identified in JA, with only 1 SNP and 1 InDel. The count range of identified SNPs and InDels in the other four mitochondrial genomes was 2–62 and 3–19, respectively. Additionally, through further analysis of the distribution of SNPs and InDels, we found that 32.43% of SNPs and 61.54% of InDels were located in gene regions. Besides the small variations of SNPs and InDels mentioned above, we also identified a small number of structural variations (SVs) between individual samples and BT through the mitochondrial genome variation analysis of ginseng. Integrating the identified SV data, we found a total of 193 SVs, including 75 insertions, 59 deletions, 9 inversions, and 50 translocations (Fig. 6B). The percentages in Fig. 6B represent the proportion of each SV type relative to this total SV count. There were certain differences in the number and type of SVs among different samples. The GU sample had relatively fewer structural variations, while the FC sample had the highest number of identified structural variations, with 28 insertions, 22 deletions, 1 inversion, and 29 translocations. Although the protein-coding genes of the mitochondria are relatively stable, the above results indicate that there may still be certain variations in the mitochondrial genomes of different ginseng samples.
Variation analysis of the mitochondrial genome of ginseng. (A) Distribution of snps and indels in ginseng mitochondrial genomes. (B) Proportions of different types of svs in ginseng mitochondrial genomes Percentages indicate the proportion of each structural variant type (INS, DEL, INV, TRANS) relative to the total number of SV events (193) identified across all samples compared to BT.
Discussion
Plant mitochondrial genomes are larger and more structurally complex than those of animals, making the assembly and scaffolding of complete mitochondrial genomes challenging. The complexity of plant mitochondrial genomes is not only reflected in their larger genome sizes but also in their diverse repetitive sequences and structural variations, which make sequencing and assembly a challenging task. However, with the development of sequencing technologies, increased read lengths, and the development of mitochondrial assembly software such as GetOrganelle, NOVOPlasty, and PMAT, it has become possible to assemble complete circular mitochondrial genomes. Ginseng, an important medicinal plant in the Araliaceae family, faces many challenges in terms of genetic stability and directed breeding. Mitochondrial genomes, characterized by maternal inheritance and structural dynamism, have been increasingly recognized as key tools for dissecting evolutionary relationships and genetic diversity in medicinal plants, as demonstrated in studies on Aglaia odorata33 and Angelica biserrata34. Therefore, in-depth research on its mitochondrial genome is of great significance. Since the release of the mitochondrial genomes of Gumoong35 and Jakyung36 from South Korea, no studies have been conducted on the mitochondrial genomes of unique ginseng varieties from the main ginseng-producing regions of Jilin and Liaoning in China. This study successfully assembled the complete mitochondrial genome of the Chinese endemic “Biantiao” (BT) ginseng cultivar and constructed a mitochondrial genome variation map integrating six populations from China (JA, FC, SZ, BT) and South Korea (GU, JY). By systematically analyzing genomic structure, selection pressure, and population variation, we have filled the gap in mitochondrial genomics of unique ginseng varieties in China’s major ginseng producing areas.
This study is the first to perform mitochondrial genome assembly for four different ginseng varieties from Jilin and Liaoning. The size of the mitochondrial genomes of different ginseng varieties varies between 0.72% and 5.42%. The BT ginseng mitochondrial genome size is 464,658 bp, which is closest in size to GU and JY, differing by only 3 bp and 47 bp, respectively. However, the size of the JA mitochondrial genome from the same origin but a different variety differs by 11 kb from BT, indicating significant genetic variation among varieties. Further study of the BT genome structure revealed an A + T content of 55.0%. Further annotation of the BT mitochondrial genome identified a total of 80 genes, including 57 PCGs, 29 tRNA genes, and 4 rRNA genes. Comparing the 4 mitochondrial PCGs assembled in this study with GU and JY, it was found that, except for the addition of the rpl23 gene related to ribosomal large subunit synthesis in JY, the other 5 ginseng mitochondrial genomes all had 45 PCGs. The stability of PCGs not only indicates that ginseng mitochondrial genomes maintain relatively high conservation and stability in core genes but also lays a foundation for subsequent molecular breeding and functional gene research.
Since the establishment of the genus Panax by Carl Linnaeus, taxonomic research on this genus has undergone a transformation from morphology to molecular systematics. Due to the convergent evolution of root and stem morphology and the complex arrangement of leaf sequences in Panax, traditional morphological methods are difficult to accurately distinguish species. Mitochondrial genomes, as maternally inherited genomes, are often used for species classification and phylogenetic studies and are important tools for elucidating the phylogenetic relationships between species. In the selection pressure analysis of this study, Daucus carota, P. notoginseng, and Bupleurum chinense were chosen as reference species based on three considerations: first, systematic representation of phylogenetic relationships—P. notoginseng is the closest relative to P. ginseng and is used to detect recent positive selection signals, B. chinense for deeper intra-family divergence, and D. carota (outgroup within Apiales) for probing ancient adaptive events, covering evolutionary gradients; second, functional evolutionary relevance—P. notoginseng shares medicinal traits and metabolic pathways with P. ginseng, while D. carota and B. chinense exhibit divergent mitochondrial selection pressures, aiding analysis of ribosomal proteins and cytochrome c maturation pathways across lineages; third, mitochondrial genome suitability and data availability—all three species have high-quality annotated mitogenomes, ensuring analytical reliability and minimizing biases from assembly or annotation gaps. Based on comparative analysis of the mitochondrial genomes of P. ginseng, and other 3 plants, it was found that ginseng mitochondrial genes mainly experience purifying selection during evolution, underscoring the conservation of core mitochondrial functions (e.g., oxidative phosphorylation, cytochrome biogenesis) across angiosperms, as reported in A. membranaceus37 and Oryza sativa38, with respiratory chain genes showing signals of positive selection in closely related species differentiation, echoing findings in A. membranaceus where ccmB and nad9 (involved in cytochrome c maturation and NADH dehydrogenase function) were under positive selection37. This may be related to the regulation of energy metabolism and adaptive differentiation. These results reveal the heterogeneous selection pressure on ginseng mitochondrial genomes during evolution, providing a new perspective for elucidating the molecular mechanisms of ecological adaptation in Panax species. Additionally, by constructing a phylogenetic tree including 15 species such as P. ginseng, P. quinquefolius, P. notoginseng, and H. annuus, it was found that Panax species form a monophyletic clade. The high similarity of ginseng and American ginseng mitochondrial genomes confirms their close phylogenetic affinity, aligning with prior genomic studies30,32.
The concept of mitochondrial genome variation map aims to comprehensively analyze genetic variations, functional genes, and adaptive evolution by integrating information from multiple mitochondrial genomes within a species. This research approach breaks the limitations of traditional reliance on a single reference genome, providing a new perspective for genetic diversity studies. Taking ginseng as an example, although two versions of the mitochondrial genome have been released, these data only partially reflect the diversity of ginseng mitochondrial genomes. Therefore, constructing a larger-scale comparative mitochondrial genome is crucial for capturing the variation in ginseng mitochondrial genomes.
In this study, the BT mitochondrial genome was selected as the reference sequence for variation analysis, and variation analysis was performed on the mitochondrial genomes of six different ginseng varieties from China and Korea, revealing the distribution characteristics of genetic variations in ginseng. In this study, the BT mitochondrial genome was selected as the reference sequence for variation analysis based on two core considerations. First, from the perspective of biological representativeness, BT ginseng is one of China’s three major cultivated ginseng varieties, with typical agronomic traits that have achieved genetic stability. It exhibits significant advantages in both genetic stability and commercial value. Second, from the perspective of technical reliability, this study adopted a dual-platform sequencing strategy combining second-generation short-read and PacBio long-read data for de novo assembly of the BT mitochondrial genome. The resulting reference sequence is a high-quality, independently assembled genome with a clear circular structure, accurate base confirmation in key repetitive regions, and excellent continuity and annotation completeness. It effectively avoids potential systematic errors caused by heterologous reference genomes and ensures perfect compatibility with experimental data. The results showed that the ginseng mitochondrial genome contains various types of variations, including insertions, deletions, inversions, translocations, and copy number variations. Specifically, the numbers of these variations were 75 insertions, 59 deletions, 9 inversions, and 50 translocations, but no copy number variations were identified. There were significant differences in the quantity and types of variations among different samples, indicating a certain degree of genetic diversity in ginseng mitochondrial genomes among different varieties.
This study’s novelty lies in three key aspects: first, it is the first to assemble mitochondrial genomes of Chinese endemic ginseng cultivars, complementing prior data limited to Korean varieties; second, the mitochondrial genome variation map provides a comprehensive framework for capturing ginseng genetic variation, surpassing single-reference studies; third, it links mitochondrial positive selection to adaptive and medicinal traits, offering a new perspective for exploring ginseng’s ecological adaptation and ginsenoside biosynthesis. Although the ginseng mitochondrial genome overall exhibits high stability, these genetic variations provide rich resources for subsequent research and applications. Our research findings can be translated into the development of SNP chips for high-throughput variety identification, the prioritization of germplasm resources for the protection of wild-type populations (such as JA), and molecular breeding targeting positively selected genes (nad4, cox2) to enhance stress tolerance and ginsenoside content, while enabling precise identification of different ginseng samples.This not only helps in the protection and utilization of ginseng genetic resources but also provides important molecular markers for ginseng molecular breeding and functional gene research. In conclusion, this study advances our understanding of ginseng mitochondrial genome evolution and provides actionable resources for germplasm conservation and breeding.
Methods
Sample collection and sequencing
In this study, based on the domestication history and distribution of P. ginseng (2n = 4x = 48) that originated from an ancient tetraploidization event approximately two million years ago, four different ginseng lines — JA, SZ, BT, and FC — were selected for whole-genome sequencing. The plant samples were collected from: JA (Ji’an, Jilin: 41°26′29.586′′ N, 125°55′’24.288′′ E), SZ (Dandong, Liaoning: 40°47’22.032"N, 125°24’23.928"E), BT (Tonghua, Jilin: 41°26′29.586′′ N, 125°55′24.288′′ E) and FC (Fengcheng, Liaoning: 40°45′27.035′′ N, 123°44′8.880′′ E). All samples were legally obtained with permissions from local growers (cultivated varieties, no wild protected species involved). And samples were identified by Professor Deqiang Dou of Liaoning University of Traditional Chinese Medicine (LUTCM), China. Representative leaf samples are archived in the LUTCM Pharmacognosy Laboratory’s specimen repository (-80 °C) and will be retained for 10 years post-publication for verification purposes. Fresh leaves were rapidly frozen in liquid nitrogen and stored in a − 80 °C ultra-low-temperature environment. Genomic DNA was extracted from fresh young leaves using a modified 3×CTAB method, and DNA concentration was quantified by measuring the A260 absorbance value with a ND-2000 spectrophotometer. For the JA, SZ, BT, and FC lines, Hi-Fi libraries with an insert size of 10 kb were constructed and sequenced using the Pacific Biosciences Sequel II platform for third-generation sequencing. In the whole-genome resequencing part, paired-end sequencing libraries with an insert size of 300–500 bp were constructed and resequenced on the MGI DNBSEQ T7 platform.
Mitochondrial genome assembly and annotation
Based on the PacBio HiFi sequencing raw data, quality control was performed using fastplong (v0.2.2) to discard reads with mean base quality < Q20 (-m 20), remove sequences shorter than 100 bp (-l 100), and trim terminal low-quality bases (-t 1). The filtered HiFi data was subsequently assembled using PMAT2 v2.0.2 339 (-g 5G). The assembly results were visualized and manually corrected using Bandage v0.8.140. To improve assembly accuracy, the original HiFi reads were further mapped back to the initial assembly sequence using minimap2, and iterative error correction optimization was performed using NextPolish. This resulted in a highly reliable mitochondrial genome sequence, and its graph framework file (GFA) was adjusted. The P. ginseng mitochondrial genome was annotated using the MITOFY online annotation platform (http://dogma.ccbb.utexas.edu/mitofy/) and corrected by comparing with homologous genes in Araliaceae plant mitochondrial genomes. tRNAscan-SE41 (http://trna.ucsc.edu/tRNAscan-SE/) was used to annotate transfer RNAs, and Open Reading Frame Finder (https://www.ncbi.nlm.nih.gov/orffinder/) was used to annotate ORFs. The MEGA v7.042 bioinformatics tool was used for codon usage analysis, calculating RSCU and amino acid composition characteristics. The resulting RSCU data was visualized as a codon usage plot using the RSCU-Plot online tool (https://pcg-lab.shinyapps.io/RSCU-Plot/).Finally, the OGDraw43 program (https://chlorobox.mpimp-golm.mpg.de/OGDraw.html) was used to construct a circular visualization map of the mitochondrial genome.
Repeat sequence prediction
The REPuter44 program (https://bibiserv.cebitec.uni-bielefeld.de/reputer/) was used to identify dispersed repeat sequences, with parameters set as: repeat sequence consistency >90%, minimum repeat unit length ≥ 30 bp, and Hamming distance of 3. This analysis effectively identified various types of dispersed repeats, including forward repeats, reverse repeats, complement repeats, and palindromic repeats. Additionally, SSRs were identified using MISA (http://pgrc.ipk-gatersleben.de/misa/), analyzing six types of SSRs: mononucleotide, dinucleotide, trinucleotide, tetranucleotide, pentanucleotide, and hexanucleotide, with repeat thresholds set at 10, 5, 4, 3, 3, and 3, respectively. Tandem Repeats Finder v4.09 (http://tandem.bu.edu/trf/trf.html) was used to detect tandem repeat sequences.
Selection pressure analysis
The natural selection pressure during the mitochondrial evolution of P. ginseng was inferred by calculating the non-synonymous substitution rate (Ka), synonymous substitution rate (Ks), and their ratio (Ka/Ks) of PCGs, using the mitochondrial genomes of D. carota, P. notoginseng, and B. chinense as references. Homologous gene pairs were first aligned and formatted using ParaAT2.0 software. The Ka, Ks, and Ka/Ks values of each gene were then calculated using the KaKs_Calculator v.3.045 based on the YN algorithm, and the statistical significance of the substitution rates was verified using Fisher’s exact test (P < 0.05).
Phylogenetic analysis
To accurately infer the phylogenetic relationship of P. ginseng within the Panax genus, this study conducted a phylogenetic analysis based on the PCGs of 15 higher plant mitochondrial genomes. The mitochondrial genome information of all species (except P. ginseng) used in the phylogenetic analysis was obtained from the NCBI Organelle Genome Resources database (http://www.ncbi.nlm.nih.gov/genome/organelle/). Perl scripts were used to screen for PCGs common to the 15 analyzed species : P. ginseng, P. quinquefolius (NC_067574.1), P. notoginseng (GWHBHOF00000000), D. carota (NC_017855.1), B. falcatum (NC_035962.1), A. conyzoides (NC_053927.1), H. annuus (NC_023337.1), L. sativa (NC_042756.1), F. vesca (NC_065239.1), M. domestica (NC_018554.1), P. grandiflorus (NC_035958.1), C. pilosula (NC_037949.1), L. japonica (MZ504724.1), with outgroups A. thaliana (NC_037304.1) and O. sativa (NC_066488.1).All conserved mitochondrial PCG sequences were extracted from each mitochondrial genome, combined into a single dataset, and aligned using the Muscle software. Phylogenetic trees were constructed using the ML method with Poisson Correction model in MEGA v7.042. Bootstrap values displayed beside branches indicate clustering reliability of related taxa, calculated from 1,000 replicates.
Construction of the P. ginseng mitochondrial genome variation map
Using the BT mitochondrial genome as a reference, this study compared it with the JA, FC, and SZ mitochondrial genomes assembled in this study, as well as two previously published P. ginseng mitochondrial genomes (GenBank accession no. MW029460.1, and MZ389476.1), to identify and statistically analyze SNPs and InDels. Initially, nucmer v4.0.0rc1 was used for alignment (parameters: --maxmatch -c 1000 -l 40), followed by filtering with delta-filter (parameters: -m -i 90 -l 100), and further filtering with delta-filter (parameters: -l -i 90 -l 100). The resulting files were then used with delta2vcf to identify SNPs and InDels. In the identification of structural variations in P. ginseng, nucmer was used to align with the reference genome, and the filtered alignment results were identified using the SyRI v1.7.046 software (parameters: --nc 10 --nosnp). This process allowed for the identification of collinear regions, structural rearrangements, and local variation regions.
Data availability
The *de novo* assembled mitochondrial genome sequences for BT, SZ, JA, and FC are available in the Supplementary Materials. And the raw sequencing reads have been deposited in the NCBI Sequence Read Archive (SRA) under BioProject accession PRJNA1311270.
References
Chevigny, N., Schatz-Daas, D., Lotfi, F. & Gualberto, J. M. DNA repair and the stability of the plant mitochondrial genome. Int. J. Mol. Sci. 21. https://doi.org/10.3390/ijms21010328 (2020).
Fan, L. et al. Phylogenetic analyses with systematic taxon sampling show that mitochondria branch within Alphaproteobacteria. Nat. Ecol. Evol. 4, 1213–1219. https://doi.org/10.1038/s41559-020-1239-x (2020).
Alverson, A. J., Rice, D. W., Dickinson, S., Barry, K. & Palmer, J. D. Origins and recombination of the bacterial-sized multichromosomal mitochondrial genome of cucumber. Plant. cell. 23, 2499–2513. https://doi.org/10.1105/tpc.111.087189 (2011).
Duminil, J. & Besnard, G. Utility of the mitochondrial genome in plant taxonomic Studies. Methods in molecular biology. (Clifton N J). 2222, 107–118. https://doi.org/10.1007/978-1-0716-0997-2_6 (2021).
Skippington, E., Barkman, T. J., Rice, D. W. & Palmer, J. D. Miniaturized mitogenome of the parasitic plant viscum scurruloideum is extremely divergent and dynamic and has lost all Nad genes. Proc. Natl. Acad. Sci. U.S.A. 112, E3515–3524. https://doi.org/10.1073/pnas.1504491112 (2015).
Sloan, D. B. et al. Rapid evolution of enormous, multichromosomal genomes in flowering plant mitochondria with exceptionally high mutation rates. PLoS Biol. 10, e1001241. https://doi.org/10.1371/journal.pbio.1001241 (2012).
Chang, S. et al. The mitochondrial genome of soybean reveals complex genome structures and gene evolution at intercellular and phylogenetic levels. PloS One. 8, e56502. https://doi.org/10.1371/journal.pone.0056502 (2013).
Sprinzl, M. & Vassilenko, K. S. Compilation of tRNA sequences and sequences of tRNA genes. Nucleic Acids Res. 33, D139–140. https://doi.org/10.1093/nar/gki012 (2005).
Akrami, A. M., Esfahani, M., Soorni, A. & S. & Decoding the Chloroplast genomes of five Iranian salvia species: insights into genomic structure, phylogenetic relationships, and molecular marker development. BMC Genom. 26, 545. https://doi.org/10.1186/s12864-025-11729-0 (2025).
Allen, J. O. et al. Comparisons among two fertile and three male-sterile mitochondrial genomes of maize. Genetics 177, 1173–1192. https://doi.org/10.1534/genetics.107.073312 (2007).
He, T. et al. Comparative analysis of mitochondrial genomes of soybean cytoplasmic male-sterile lines and their maintainer lines. Funct. Integr. Genom. 21, 43–57. https://doi.org/10.1007/s10142-020-00760-x (2021).
Liu, J. et al. A novel chimeric mitochondrial gene confers cytoplasmic effects on seed oil content in polyploid rapeseed (Brassica napus). Mol. Plant. 12, 582–596. https://doi.org/10.1016/j.molp.2019.01.012 (2019).
Jo, Y. D. et al. Mitotypes based on structural variation of mitochondrial genomes imply relationships with morphological phenotypes and cytoplasmic male sterility in peppers. Front. Plant Sci. 10, 1343. https://doi.org/10.3389/fpls.2019.01343 (2019).
Shimamoto, Y., Abe, J., Gao, Z., Gai, J. & Thseng, F. S. Characterizing the cytoplasmic diversity and phyletic relationship of Chinese landraces of soybean, Glycine max, based on RFLPs of Chloroplast and mitochondrial DNA. Genet. Resour. Crop Evol. 47, 611–617. https://doi.org/10.1023/A:1026538907387 (2000).
Jaramillo-Correa, J. P., Beaulieu, J., Ledig, F. T. & Bousquet, J. Decoupled mitochondrial and Chloroplast DNA population structure reveals holocene collapse and population isolation in a threatened Mexican-endemic conifer. Mol. Ecol. 15, 2787–2800. https://doi.org/10.1111/j.1365-294X.2006.02974.x (2006).
Wen, J. & Zimmer, E. A. Phylogeny and biogeography of Panax L. (the ginseng genus, araliaceae): inferences from ITS sequences of nuclear ribosomal DNA. Mol. Phylogenet. Evol. 6, 167–177. https://doi.org/10.1006/mpev.1996.0069 (1996).
Qiao, P. et al. [Evaluation of genetic diversity of ginseng fruit color germplasm resources: based on SSR analysis]. Zhongguo Zhong Yao Za zhi = Zhongguo Zhongyao Zazhi = China J. Chin. Materia Med. 47, 2158–2164. https://doi.org/10.19540/j.cnki.cjcmm.20220115.102 (2022).
Zhang, H. et al. Characteristics of Panax ginseng cultivars in Korea and China. Molecules (Basel Switzerland). 25. https://doi.org/10.3390/molecules25112635 (2020).
Choi, H. I. et al. Development of reproducible EST-derived SSR markers and assessment of genetic diversity in Panax ginseng cultivars and related species. J. Ginseng Res. 35, 399–412. https://doi.org/10.5142/jgr.2011.35.4.399 (2011).
Liu, S. et al. Genetic and molecular dissection of ginseng (Panax ginseng Mey.) germplasm using high-density genic SNP markers, secondary metabolites, and gene expressions. Front. Plant Sci. 14, 1165349. https://doi.org/10.3389/fpls.2023.1165349 (2023).
Fang, X. et al. Effects of growth years on ginsenoside biosynthesis of wild ginseng and cultivated ginseng. BMC Genom. 23 https://doi.org/10.1186/s12864-022-08570-0 (2022).
Yu, W. et al. Beyond genome: advanced omics progress of Panax ginseng. Plant. Science: Int. J. Experimental plant. Biology. 341, 112022. https://doi.org/10.1016/j.plantsci.2024.112022 (2024).
Abaya, A., Zaro, G. C., De la Mora Pena, A., Hsiang, T. & Goodwin, P. H. Phenotypic and genotypic variation of cultivated Panax Quinquefolius. Plants (Basel Switzerland). 13 https://doi.org/10.3390/plants13020300 (2024).
Le, H. T. T. et al. Target capture reveals the complex origin of Vietnamese ginseng. Front. Plant Sci. 13, 814178. https://doi.org/10.3389/fpls.2022.814178 (2022).
Li, M. R. et al. Genetic and epigenetic diversities shed light on domestication of cultivated ginseng (Panax ginseng). Mol. Plant. 8, 1612–1622. https://doi.org/10.1016/j.molp.2015.07.011 (2015).
Li, M. R. et al. Genome-Wide variation patterns uncover the origin and selection in cultivated ginseng (Panax ginseng Meyer). Genome Biol. Evol. 9, 2159–2169. https://doi.org/10.1093/gbe/evx160 (2017).
Li, W. H., Wu, C. I. & Luo, C. C. A new method for estimating synonymous and nonsynonymous rates of nucleotide substitution considering the relative likelihood of nucleotide and codon changes. Mol. Biol. Evol. 2, 150–174. https://doi.org/10.1093/oxfordjournals.molbev.a040343 (1985).
Betrán, E., Bai, Y. & Motiwale, M. Fast protein evolution and germ line expression of a drosophila parental gene and its young retroposed paralog. Mol. Biol. Evol. 23, 2191–2202. https://doi.org/10.1093/molbev/msl090 (2006).
Xu, J. et al. Panax ginseng genome examination for ginsenoside biosynthesis. GigaScience 6, 1–15. https://doi.org/10.1093/gigascience/gix093 (2017).
Kim, N. H. et al. Genome and evolution of the shade-requiring medicinal herb Panax ginseng. Plant Biotechnol. J. 16, 1904–1917. https://doi.org/10.1111/pbi.12926 (2018).
Wang, Z. H. et al. Reshuffling of the ancestral core-eudicot genome shaped chromatin topology and epigenetic modification in Panax. Nat. Commun. 13, 1902. https://doi.org/10.1038/s41467-022-29561-5 (2022).
Song, Y. et al. Telomere-to-telomere reference genome for Panax ginseng highlights the evolution of saponin biosynthesis. Hortic. Res. 11, uhae107. https://doi.org/10.1093/hr/uhae107 (2024).
Hao, Z. et al. The complete mitochondrial genome of Aglaia odorata, insights into its genomic structure and RNA editing sites. Front. Plant Sci. 15, 1362045. https://doi.org/10.3389/fpls.2024.1362045 (2024).
Wang, L. et al. Assembly and comparative analysis of the first complete mitochondrial genome of a traditional Chinese medicine Angelica biserrata (Shan et Yuan) Yuan et Shan. Int. J. Biol. Macromol. 257, 128571. https://doi.org/10.1016/j.ijbiomac.2023.128571 (2024).
Jang, W. et al. Complete mitochondrial genome and a set of 10 novel kompetitive Allele-Specific PCR markers in ginseng (Panax ginseng C. A. Mey). Agronomy 10 https://doi.org/10.3390/agronomy10121868 (2020).
Jang, W. et al. The complete mitochondrial genome of Panax ginseng (Apiales, Araliaceae): an important medicinal plant. Mitochondrial DNA Part. B Resour. 6, 3080–3081. https://doi.org/10.1080/23802359.2021.1981167 (2021).
Zhang, K., Qu, G., Zhang, Y. & Liu, J. Assembly and comparative analysis of the first complete mitochondrial genome of astragalus Membranaceus (Fisch.) bunge: an invaluable traditional Chinese medicine. BMC Plant Biol. 24, 1055. https://doi.org/10.1186/s12870-024-05780-4 (2024).
Cheng, L., Kim, K. W. & Park, Y. J. Evidence for selection events during domestication by extensive mitochondrial genome analysis between Japonica and indica in cultivated rice. Sci. Rep. 9, 10846. https://doi.org/10.1038/s41598-019-47318-x (2019).
Bi, C. et al. PMAT: an efficient plant mitogenome assembly toolkit using low-coverage HiFi sequencing data. Hortic. Res. 11, uhae023. https://doi.org/10.1093/hr/uhae023 (2024).
Wick, R. R., Schultz, M. B., Zobel, J. & Holt, K. E. Bandage: interactive visualization of de Novo genome assemblies. Bioinf. (Oxford England). 31, 3350–3352. https://doi.org/10.1093/bioinformatics/btv383 (2015).
Lowe, T. M. & Chan, P. P. tRNAscan-SE On-line: integrating search and context for analysis of transfer RNA genes. Nucleic Acids Res. 44, W54–57. https://doi.org/10.1093/nar/gkw413 (2016).
Kumar, S., Stecher, G. & Tamura, K. MEGA7: molecular evolutionary genetics analysis version 7.0 for bigger datasets. Mol. Biol. Evol. 33, 1870–1874. https://doi.org/10.1093/molbev/msw054 (2016).
Lohse, M., Drechsel, O. & Bock, R. OrganellarGenomeDRAW (OGDRAW): a tool for the easy generation of high-quality custom graphical maps of plastid and mitochondrial genomes. Curr. Genet. 52, 267–274. https://doi.org/10.1007/s00294-007-0161-y (2007).
Kurtz, S. et al. REPuter: the manifold applications of repeat analysis on a genomic scale. Nucleic Acids Res. 29, 4633–4642. https://doi.org/10.1093/nar/29.22.4633 (2001).
Zhang, Z. KaKs_Calculator 3.0: calculating selective pressure on coding and Non-coding sequences. Genom. Proteom. Bioinform. 20, 536–540. https://doi.org/10.1016/j.gpb.2021.12.002 (2022).
Goel, M., Sun, H., Jiao, W. B. & Schneeberger, K. SyRI: finding genomic rearrangements and local sequence differences from whole-genome assemblies. Genome Biol. 20, 277. https://doi.org/10.1186/s13059-019-1911-0 (2019).
Acknowledgements
All cultivated Panax ginseng samples were legally obtained with written permissions from local growers (no wild protected species involved). Specimens were authenticated by Professor Deqiang Dou (Liaoning University of Traditional Chinese Medicine, LUTCM) using morphological and molecular characteristics. Voucher specimens (leaf and root tissues) are permanently archived at − 80 °C in LUTCM’s accredited biorepository , with complete collection metadata including GPS coordinates as stated in Methods. These materials will be maintained for minimum 10 years post-publication and are available for verification via deqiangdou@126.com.
Funding
This work was supported by the National Natural Science Foundation of China (No. 82574554), the Basic Scientific Research Funds of Universities of Liaoning Provincial Department of Education (No. 2024-JYTCB-050), and the Liaoning Provincial Department of Science and Technology Applied Basic Research Program (No. 2025JH2/101330066), the Scientific and Technological Innovation Project of China Academy of Chinese Medical Sciences (No. CI2023E002), the National Key Research and Development Program of China (No. 2023YFC3504000), the Fundamental Research Funds for the Central Public Welfare Research Institutes (No. ZZ13-YQ-047), the Special Fund for Science and Technology Innovation Teams of Shanxi Province (No. 202204051001030).
Author information
Authors and Affiliations
Contributions
Conceptualization, D.D.; methodology, J.X.; formal analysis, Y.X. and X.L.; investigation, Y.X. and X.L.; resources, Y.H. and D.D.; writing—original draft preparation, S.X. and X.L.; writing—review and editing, X.L. and S.G.; visualization, W.S., L.S.and T.Y.; supervision, S.C. and D.D.; project administration, J.X.; funding acquisition, D.D. All authors have read and agreed to the published version of the manuscript.
Corresponding authors
Ethics declarations
Competing interests
The authors declare no competing interests.
Additional information
Publisher’s note
Springer Nature remains neutral with regard to jurisdictional claims in published maps and institutional affiliations.
Supplementary Information
Below is the link to the electronic supplementary material.
Rights and permissions
Open Access This article is licensed under a Creative Commons Attribution-NonCommercial-NoDerivatives 4.0 International License, which permits any non-commercial use, sharing, distribution and reproduction in any medium or format, as long as you give appropriate credit to the original author(s) and the source, provide a link to the Creative Commons licence, and indicate if you modified the licensed material. You do not have permission under this licence to share adapted material derived from this article or parts of it. The images or other third party material in this article are included in the article’s Creative Commons licence, unless indicated otherwise in a credit line to the material. If material is not included in the article’s Creative Commons licence and your intended use is not permitted by statutory regulation or exceeds the permitted use, you will need to obtain permission directly from the copyright holder. To view a copy of this licence, visit http://creativecommons.org/licenses/by-nc-nd/4.0/.
About this article
Cite this article
Xi, Y., Liao, X., Hu, H. et al. Comparative mitochondrial genome analysis of Panax ginseng reveals structural variation and genetic diversity. Sci Rep 15, 44760 (2025). https://doi.org/10.1038/s41598-025-28721-z
Received:
Accepted:
Published:
Version of record:
DOI: https://doi.org/10.1038/s41598-025-28721-z





