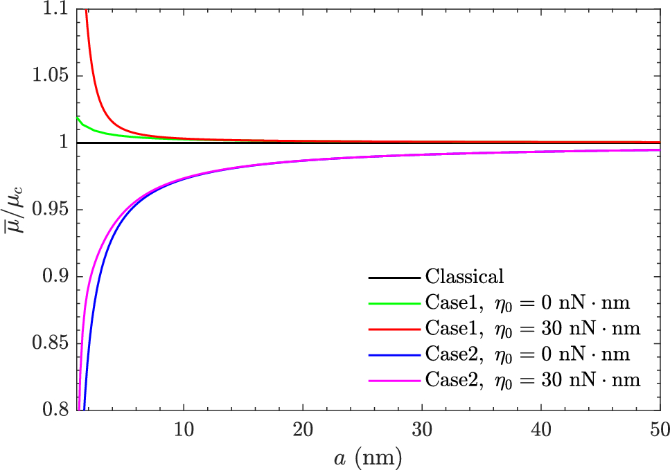
Fig. 5
From: On the macroscopic elastic moduli of nanoporous materials with surface tensile and bending rigidity

Variation of normalized equivalent shear modulus as a function of nanovoid radius of nanoporous aluminum with two levels of surface flexural rigidities. The porosity is fixed as \(f=0.2\). Also, two sets of surface bulk and shear moduli are considered: Case 1 (\(\kappa _0=12.932\) nN/nm, \(\mu _0=-0.3755\) nN/nm) and Case 2 (\(\kappa _0=-5.457\) nN/nm, \(\mu _0=-6.2178\) nN/nm).