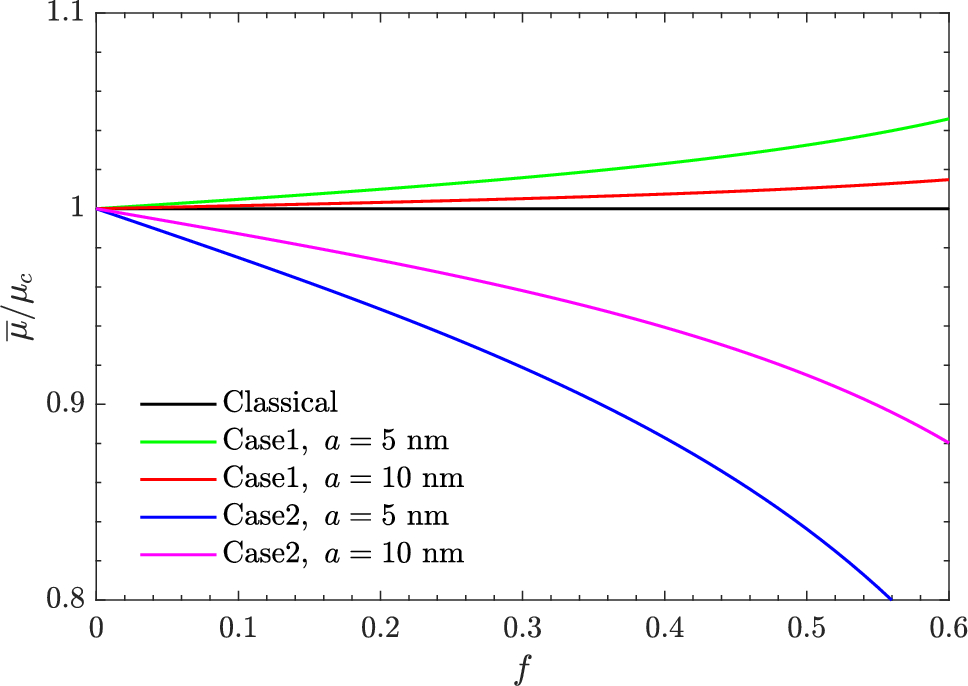
Fig. 7
From: On the macroscopic elastic moduli of nanoporous materials with surface tensile and bending rigidity

Variation of normalized equivalent shear modulus as a function of the porosity of nanoporous aluminum with four different nanovoid radii. The surface bending modulus is set as \(\eta _0=30\) nN\(\cdot\)nm. Also, two sets of surface bulk and shear moduli are considered: Case 1 (\(\kappa _0=12.932\) nN/nm, \(\mu _0=-0.3755\) nN/nm) and Case 2 (\(\kappa _0=-5.457\) nN/nm, \(\mu _0=-6.2178\) nN/nm).