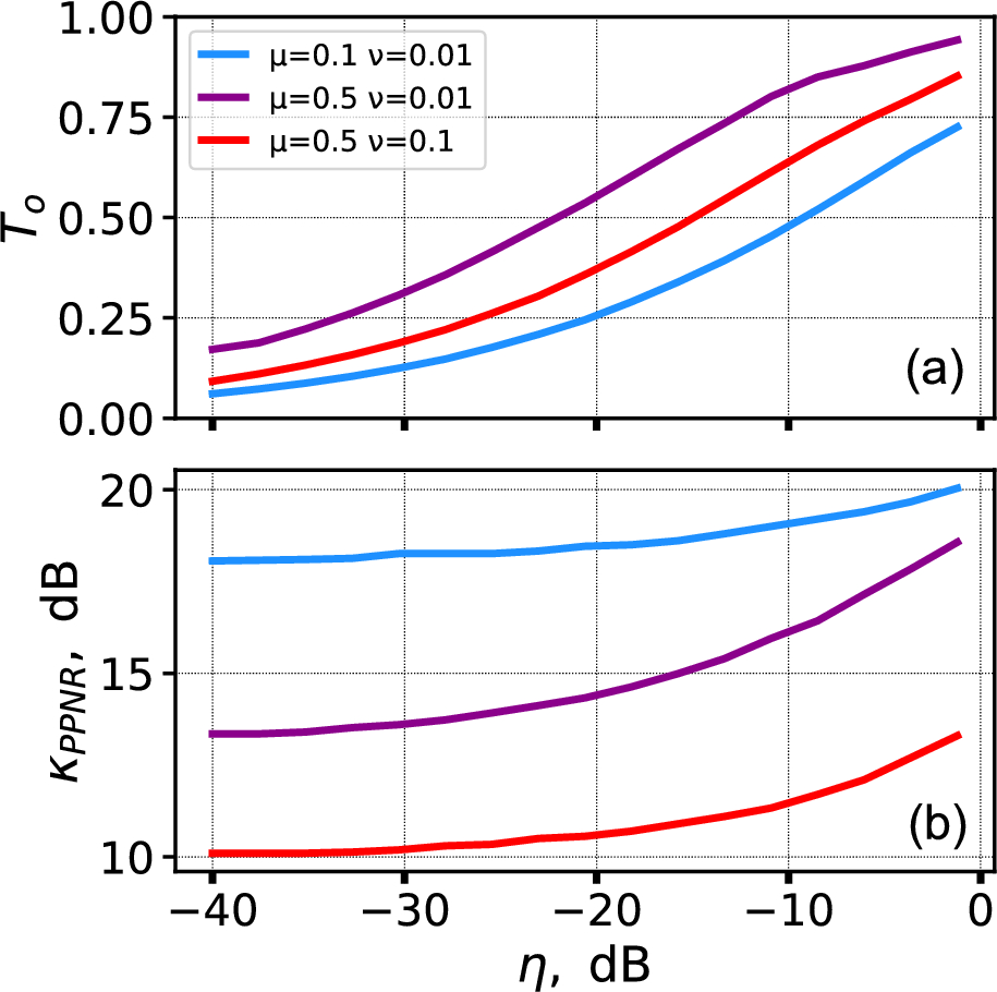
Fig. 6
From: Realistic vulnerabilities of decoy-state quantum key distribution

(a) The optimal value for the beamsplitter transmittance \(T_o\) and (b) the threshold value for attenuation alteration for PPNR USD attack \(\kappa _{PPNR}\) over the channel transmittance \(\eta\) for different decoy-state parameters. The following parameter values have been used: \(\eta _E=100\%\), \(\eta _B=10\%\), \(p_{dcr}=0\). The gains produced by the attack have matched the expected ones with a relative tolerance of \(10\%\). The different colors in both figures represent different decoy-state parameters: \(\mu =0.5\), \(\nu =0.1\) (red); \(\mu =0.5\), \(\nu =0.01\) (purple); \(\mu =0.1\), \(\nu =0.01\) (blue).