Fig. 7
From: Realistic vulnerabilities of decoy-state quantum key distribution

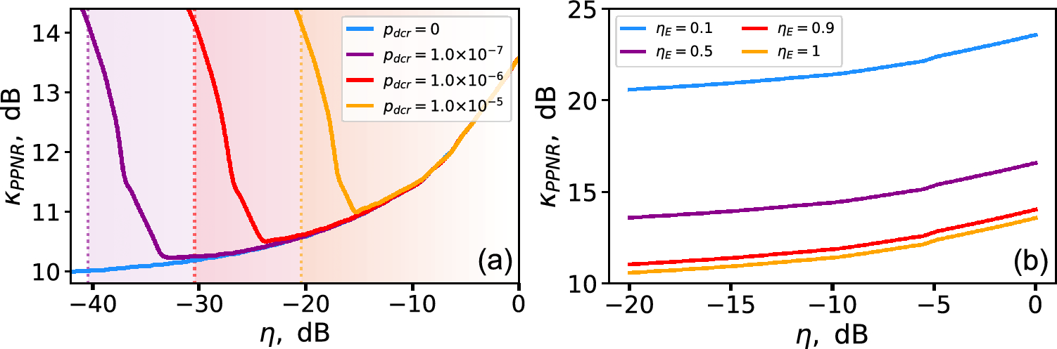
(a) The threshold attenuation alteration for PPNR USD attack \(\kappa _{PPNR}\) over the channel transmittance \(\eta\) for different dark-count rate of Bob’s detectors (\(p_{dcr}=0\)—blue, \(p_{dcr}=10^{-7}\)—purple, \(p_{dcr}=10^{-6}\)—red, \(p_{dcr}=10^{-5}\)—orange); \(\eta _E=1\), \(\eta _B=0.1\); the dotted lines for each dark-count rate mark the critical losses for decoy-state BB84, the gradient colors show the areas for each dark-count rate where positive key rates are possible. (b) The threshold attenuation alteration for PPNR USD attack \(\kappa _{PPNR}\) over the channel transmittance \(\eta\) for different quantum efficiency of Eve’s detectors (\(\eta _{E}=0.1\)—blue, \(\eta _{E}=0.5\)—purple, \(\eta _{E}=0.9\)—red, \(\eta _{E}=1\)—orange). The decoy-state parameters are \(\mu =0.5\), \(\nu =0.1\).