Abstract
Understanding the reproductive biology and breeding system of rare species is crucial for effective conservation. We examined floral biology, assessed the true pollinators, and investigated the reproductive effect of six pollination treatments (spontaneous and induced autogamy, geitonogamy, spontaneous and supplemental cross-pollination, control - flowers exposed to natural pollinators) on the fruit and seed set and their quality (size, viability) in two populations (artificial and natural) of clonal Scopolia carniolica (Solanaceae), a rare species distributed across Central and South-Eastern Europe. Hermaphroditic flowers of S. carniolica represent movement herkogamy and incomplete protogyny. Pollinators are necessary for transferring pollen onto stigmas (there was no fruit and seed set after a test for spontaneous self-pollination), and the species shows the system of obligatorily xenogamy (only cross-pollination guarantees the production of seeds with fertile embryos ensuring viable offspring) and self-incompatibility (no seeds are produced after within-flower self-pollination). Although fruits can be developed through geitonogamous self-pollination, this is associated with late-acting self-incompatibility because the seeds produced are non-viable (contain no embryos and endosperm). Bumble bees are the most effective pollinators; honeybees also contribute to pollen deposition. Conserving pollinator diversity is essential for rare clonal S. carniolica, sustaining reproduction, preventing inbreeding depression, and supporting long-term population viability.
Introduction
Studies of reproductive biology and pollination ecology are essential for predicting plant population survival1. The results can help to identify factors disturbing the reproduction of individuals and may be crucial for the implementation of conservation programs aimed at maintaining or restoring rare, narrowly distributed, or endangered populations2,3.
Flowering plants exhibit a wide array of floral adaptations and reproductive strategies that have an impact on their fitness, genetic makeup, and population dynamics4,5. Most angiosperm species (ca. 78% in the temperate-zone and 94% in the tropical zone) rely on insect vectors for pollen transfer to mediate the pollination process6. However, their mating systems can vary widely - from autonomous selfing (self-pollination without external assistance) via mixed mating systems (combining sexual and asexual reproduction or involving selfing and outcrossing) to obligate outcrossing (relying entirely on cross-pollination)7,8,9. In general, cross-pollination is considered more advantageous than self-pollination due to a higher proportion of heterozygous individuals and increased genetic diversity of offspring8,10. Nevertheless, reproductive assurance is an important selective force that can strengthen self-fertilization in order to secure offspring production in environmental conditions non-conducive for cross-fertilization, e.g. a lack of compatible mates or pollinator limitation9,10.
A large proportion of angiosperm flowers are hermaphroditic, with the potential for self-pollination11. Self-pollination may take place within a flower (autogamy - autonomous or vector-mediated) or between flowers (geitonogamy) of the same individual12 and references therein). Despite the possibility for self-pollination, a large number of species have evolved an extraordinary variety of adaptive mechanisms, e.g. spatial and temporal separation of male and female function or separation of male and female sex organs onto different individuals in order to force transfer of cross-pollen and ensure cross-fertilization13,14,15,16.
The only strategy that guarantees full protection against self-fertilization is the self-incompatibility (SI) system17,18. The self-incompatibility phenomenon is regarded as an effective mechanism for preventing inbreeding depression9. There are two main types of self-incompatibility, i.e. gametophytic (GSI) and sporophytic (SSI)19,20. In the Solanaceae family, the self-incompatibility mechanism is primary gametophytic (GSI), which is based on the interaction between proteins present in the pollen and in the pistil21,22,23. Less commonly, the late-acting self-incompatibility phenomenon occurs in other Solanaceae plants, in which the incompatibility reaction is delayed and arises after fertilization24,25. The degree of self-incompatibility can vary not only between species but also within a single species (among populations) or even individual plants12,26. This variability includes species being polymorphic for SI, with some populations being self-incompatible (SI) and others self-compatible (SC), and individual plants potentially transitioning from SI to SC over their lifespan27,28.
Presently, there is evidence that a majority of small angiosperm populations occurring in an altered environment (e.g. ecological conditions and pollinator assemblages have been modified by anthropogenic disturbance or climate change) are subjected to pollen limitation resulting from a lack of pollinators29,30. Therefore, well-organized conservation strategies require information on plant-pollinator interactions, which are fundamental for evaluation of the reproductive capacity of individuals and the capability of a population for maintenance and regeneration in both natural and human-changed ecosystems6,31.
The genus Scopolia Jacq. includes three species; two species are distributed across Central and South-Eastern Europe and the Caucasus region and one occurs in Japan and the Korean Peninsula32. Among them, Scopolia carniolica is a rare species and has been entered in the IUCN Red List of Threatened Species and classified as LC (Least Concern)33. In Poland, after the latest regulation, S. carniolica is under partial protection34.
Our previous research evidenced that S. carniolica flowers exhibit several traits that support entomophily: a large-size corolla, a visual guide that can serve as a signal pattern of floral rewards, abundant nectar and pollen attractants, the nectar composition (sucrose-dominant nectar), and a papillate wet stigma35.
Despite the importance of conservation of the rare S. carniolica species, its reproductive biology is unknown. Therefore, the aim of the present study was to examine the aspects of floral morphology and biology as well as the breeding system of S. carniolica in two populations. Specifically, we (i) studied the period of stigma receptivity and timing of pollen release during the course of anthesis and determined pollen quantity and quality, (ii) compared the fruit and seed set in diverse pollination experiments, (iii) examined the pollination treatment effects on seed viability, (iv) tried to assess whether the species is pollen-limited, i.e. if its reproduction is restricted by insufficient pollination service, and (v) attempted to identify the effective pollinator(s) of the species by means of the effectiveness of pollen transfer and deposition onto the stigma.
Materials and methods
Study species
Scopolia carniolica Jacq. (Solanaceae Juss.) is a perennial plant that develops vertical green above-ground stems (ca. 40–60 cm high) and underground rhizomes33,36. It prefers moist, shaded habitats in beech forests, especially on slopes and in valleys. Flowering occurs in early spring (from early April to early May). Its hermaphroditic flowers are set in leaf axils on relatively long pedicels36. The flowers are large (size = 20–25 mm in length; 7–10 mm in diameter) with campanulate brownish-violet corolla and the presence of nectar and pollen attractants37,38. Our previous study revealed that the flower life-span is ca. 3.3 days; sucrose-dominant nectar is secreted throughout the flower life-span, with a peak coinciding with the beginning of pollen release from the anthers. One flower produces ca. 1.67 ± 0.47 mg of nectar, 0.54 ± 0.22 mg of sugars, and 1.95 ± 0.56 mg of pollen35. The species was described as protogynous and insect-pollinated39. Bumble bee queens are reported as the main floral visitors35. Fertilization occurs one day after pollination40. The fruit is a capsule that matures at the end of May and beginning of June (unpublished own observations).
Study locations and populations
The study was carried out in two S. carniolica populations (artificial and natural) located at a distance of ca. 130 km away from each other (Fig. 1S a - b). The research in the artificial population was conducted in 2018 and 2019. The artificial population was located in the city of Lublin (L-population), SE Poland (51° 16’ N, 22° 30’ E, 200 m a.s.l.), within an area belonging to the Botanical Garden of Maria Curie-Skłodowska University. This population was established in 1975 and originated from natural sites in the Bieszczady Mountains (SE Poland): inventory number 877 from Zasan (49o23’N 22o25’E) and 2166 from Widełki (49o07’N 22o41’E). Each population covered an area of ca. 20 m2. The plants were grown on loess-origin soil. The surrounding vegetation consisted of species associated with the communities of the Fagetalia sylvaticae order (e.g. Fagus sylvatica L., Ranunculus cassubicus L., Symphytum cordatum L., Scilla bifolia L., Corydalis solida (L.) Clairv., Corydalis cava (L.) Schweigg. and Körte, Allium ursinum L., Galium odoratum (L.) Scop.).
A similar experiment was performed in 2023 in a natural population located in Potoki Forestry Division (P-population), Tomaszow Lubelski Forest District, SE Poland (50°18’ N 23°30’ E). This population covered an area of ca. 60 m2 and occurred in the ground flora of typical Fagetum carpaticum forest (= Carpathian beech forest) composed predominantly of Pulmonaria obscura L., Anemone nemorosa L., Galium odoratum (L.) Scop., Ranunculus ficaria L., and Lathraea squamaria L. The soil was fertile brown typical for beech wood41.
According to the Köppen classification42, both populations occur in the temperate climate zone (Dfb - warm-summer humid continental climate).
Reproductive biology observations and pollen transfer effectiveness
Stigma receptivity
The receptivity of the stigma was assessed in stigmas dissected from buds and 1-, 2-, 3, and 4-day-old flowers. Entire gynoecia were excised from randomly selected flowers, placed on a microscope slide, and covered with a drop of 3% hydrogen peroxide (H₂O₂) to detect peroxidase activity. Stigmas that produced bubbles within 2–4 min were considered receptive43. The proportion of ‘bubbling stigmas’ in relation to all that were checked was determined (n = 20 stigmas for every point of flower life-span per year, i.e. 300 stigmas in total were checked, with 8–10 plants sampled from each population per year). These observations were conducted under a binocular stereomicroscope (NIKON SMZ-2B).
Pollen quantity and quality
Flowers were selected randomly from at least six individuals and collected before pollen presentation at the bud stage (n = 20 flowers per population). All anthers from individual flowers were placed separately in Eppendorf tubes (2.0 ml) and, after pollen grains were released, 2 ml of distilled water was added. Then, anther tissues were removed thoroughly, and the pollen grains were counted in 20-µl samples using a hemocytometer (Bürker chamber) under a light microscope at 40× magnification. The results were expressed as the average number of pollen grains per 2 ml of suspension using the formula described by44, giving the number of pollen grains per flower.
Pollen grain viability was determined in pollen collected during pollen presentation, i.e. in 2-, 3-, and 4-day-old flowers. At each time point, pollen was collected from n = 5 flowers originating from 2 to 3 plants. Pollen was stained with 2% acetocarmine and fixed in glycerogelatin). Pollen grains which stained red were considered viable, while deformed or unstained grains were regarded as non-viable. For each time point, 4 repetitions x 100 pollen grains were examined across different fields of view45.
Number of ovules
A total of 40 flowers (n = 20 flowers per population) randomly selected from different individuals were examined for the number of ovules formed per ovary. The ovaries were cut lengthwise manually, and the ovules were counted under a stereoscopic microscope (Nikon SMZ-2B). The ovule number and pollen quantity data were used to assess the P/O – the pollen-to-ovule ratio was estimated according to Cruden7.
Reproductive and breeding system study
Pollination treatments
The flowers were marked at the bud stage (ca. 2–3 days prior to anthesis). Five flowers were labeled on three different days, i.e. in total 20 flowers were examined for each pollination treatment in each population. The flowers were selected randomly from at least six different plants.
The following treatments were performed: (1) spontaneous self-pollination (= flowers enclosed in a fine mesh bag to prevent access by insect visitors) to evaluate the possibility of autogamy, (2) induced self-pollination (= obligate autogamy; flowers isolated and hand-pollinated within the same flower with self-pollen), (3) geitonogamy (flowers isolated and hand-pollinated with pollen collected from a different flower in the same individual plant); (4) open out-crossed pollination (non-manipulated flowers available to insects (= control) to demonstrate insect importance in pollination, (5) induced cross-pollination (xenogamy; buds were emasculated before supplemental manual pollination with fresh cross-pollen collected from different individual plants and then isolated from further insect visits), (6) supplemental cross-pollination (flowers hand-pollinated with pollen collected from different individual plants, uncovered for open-pollination) to check pollen limitation. The flowers were also tested for apomixis, (flowers were emasculated and then bagged with isolators; n = 10 flowers per year per population). Since S. carniolica is capable of vegetative propagation via rhizomes, pollen for cross-pollination originated from individual plants occurring > 15 m from pollen receptor individuals to ensure that it was derived from different genets.
Fruit and seed collection and analysis of phenotypic features
Fruits obtained from the pollination treatments were harvested in the beginning of July prior to opening and the number of fruits in relation to pollinated flowers was established. In the laboratory, we determined (i) the fruit size based on their length measured with an electronic caliper (accuracy of 0.1 mm) – the measurements were made along the longitudinal axis from the capsule base to the top point, (ii) the number of seeds per each capsule, and (iii) the mass of 1,000 seeds.
Seed viability was checked using a TTC test (2,3,5-triphenyl tetrazolium chloride test)46,47, and performed on seeds that were at the same stage of development. The main indicator of seed suitability for testing was a change in the capsule color from green to greenish-light brown and the presence of dark brown, hard, and dry seeds inside the capsule. The seeds (n = 40 per pollination treatment per year) were soaked in distilled water in a thermal chamber at a temperature of 20–25 °C for 24 h. Then, they were filtered and scarified, i.e. cut in such a way that the two halves (cotyledons) remained connected. Next, the seeds were flooded with a 0.1% solution of 2,3,5-triphenyltetrazolium chloride with distilled water and placed in a thermal chamber at 35 °C for 24 h. The seeds were filtered and then cut longitudinally. They were classified as either (i) viable - with the embryo evenly stained red or (ii) non-viable – with the embryo completely unstained or light pink or with the absence of an embryo and endosperm. Seeds were viewed under a stereoscopic microscope.
Pollen transfer and deposition effectiveness
Pollen transfer and pollen deposition experiments were conducted in 2018 in the L-population and in 2023 in the P-population. To determine the ability of insect pollinators to transfer S. carniolica pollen, the method described in detail by Zych48 was applied. Briefly, we captured flower-visiting insects using an entomological net and carefully removed the pollen from their bodies and transferred it onto a microscope slide (stained with a 2% acetocarmine, fixed in glycerogelatin). The number of pollen grains of S. carniolica and ‘other’ species was counted. The visiting insects were assigned to the following groups: Bombus spp., Apis mellifera, and solitary bees (n = 3–12 individuals were examined for each group of insects).
To establish the effectiveness of a pollinator in depositing pollen onto the stigma, we determined the quantity and purity of the pollen load deposited during a single visit. First, we randomly selected flowers at the bud stage (n = 24 in the L-population and n = 9 in P-population) from different plants. The flowers were emasculated and enclosed in tulle isolators to exclude stigma contamination. Then, after the flower opened, the isolator was carefully removed and the insect was allowed to visit the flower once. After this single visit, the flower was re-isolated and labeled, indicating the type of the visiting insect. On the next day, the stigmas were removed from the experimental flowers with clean forceps and microscopic slides were made (stained with 2% acetocarmine, fixed in glycerogelatin)49. The number of S. carniolica pollen grains and pollen of ‘other’ species was counted in each sample. Control flowers were subjected to identical experimental conditions but were excluded from insect visitation (n = 10 per population). These observations were made using a light microscope (Nikon Eclipse E200; Tokyo, Japan).
Statistical analyses
Analysis of variance (ANOVA) was used to test the significance of differences between mean values of the analyzed floral features (pollen viability, stigma receptivity between floral phases) and pollen production between the populations; prior to performing any tests, the data were checked for normality (Shapiro-Wilk test). If the data were not normally distributed, the log transformation (ln) was applied.
A generalized linear model (GLM) was used to assess the effects of population and pollination treatment on fruit set and number of seeds produced per capsule. For percentage of set fruits, a beta regression model was used to analyze continuous response variables bounded within the unit interval (0,1). The model was fitted using the betareg package in R, employing a logit link function to map the percentage data onto the real line. For the seed number (response variable), a negative binomial (NB) regression model was used to account for overdispersion in the count data. The explanatory variables included year, population, and treatment. A log link function was applied to relate the expected seed count to the linear predictor. The model was fitted using the glm.nb() function from the MASS package in R (v4.3.150).
A generalized linear model (GLM) with a Gaussian distribution and a log link function was applied to assess the effects of explanatory variables (pollination treatment and population) on fruit length and seed weight. Seed viability (proportion of viable seeds per fruit) was analyzed using a beta regression with a logit link (betareg package, R), which is appropriate for modeling proportional data bounded between 0 and 1.
The generalized linear models were built using the R programming language (R Core Team, 2023) in R Studio, version 1.3.1093 (PBC).
The Kruskal–Wallis test was used to analyze the number of pollen grains transported on insect bodies and deposited on the stigma. Statistica 13.3 software (Statsoft, Kraków, Poland) was applied for these calculations.
Results
Reproductive biology: flower features
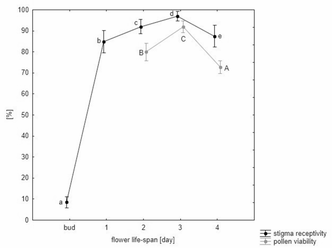
Flowering of Scopolia carniolica occurs in early spring, with the timing varying between years. Depending on the year, flowering begins either in early April and extends to the first days of May, or from mid-April to the beginning of May (Fig. 2S). The species has hermaphroditic flowers. Initially, in the buds and 1-day-old flowers, the pistil is positioned above the anthers, but later, the anther-stigma distance shortened during anthesis and the stigma was placed almost at the level of the pollen-bearing anthers or slightly above the anthers (Fig. 1a-b). Stigma receptivity differed significantly over the flower life-span (F4,25 = 576.85, P < 0.001) (Fig. 1c-g). It started in the floral bud stage (8.5 ± 2.0% of receptive stigmas) and gradually increased, reaching a maximum on the 3rd day of anthesis (97.0 ± 2.0%), and lasted until the end of the flower life-span. Anther dehiscence began on the 2nd day of anthesis. The average pollen viability was high (79.9 ± 5.0%) and differed significantly across the pollen presentation time (F 2,21 = 181.48, P < 0.001); the highest viability was recorded on the 3rd day of anthesis (91.9 ± 3.0%), whereas the lowest value was obtained in the 4th day (72.8 ± 3.0%). From the second day until the end of the flower life-span, an overlapping period of both female and male functions was observed (Fig. 2).
Macrophotographs of S. carniolica showing: (a) flower with stamens before pollen presentation and anthers clearly separated in a 1-day-old flower; (b) stigma placed slightly above the pollen presenting anthers in a 3-day-old flower, (c-g) stigma receptivity evaluated using the peroxidase test at various flower stages: (c) bud; (d) 1- day-old flower; (e) 2-day-old flower; (f) 3-day-old flower; (g) 4-day-old flower.
Changes in stigma receptivity and pollen viability in S. carniolica. Values are means calculated across populations and study years. Whiskers represent standard errors. Different letters indicate statistically significant differences between flower ages (a-d for stigma receptivity; A-C for pollen viability) at p < 0.05, based on HSD Tukey’s test.
The pollen productivity varied between the populations (F1,38 = 16.04, p = 0.0002). It amounted to 46,149.0 ± 16,334.0 pollen grains per flower in the L-population and was ca. 55% higher in the P-population (mean = 72,423.9 ± 23,468.2 pollen grains per flower). The number of ovules per ovary was similar in both populations (p > 0.05; 43.2 ± 13.4 in the L-population and 45.5 ± 12.6 in the P-population). The average calculated P/O ratio was 1102.1 ± 303.1 in the L-population and 1692.5 ± 677.8 in the P-population.
Fruit and seed set
Apomixis was not identified in S. carniolica. Pollination treatment had a strong effect on the reproductive performance of the species (beta regression, logit link; Fig. 3a). Neither population nor year significantly influenced fruit set. No fruits developed when insect vectors were excluded (spontaneous self-pollination, treatment 1), indicating the absence of autonomous within-flower self-pollination (Table 1). The highest fruits set were recorded in the natural and induced cross-pollination treatments (treatments 4, 5; estimate = −0.1845, odds ratio [OR] = 0.83, p > 0.05). Relative to open cross-pollination (GLM reference treatment 4), induced self-pollination (treatment 2) resulted in a 90% reduction (OR = 0.10, p < 0.001) while geitonogamous pollination (treatment 3) showed a 64% reduction (OR = 0.363, p < 0.001) in fruit set. Supplemental cross-pollination (treatment 6) reduced fruit set by approximately 61% (OR = 0.39, p < 0.001) (Tabel 1 S).
No seeds were produced after within-flower self-pollination and induced self-pollination, indicating self-incompatibility (Fig. 3b). Seed production was similar between open and induced cross-pollination, (multiplicative effect = 0.84–0.90, p > 0.05; Table 2). Geitonogamy (treatment 3) resulted in a 37–46% reduction in seed number compared with open cross-pollination (multiplicative effect = 0.54–0.63, p < 0.01). However, the seeds formed were non-functional. Supplemental cross-pollination (treatment 6) reduced strongly seed number by 39–49% (multiplicative effect = 0.51–0.61, p < 0.001) compared to open cross-pollination. Population origin also influenced seed set, with plants from P-population producing approximately 31% fewer seeds than those from L-population (multiplicative effect = 0.69, p < 0.001). Year had no detectable effect on seed production in L-population (Table S2).
Average fruit set (a) and seed number per fruit (b) in S. carniolica subjected to different pollination treatments: 1 - spontaneous self-pollination, 2-induced self-pollination, 3 - geitonogamous pollination, 4 – open out-crossed pollination, 5 - induced cross-pollination (xenogamy), 6 – supplemental cross-pollination. Significance codes: *** p < 0.001, ** p < 0.01, ns = not significant, based on generalized linear models (GLMs). Note: no fruit or seeds were produced in spontaneous self-pollination (treatment 1) or induced self- pollination (treatment 2); therefore, values for these treatments are not available.
Fruit and seed quality
Population had no significant effect on any of the measured fruit and seed quality traits (fruit length: p = 0.086; seed weight: p = 0.612; seed viability: p = 0.518; full model outputs are provided in Supplementary materials; Tables S3-S5). Therefore, subsequent summaries focused on the effects of pollination treatments, which strongly influenced fruit and seed traits (Table 3). Overall, open cross-pollination maintained the highest fruit and seed quality. The largest fruits were produced in the natural and induced cross-pollination groups (treatments 4, 5, Fig. 4). In contrast, induced self-pollination reduced fruit length by 38.3% (multiplicative effect = 0.62, p < 0.001), geitonogamous pollination by 18.5% (0.82, p < 0.001), and supplemental cross-pollination by 15.0% (0.85, p < 0.01).
For seed weight, geitonogamous fruits produced seeds about 62% lighter than those from open cross-pollination (estimate = 0.38, p < 0.001), whereas induced and supplemental cross-pollination treatments did not differ significantly from open cross-pollination (p > 0.05).
The seeds developed in the cross-pollination treatment (treatments 4–6) were fully formed, i.e. they had well-developed embryos and endosperm (Fig. 4). Beta regression analysis revealed that the seed viability did not differ significantly between induced and open cross-pollination (p < 0.05), whereas supplemental cross-pollination significantly reduced seed viability, compared to cross-pollination (p < 0.001; Tables 3 and 5 S). The seeds produced in the geitonogamous pollination treatment were non-viable, as they had no embryo and no endosperm.
Appearance of fruits and seeds developed after different pollination treatments in S. carniolica: 1 - spontaneous self-pollination, 2 - induced self-pollination, 3 - geitonogamous pollination, 4 – open out- crossed pollination, 5 - induced cross-pollination (xenogamy), 6 supplemental cross-pollination. Seed viability was assessed using the TTC test. The symbol X indicates absence of fruit or seed set.
Pollen transfer and deposition effectiveness
All investigated insect visitors carried the pollen of S. carniolica and ‘other’ plant species. We found differences in the number of pollen grains of both Scopolia (Kruskal–Wallis test: H (2, N = 33) = 7.28, P = 0.026) and ‘other’ species (H (2, N = 33) = 8.02, P = 0.018) carried by the various insect groups. The number of conspecific pollen grains carried by Bombus species (mean = 551.06 ± 379.79, range 8.0–904.0, n = 15) was statistically similar to that carried by Apis mellifera (mean = 323.8 ± 367.7, range 3.0–1405.0, n = 11; Fig. 5a). Solitary bees transferred the smallest amount of S. carniolica pollen grains on their bodies (mean = 82.8 ± 70.9, range 4.0–194.0, n = 7). The pollen loads carried by bumble bees were the most diverse with a high share of pollen of ‘other‘ plants. No ‘other’ pollen grains were noted on the S. carniolica stigmas.
The number of pollen grains deposited on the stigma per single visit also differed between the insect groups (H (2, N = 33) = 20.09, P = 0.0001). The highest amount of cognate pollen on the stigma during a single visit (mean = 413.9 ± 354.4, range 7.0–886.0, n = 15; Fig. 5b) was deposited by bumble bees, revealing their greatest effectiveness. Significantly less pollen was left by Apis mellifera (mean = 60.9 ± 73.9, range 2.0–215.0, n = 11), whereas only 2.1 ± 1.4 pollen grains (range 1.0–5.0, n = 7) were found to be loaded by solitary bees.
The number of S. carniolica pollen grains carried by three insect groups (Bombus spp., Apis mellifera, and solitary bees): (a) on insects’ body, (b) deposited on stigma. The mark within each box indicates the median; box boundaries represent the 25th and 75th percentiles; whiskers indicate the range of non-outlier values; asterisks (*) mark extreme values. Values represent means across observations. Different letters indicate significant differences between groups according to the Kruskal-Wallis test (p < 0.05).
Discussion
Our study provides the first description of the floral traits related to reproductive biology and the breeding system in Scopolia carniolica. The floral morphology and reproductive biology of S. carniolica indicate that the species has evolved mechanisms promoting cross-pollination, while maintaining the potential for self-pollination. The species is strongly self-incompatible and strictly dependent on insect-mediated cross-pollination, as self-pollination and pollinator exclusion produced no fruits or viable seeds. Natural and induced cross-pollination yielded the highest fruit and seed set, whereas within-flower self-pollination and geitonogamous pollination produced few or non-functional seeds, highlighting the critical role of pollinators in reproductive success. Population-level differences in seed production, suggesting that reproductive success across populations may be subject to limitations (local pollinator activity, compatible pollen availability, pollen quality, timing of pollination). However, for this rare species, conserving pollinator communities (mainly bumblebees), maintaining population connectivity, and preventing habitat fragmentation are critical to ensure effective cross-pollination and long-term survival.
Floral traits: support of both cross- and self-pollination
Scopolia carniolica flowers have evolved morphological and biological characteristics that encourage cross-pollination but still carry the risk of self-pollination. We observed the changes in the position of the stigma in relation to the anthers, i.e. a phenomenon described by Boucher et al.51 as movement herkogamy. This phenomenon was reported in Solanaceae species, e.g. in Solanum lycopersicum52. Herkogamy has long been regarded as an important floral trait that plays an advantageous role in increasing outcrossing rates and reducing self-pollination53,54. In S. carniolica, the shortening of the anther-pistil distance was observed during anthesis - the stigma reached the level of pollen-presenting anthers or was located slightly above the anthers in the 2-day-old flowers, which might increase the likelihood of automatic self-pollination.
In particular, we documented incomplete protogyny at the intrafloral level based on the criteria of Lloyd and Webb54. Knuth39 described S. carniolica flowers as protogynous, but the study did not consider the receptivity of stigmas. We found that the stigma became receptive before anther dehiscence and remained functional throughout pollen presentation up to the end of anthesis. In general, such an overlapping of sexual functions might allow within-flower self-pollination8,54,55. However, even if self-pollen was deposited on the stigma (due to the anther-stigma position and overlapping stigma receptivity with pollen presentation), no seed production was recorded after a treatment which allowed for spontaneous within-flower self-pollination (treatment 1), indicating that S. carniolica relies on outcrossing for reproduction and the presence of self-incompatibility phenomena that prevent self-fertilization.
At the population level, the protogyny in S. carniolica is ‘asynchronous’ - flowers in the female and male sexual phases are present at the same time in multiple ramets per individual genets, which allows geitonogamous pollination (e.g56,57,58,59). The promotion of geitonogamy by ‘asynchronous protogyny’ was demonstrated e.g. in species from the genus Scrophularia, Scrophulariaceae60,61. Indeed, in S. carniolica, the seeds developed after geitonogamy were non-viable as they formed no embryos and endosperm, indicating the presence of late-acting self-incompatibility.
Breeding system: obligatory out-crossing with self-incompatibility
We analyzed various traits in order to gain broader knowledge of the plant mating system, i.e. in addition to the fruit set and size, we evaluated the degree of the seed set and estimated the ability of seeds to express vital function by measuring the metabolic activity of the embryo (63,64). However, the seed viability results assessed with the TTC test (2,3,5-triphenyl tetrazolium chloride test) have to be considered as a ‘potential’ for seedling establishment and do not indicate the seed and seedling performance in non-optimal environmental conditions for the species or its role in population stability62.
The results of the pollination experiment evidenced that S. carniolica is unable to self-pollinate effectively but relies on pollinators to ensure fertilization and successful seed and fruit development, as no fruits and seeds were set when insects were excluded. The floral attributes (e.g. showy corolla, presence of primary attractants, predominance of sucrose in nectar, changes in nectar sugar composition) described in our previous complementary article35 are in concordance with the idea of entomophily in this species39,40. Another feature of our study species that is crucial for successful sexual reproduction is cross-pollination. Specifically, this assumption is supported by the highest fruit and seed set noticed in the cross-pollinated flowers (both natural and induced). Likewise, only seeds produced by the cross-pollinated flowers had fully formed embryos, indicating the outcrossed nature of species and the benefits of cross-pollination for viable offspring. As shown by literature data, an obligatory cross-pollination mating system is a reproductive strategy where cross-pollination is essential for fertilization and seed production, which indicates that the species cannot reproduce effectively through self-pollination63,64,65,66. In fact, self-pollination in S. carniolica (whether autonomous or induced within-flower self-pollination) consistently fails to produce seeds, indicating strong outcrossing and self-incompatibility20,67,68,69,70. Self-incompatibility is further proved by the results of induced geitonogamous self-pollination, where fruits may develop but their seeds are non-viable and have no embryos and endosperm, consequently leading to infertile offspring. The production of non-viable embryos following geitonogamous pollination may indicate a system of late-acting self-incompatibility19,28,71. Late-acting self-incompatibility is widely described in angiosperms (e.g24). and has also been reported within the Solanaceae family, e.g. in Lycium cestroides72. It is a phenomenon where self-pollen tubes are allowed to reach the ovary and successfully penetrate the ovules, but the developing seeds are non-viable, leading to self-sterility10,73. Further research should include detailed histological analyses of post-pollination events on stigmas, pistils, and ovaries with self- and cross-pollen in order to identify where the self-incompatibility barrier actually occurs in S. carniolica and try to indicate a possible mechanism for controlling self-incompatibility at the molecular and genetic levels.
Facultative xenogamy was indicated by the P/O ratio, as its value (1102.1 ± 303.1–1692.5 ± 677.8) falls within the range of 1,000–10,0007. However, the P/O ratio is based only on the ‘pollination success’ and does not analyze the offspring quality.
Surprisingly, supplemental cross-pollination did not improve fruit set or seed production; instead, it considerably reduced them compared to naturally and experimentally cross-pollinated flowers in both studied populations. There are several possible causes of these unexpected results. It is possible that the amount of pollen applied during supplementation was too large (the stigmata received both insect-applied pollen, including self-pollen and hand-applied pollen) and the stigmatic surface was clogged, hence pollen germination was blocked and therefore many ovules were not fertilized. In fact, the presence of movement herkogamy (discussed above) in the flowers of S. carniolica may also potentially contribute to blocking the stigma with self-pollen. Research conducted by Opedal74 demonstrated that the reduced anther-pistil distance during movement herkogamy can be disadvantageous - it restricts stigma’s access to cross-pollen and increases self-pollen deposition, leading to stigma clogging and increased competition between self- and cross-pollen, possibly hindering cross-pollination. In consequence, it can negatively impact the seed set, particularly in self-incompatible species75. Other studies has also shown that excessive pollen coverage on the stigma hinders the fertilization process in Collinsia heterophylla (Plantaginaceae)76 and Silene alba (Caryophyllaceae)75,77, supporting the idea that over-pollination can negatively affect reproductive success. In S. carniolica, these mechanisms likely explain why supplemental cross-pollination reduced rather than improved fruit and seed set, highlighting the importance of pollen quality, timing, and stigma receptivity in this strongly outcrossed, self-incompatible species. These findings also raise the question of whether reproductive success in S. carniolica is truly limited by pollen quantity, or rather by the quality, compatibility, and timing of pollen transfer - a question addressed in the following section.
Possibility of pollen limitation
Despite the dependence on cross-pollination, our data indicate that natural pollination provides near-optimal reproductive outcomes. However, based on our data it is not possible to clearly state whether the species is pollen limited due to insufficient pollen amount on the stigmas. In strongly self-incompatible S. carniolica the disparity in seed number between open cross-pollination and supplemental cross-pollination may likely reflect pollen interference, where the added pollen, potentially incompatible, disrupted fertilization by naturally deposited pollen. These results indicate that S. carniolica reproduction may be dependent on the quality, source, and timing of pollen transfer, rather than the total amount of pollen received. While the species is entirely cross-pollen-dependent, natural pollination appears to provide an optimal balance for successful reproduction. Given that pollen viability fluctuates throughout the floral lifespan, reproductive output is likely constrained by both pollen compatibility and temporal variation in pollen viability. Literature data indicate that differences in the timing of pollination, whether occurring at different times of day, flower maturity stages, or across the flowering season, may influence reproductive outcomes by altering pollen transfer efficiency, pollen tube growth, or fertilization success28,78,79,80. In the Solanaceae, the timing of pollination is a key factor determining reproductive success. Both the time of day and the age of the flower may influence pollen viability, stigma receptivity, and the rate of pollen tube growth. In Solanum lycopersicum, pollination performed in the morning hours (07:00–09:00) resulted in higher fruit set, by approximately 18–25%, compared to pollination conducted at midday81,82. The disparity has been attributed to lower morning temperatures, which maintain higher pollen viability and accelerate pollen tube growth, thereby increasing the probability of successful fertilization. The age of the flower may also influence reproductive outcomes. In S. lycopersicum and Capsicum annuum, pollination on the day of anthesis resulted in high fruit-set rates (70–90%), whereas a 24-hour delay reduced fruit set to 30–60%83,84,85. An even more stranger effect has been observed in Nicotiana tabacum, where a one-day delay resulted in more than a 60% reduction in seed number78. These results indicate the existence of a narrow ‘time window’ during which stigma receptivity and pollen viability are optimal. Reproductive success may also be influenced by flowering phenology. For example, in Solanum sisymbriifolium, fruit set reaches ~ 70% at the start of the flowering season but falls below 35% toward the end, accompanied by fewer seeds per fruit80. This decline has been attributed to reduced pollinator activity and decreasing pollen quality as the season progresses. It seems that the observed differences in seed number among S. carniolica populations reflect not just pollen availability, but mainly variation in pollen quality, availability of compatible pollen, and timing of transfer. However, pollination success and subsequent fruit/seed development are not solely determined by pollinator behavior or abundance and pollen traits. Various pre- and post-pollination factors, including availability of resources, can also significantly impact the pollination/fertilization outcomes86. Furthermore, the outcrossing sexual reproduction may be limited by e.g. the characteristics of the population (when the population is too small and/or too uniform genetically) or intense competition for pollinator service among individual plants87,88.
Pollinators
We used two indicators (the number of pollen grains transferred on insect bodies and the number of pollen grains deposited on stigmas during a single visit) as a proxy for pollinator effectiveness. Bumble bees and solitary bees (mainly Andrena fulva) were indicated as pollinators of S. carniolica by Knuth39. We found that solitary bees deposited almost no pollen, demonstrating that they are not the true pollinators of our study species. Presumably, morphological and chemical adaptations in S. carniolica (e.g. numerous non-glandular trichomes on the inner surface of the corolla and the presence of various chemical compounds in corolla cells reported by Tymoszuk et al.35 restricted the pollen deposition by short-tongued solitary bees. Indeed, morphological and chemical adaptations, alongside pollinator behavior, play a crucial role in controlling access to floral rewards and sexual organs, ultimately influencing pollinator effectiveness89.
Our research evidenced that bumble bees deposited substantially more pollen to S. carniolica flowers than is needed for fertilization of all ovules (ca. 9-fold, on average), while honey bees loaded slightly higher amounts (ca. 1.5-fold, on average) than required. Therefore, it seems that both pollinator types can provide sufficient pollination, which highlights their importance in the reproductive success of S. carniolica, even if honey bees might be less efficient. However, adequate pollination of individual flowers does not guarantee overall pollination success at the population level. As reported by many authors, even if the average pollen load is large enough to fertilize all ovules, some flowers may still experience insufficient pollination and fail to set al.l possible seeds (e.g16,90). Given the predicted decline of bumblebee populations in Europe87,88, the self-incompatibility of S. carniolica may potentially accelerating population declines and leading to a contraction of its geographic range.
We are aware of several limitations of this study. First, experiments were conducted in only two populations (artificial vs. natural), and observations were temporally separated, occurring in different years for each population. This was partly due to challenges in locating sufficiently large natural populations. Second, pollination treatments in the natural population were restricted to a single year because of permit limitations, which may not fully capture interannual variability in sexual reproduction, such as fluctuations in seed production. Third, seed quality was assessed solely using the tetrazolium test. While this test provides a useful measure of embryo viability, it does not fully reflect germination potential under natural conditions. Future studies should address these limitations by examining the biological and genetic basis of self-incompatibility in S. carniolica and validating pollination results across multiple populations to better assess the role of pollen limitation in reproductive success. Additionally, multi-year observations and complementary seed quality assessments, such as germination trials under variable environmental conditions, would provide a more comprehensive understanding of the factors regulating reproduction in this species.
In summary, reproductive success in the clonal, self-incompatible, and strongly outcrossed S. carniolica depends on pollen quality, compatibility, and timing rather than quantity. Natural pollination provides near-optimal outcomes, while excessive or incompatible pollen can hinder fertilization. Bumble bees and honey bees are the main effective pollinators, highlighting their key role in reproduction. In this context, the conservation of S. carniolica should focus on maintaining abundant and diverse pollinator communities ensuring genetic diversity and spatial mixing of clones. These factors are crucial to sustain viable populations and promote long-term reproductive success in this species.
Data availability
The raw datasets used during the current study are available from the corresponding authors on reasonable request.
References
Senapathi, D. et al. Pollinator conservation—the difference between managing for pollination services and preserving pollinator diversity. Curr. Opin. Insect Sci. 12, 93–101 (2015).
Zych, M. & Stpiczyńska, M. Neither protogynous nor obligatory out-crossed: pollination biology and breeding system of the European red list Fritillaria meleagris L. (Liliaceae). Plant. Biol. 14, 285–294 (2012).
Antoń, S. & Denisow, B. Pollination biology and breeding system in five nocturnal species of oenothera (Onagraceae): reproductive assurance and opportunities for outcrossing. Plant. Syst. Evol. 304, 1231–1243 (2018).
Barrett, S. C. H. Understanding plant reproductive diversity. Philos. Trans. R Soc. B Biol. Sci. 365, 99–109 (2010).
Diaz-Martin, Z. et al. Reproductive strategies and their consequences for divergence, gene flow, and genetic diversity in three taxa of Clarkia. Heredity 131, 338–349 (2023).
Ollerton, J., Winfree, R. & Tarrant, S. How many flowering plants are pollinated by animals? Oikos 120, 321–326 (2011).
Cruden, R. W. Pollen-Ovule ratios: A Conservative indicator of breeding systems in flowering plants. Evolution 31, 32 (1977).
Holsinger, E. K Reproductive systems and evolution in vascular plants. Proc. Natl. Acad. Sci. 97, 7037–7042 (2000).
Barrett, S. C. H. Mating strategies in flowering plants: the outcrossing–selfing paradigm and beyond. Philos. Trans. R Soc. Lond. B Biol. Sci. 358, 991–1004 (2003).
Gibbs, P. E. Late-acting self‐incompatibility – the pariah breeding system in flowering plants. New. Phytol. 203, 717–734 (2014).
Willmer, P. Pollination and Floral Ecology (Princeton University Press, 2011).
Goodwillie, C., Kalisz, S. & Eckert, C. G. The evolutionary enigma of mixed mating systems in plants: Occurrence, theoretical Explanations, and empirical evidence. Annu. Rev. Ecol. Evol. Syst. 36, 47–79 (2005).
Burd, M. Bateman’s principle and plant reproduction: the role of pollen limitation in fruit and seed set. Bot. Rev. 60, 83–139 (1994).
Larson, B. M. H. & Barrett, S. C. H. A comparative analysis of pollen limitation in flowering plants. Biol. J. Linn. Soc. 69, 503–520 (2000).
Vallejo-Marín, M. & Uyenoyama, M. K. On the evolutionary costs of self-incompatibility: incomplete reproductive compensation due to pollen limitation. Evolution 58, 1924–1935 (2004).
Knight, T. M. et al. Pollen limitation of plant reproduction: pattern and process. Annu. Rev. Ecol. Evol. Syst. 36, 467–497 (2005).
Les, D. H., Reinartz, J. A. & Esselman, E. J. Genetic consequences of rarity in Aster furcatus (asteraceae), a threatened, self-incompatible plant. Evolution 45, 1641–1650 (1991).
Takayama, S. & Isogai, A. Self-incompatibility in plants. Annu. Rev. Plant. Biol. 56, 467–489 (2005).
Wang, L. et al. Self-incompatibility in Papaver pollen: programmed cell death in an acidic environment. J. Exp. Bot. https://doi.org/10.1093/jxb/ery406 (2018).
Murase, K., Takayama, S. & Isogai, A. Molecular mechanisms of self-incompatibility in Brassicaceae and Solanaceae. Proc. Jpn Acad. Ser. B 100, 264–280 (2024).
Vesprini, J. L. & Galetto, L. The reproductive biology OfJaborosa integrifolia (Solanaceae): why its fruits are so rare? Plant. Syst. Evol. 225, 15–28 (2000).
Igic, B., Lande, R. & Kohn, J. R. Loss of Self-Incompatibility and its evolutionary consequences. Int. J. Plant. Sci. 169, 93–104 (2008).
Caraballo-Ortiz, M. A., Santiago-Valentín, E. & Carlo, T. A. Flower number and distance to neighbours affect the fecundity of Goetzea elegans (Solanaceae). J. Trop. Ecol. 27, 521–528 (2011).
Seavey, S. R. & Bawa, K. S. Late-acting self-incompatibility in angiosperms. Bot. Rev. 52, 195–219 (1986).
Vallejo-Marín, M. & O’Brien, H. E. Correlated evolution of self‐incompatibility and clonal reproduction in Solanum (Solanaceae). New. Phytol. 173, 415–421 (2007).
Stephenson, A. Interrelationships among inbreeding Depression, plasticity in the Self-incompatibility system, and the breeding system of Campanula rapunculoides L. (Campanulaceae). Ann. Bot. 85, 211–219 (2000).
Pretz, C. & Smith, S. D. How does a self-incompatible individual transition to self‐compatibility during its lifetime? Am. J. Bot. 110, e16150 (2023).
Pretz, C., Au, E. & Smith, S. D. Decay of self-incompatibility within a lifespan in physalis acutifolia (Solanaceae). Plant. Reprod. 38, 7 (2025).
Lundgren, R., Lazáro, A. & Totland, Ø. Experimental pollinator decline affects plant reproduction and is mediated by plant mating system. J. Pollinat. Ecol. 11, 46–56 (2013).
Artamendi, M., Martin, P. A., Bartomeus, I. & Magrach, A. Loss of pollinator diversity consistently reduces reproductive success for wild and cultivated plants. Nat. Ecol. Evol. 9, 296–313 (2024).
Kearns, C. A., Inouye, D. W. & Waser, N. M. Endangered mutualisms: the conservation of Plant-Pollinator interactions. Annu. Rev. Ecol. Syst. 29, 83–112 (1998).
Plants of the World Online | Kew Science. Plants of the World Online. https://powo.science.kew.org/results?q=Scopolia%20carniolica
Group), S. K. & (Cave, I. S. IUCN red list of threatened species: Scopolia carniolica. IUCN Red List. Threat Species (2013). https://www.iucnredlist.org/en
Dziennik Ustaw. poz. (2014). 1409. https://dziennikustaw.gov.pl/du/2014/1409
Tymoszuk, K., Dmitruk, M., Jachuła, J. & Denisow, B. Flower structure and floral reward in scopolia carniolica (Solanaceae) – is it a plant that can support the bumblebee food base in early spring? Arthropod-Plant Interact. 18, 403–416 (2024).
Flora Europaea. vol. 3: Diapensiaceae to Myoporaceae (ed. Tutin, T. G.) (Cambridge University Press, Cambridge, 2010).
D’Arcy, W. G. & Solanaceae Studies, I. I. Typification of subdivisions of solanum. Ann. Mo Bot. Gard. 59, 262 (1972).
D’Arcy, W. G. Zhi-yun, Z. Notes on the Solanaceae of China and neighboring areas. Novon 2, 124 (1992).
Knuth, P. Handbuch Der Blütenbiologie. (Engelmann, 1899).
Shehata, A. & Zenkteler, M. In vitro placental self and cross pollination in some species. Acta Soc. Bot. Pol. 60, 93–97 (2014).
Woźnica, K., Józefowska, A., Sokołowska, J., Mazurek, R. & Zaleski, T. Classification of brown earths based on field and laboratory properties: problematic issues and proposition of their solution. Pol. J. Soil. Sci. 52, 225 (2019).
Rubel, F. & Kottek, M. Comments on: ‘The thermal zones of the earth’ by Wladimir Köppen (1884). Meteorol. Z. 20, 361–365 (2011).
Dafni, A. & Maués, M. M. A rapid and simple procedure to determine stigma receptivity. Sex. Plant. Reprod. 11, 177–180 (1998).
Laboratory Techniques in Cellular and Molecular Medicine ((Palacký University Olomouc, Olomouc, 2021).
Denisow, B. & Bożek, M. Blooming biology and pollen abundance of Anemone japonica Houtt.= anemone x hybrida hort. Acta Agrobot 59, 139–146 (2012).
Analyzeseeds – AOSA | SCST, Tetrazolium Testing Handbook. https://analyzeseeds.com/
Chapter 7: Seed health testing. Int. Rules Seed Test. 2024, 1–14 (2024).
Zych, M. On flower visitors and true pollinators: the case of protandrous heracleum sphondylium L. (Apiaceae). Plant. Syst. Evol. 263, 159–179 (2007).
Dafni, A. Pollination Ecology: A Practical Approach. (IRL Press at Oxford University Press, 1992).
Venables, W. N. & Ripley, B. D. Modern Applied Statistics with S (Springer New York, 2002). https://doi.org/10.1007/978-0-387-21706-2
Boucher, J. J., Ireland, H. S., Wang, R., David, K. M. & Schaffer, R. J. The genetic control of herkogamy. Funct Plant. Biol 51 (2024).
Chen, K. Y., Cong, B., Wing, R., Vrebalov, J. & Tanksley, S. D. Changes in regulation of a transcription factor lead to autogamy in cultivated tomatoes. Science 318, 643–645 (2007).
Lloyd, D. G. & Schoen, D. J. Self- and Cross-Fertilization in Plants. I. Functional dimensions. Int. J. Plant. Sci. 153, 358–369 (1992).
Lloyd, D. G. & Webb, C. J. The avoidance of interference between the presentation of pollen and stigmas in angiosperms I. Dichogamy. N Z. J. Bot. 24, 135–162 (1986).
Bertin, R. I. Incidence of monoecy and dichogamy in relation to self-fertilization in angiosperms. Am. J. Bot. 80, 557–560 (1993).
De Jong, A. J., Schmidt, E. D. L. & De Vries, S. C. Early events in higher-plant embryogenesis. Plant. Mol. Biol. 22, 367–377 (1993).
Charlesworth, D. & Yang, Z. Allozyme diversity in leavenworthia populations with different inbreeding levels. Heredity 81, 453–461 (1998).
Eckert, C. G. Contributions of autogamy and geitonogamy to self-fertilization in a mass-flowering, clonal plant. Ecology 81, 532–542 (2000).
Busch, J. W. The evolution of self-compatibility in geographically peripheral populations of Leavenworthia alabamica (Brassicaceae). Am. J. Bot. 92, 1503–1512 (2005).
Olivencia, A. O. & Alcaraz, J. A. D. Sexual reproduction in somescrophularia species (Scrophulariaceae) from the Iberian Peninsula and the Balearic Islands. Plant. Syst. Evol. 184, 159–174 (1993).
Navarro-Pérez, M. L., López, J., Rodríguez-Riaño, T. & Ortega-Olivencia, A. Reproductive system of two mediterranean Scrophularia species with large, showy flowers. Bot. Lett. 166, 467–477 (2019).
Pace, B. A., Alexander, H. M., Emry, D. J. & Mercer, K. L. Reliable method for assessing seed germination, dormancy, and mortality under field conditions. J. Vis. Exp. https://doi.org/10.3791/54663 (2016).
Miller, J. S. & Kostyun, J. L. Functional gametophytic self-incompatibility in a peripheral population of Solanum peruvianum (Solanaceae). Heredity 107, 30–39 (2011).
Durand, E. et al. Evolution of self-incompatibility in the brassicaceae: lessons from a textbook example of natural selection. Evol. Appl. 13, 1279–1297 (2020).
Doyle, C. A. T. et al. Reproductive characteristics, population genetics, and pairwise kinship inform strategic recovery of a plant species in a fragmented landscape. Conserv. Sci. Pract. 5, e12910 (2023).
Zhang, D. et al. Molecular insights into self-incompatibility systems: from evolution to breeding. Plant. Commun. 5, 100719 (2024).
Charlesworth, B., Charlesworth, D. & Morgan, M. T. Genetic loads and estimates of mutation rates in highly inbred plant populations. Nature 347, 380–382 (1990).
Lloyd, D. G. Self- and Cross-Fertilization in Plants. II. The selection of Self- fertilization. Int. J. Plant. Sci. 153, 370–380 (1992).
Claessen, H., Keulemans, W., Van De Poel, B. & De Storme, N. Finding a compatible partner: Self-Incompatibility in European Pear (Pyrus communis); molecular Control, genetic Determination, and impact on fertilization and fruit set. Front. Plant. Sci. 10, 407 (2019).
Chabert, S. & Mallinger, R. E. Self-sterility, self-incompatibility and xenia: a review of the mechanisms of cross-pollination benefits in animal-pollinated crops. Ann. Bot. https://doi.org/10.1093/aob/mcaf047 (2025).
Vaughton, G., Ramsey, M. & Johnson, S. D. Pollination and late-acting self-incompatibility in Cyrtanthus breviflorus (Amaryllidaceae): implications for seed production. Ann. Bot. 106, 547–555 (2010).
Aguilar, R. & Bernardello, G. The breeding system of lycium cestroides: a Solanaceae with ovarian self-incompatibility. Sex. Plant. Reprod. 13, 273–277 (2001).
Ferriol, M. et al. Pre- and Post-Zygotic barriers contribute to reproductive isolation and correlate with genetic distance in cucumis. Plants 12, 926 (2023).
Opedal, Ø. H. Herkogamy, a principal functional trait of plant reproductive biology. Int. J. Plant. Sci. 179, 677–687 (2018).
Harder, L. D. & Aizen, M. A. Floral adaptation and diversification under pollen limitation. Philos. Trans. R Soc. B Biol. Sci. 365, 529–543 (2010).
Lankinen, Å. & Strandh, M. Differential selection on pollen and pistil traits in relation to pollencompetition in the context of a sexual conflict over timing of stigmareceptivity. AoB Plants. 8, plw061 (2016).
Young, H. J. & Gravitz, L. The effects of stigma age on receptivity in Silene alba (Caryophyllaceae). Am. J. Bot. 89, 1237–1241 (2002).
Brito, M. S. et al. Pollination triggers female gametophyte development in immature Nicotiana tabacum flowers. Front Plant. Sci 6 (2015).
Tran, L. T., Sugimoto, K., Kasozi, M., Mitalo, O. W. & Ezura, H. Pollination, pollen tube growth, and fertilization independently contribute to fruit set and development in tomato. Front. Plant. Sci. 14, 1205816 (2023).
Layek, U., Majhi, P., Das, A., Karmakar, P. & Kundu, A. Seasonal variation in flower traits, visitor traits, and reproductive success of Solanum sisymbriifolium Lamarck (Solanaceae) in the Rarh region of West Bengal, India. Biology 14, 865 (2025).
Abdul-Baki, A. A. & Stommel, J. R. Pollen viability and fruit set of tomato genotypes under optimumand High-temperature regimes. HortScience 30, 115–117 (1995).
Manjunatha, C., Tomar, B. S., Balraj, S. & Kalyanrao, P. Effects of method and time of pollination on tomato (Lycopersicon esculantum) fruit set and seed quality. Seed Res. 38, 26–30 (2010).
Sato, S., Peet, M. M. & Thomas, J. F. Physiological factors limit fruit set of tomato (Lycopersicon esculentum Mill.) under chronic, mild heat stress. Plant. Cell. Environ. 23, 719–726 (2000).
Sato, S., Peet, M. M. & Thomas, J. F. Determining critical pre- and post‐anthesis periods and physiological processes in Lycopersicon esculentum Mill. exposed to moderately elevated temperatures. J. Exp. Bot. 53, 1187–1195 (2002).
Erickson, A. N. & Markhart, A. H. Flower developmental stage and organ sensitivity of bell pepper (Capsicum annuum L.) to elevated temperature. Plant. Cell. Environ. 25, 123–130 (2002).
Erfatpour, M., MacLean, D., Lahlali, R. & Jiang, Y. Ovule and seed development of crop plants in response to climate change. Front. Sustain. Food Syst. 8, 1495610 (2024).
Aguilar, R., Ashworth, L., Galetto, L. & Aizen, M. A. Plant reproductive susceptibility to habitat fragmentation: review and synthesis through a meta-analysis. Ecol. Lett. 9, 968–980 (2006).
Kramer, A. T. & Havens, K. Plant conservation genetics in a changing world. Trends Plant. Sci. 14, 599–607 (2009).
Solís-Montero, L. & Vallejo‐Marín, M. Does the morphological fit between flowers and pollinators affect pollen deposition? An experimental test in a buzz‐pollinated species with anther dimorphism. Ecol. Evol. 7, 2706–2715 (2017).
Alcaraz, M. L. & Hormaza, J. I. Fruit set in avocado: pollen Limitation, pollen load Size, and selective fruit abortion. Agronomy 11, 1603 (2021).
Acknowledgements
We thank Grazyna Szymczak, PhD, the Director of the Botanical Garden in Lublin for providing access to the S. carniolica population. Our thanks also go to Mykhaylo Chernetskyy, PhD, Jacek Jachuła, PhD, Monika Strzałkowska-Abramek PhD, and Hubert Rydzewski, MSc for their invaluable support during the field observations. We are thankful to the three anonymous reviewers for their valuable comments, which significantly improved the paper.
Funding
This research received no external funding.
Author information
Authors and Affiliations
Contributions
K.T., B.D. – conceptualized the study; K.T. – conducted the field observations; K.T., B.D. – performed the laboratory procedures; E.S. – performed pollen analyses; K.T., J.M., B.D. – performed the statistical analyses; K.T. - took the photographs; K.T. – designed the tables and figures; K.T., B.D. – wrote the main manuscript text; B.D. – supervised the study. All authors reviewed the manuscript.
Corresponding authors
Ethics declarations
Competing interests
The authors declare no competing interests.
Additional information
Publisher’s note
Springer Nature remains neutral with regard to jurisdictional claims in published maps and institutional affiliations.
Supplementary Information
Below is the link to the electronic supplementary material.
Rights and permissions
Open Access This article is licensed under a Creative Commons Attribution-NonCommercial-NoDerivatives 4.0 International License, which permits any non-commercial use, sharing, distribution and reproduction in any medium or format, as long as you give appropriate credit to the original author(s) and the source, provide a link to the Creative Commons licence, and indicate if you modified the licensed material. You do not have permission under this licence to share adapted material derived from this article or parts of it. The images or other third party material in this article are included in the article’s Creative Commons licence, unless indicated otherwise in a credit line to the material. If material is not included in the article’s Creative Commons licence and your intended use is not permitted by statutory regulation or exceeds the permitted use, you will need to obtain permission directly from the copyright holder. To view a copy of this licence, visit http://creativecommons.org/licenses/by-nc-nd/4.0/.
About this article
Cite this article
Tymoszuk-Rydzewska, K., Denisow, B., Mielniczuk, J. et al. The sexual reproductive strategy in clonal Scopolia carniolica is based on obligatory cross-pollination and self-incompatibility. Sci Rep 16, 302 (2026). https://doi.org/10.1038/s41598-025-29571-5
Received:
Accepted:
Published:
Version of record:
DOI: https://doi.org/10.1038/s41598-025-29571-5




