Fig. 11
From: Machine learning detection of manipulative environmental disclosures in corporate reports

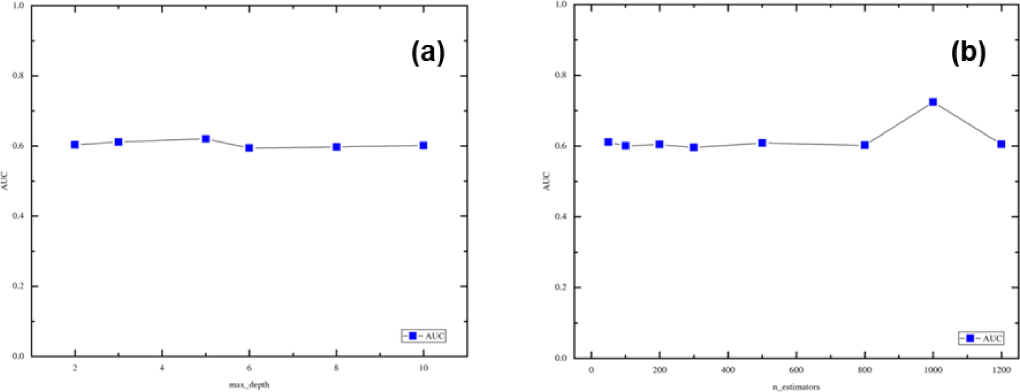
Robustness test of borderline SMOTE-RF.
From: Machine learning detection of manipulative environmental disclosures in corporate reports

Robustness test of borderline SMOTE-RF.