Fig. 5
From: Machine learning detection of manipulative environmental disclosures in corporate reports

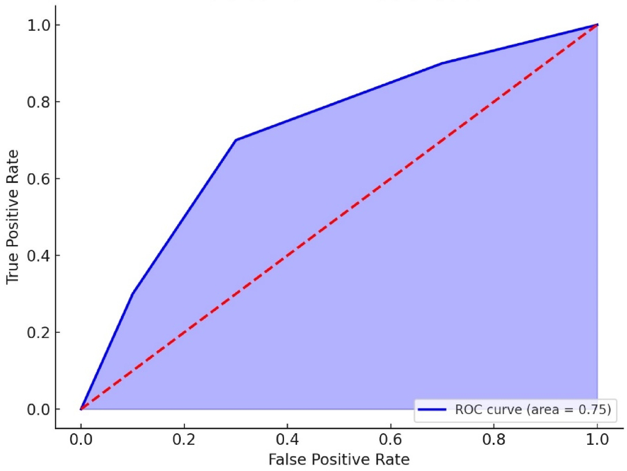
ROC curve with the AUC (Area Under the Curve) shaded.
From: Machine learning detection of manipulative environmental disclosures in corporate reports

ROC curve with the AUC (Area Under the Curve) shaded.