Abstract
A continuous-wave (CW) photon-pair source operating in the L-band was successfully realized based on spontaneous four-wave mixing (SFWM) by using short length of a birefringent ZBLAN fiber. A type-III phase-matched SFWM process was utilized by pumping a birefringent ZBLAN fiber with pump photons polarized along the slow axis, where signal and idler photons were generated with polarizations aligned to the vertical axis of the birefringent ZBLAN fiber. The phase-matching curve was calculated, and the joint spectral intensity was analyzed under 1310 nm pumping conditions. Then, we experimentally generated signal and idler photons with center wavelengths of 1117 and 1578 nm using a 1310 nm CW laser as a pump light source and measured their quantum optical properties. The maximum coincidence-to-accidental ratio was calculated to be 22, resulting in a photon-pair brightness of 3.16 × 104 pairs/s/nm/mW. The results show the feasibility of using ZBLAN fibers in quantum optics as an efficient platform for generating a quantum light source.
Similar content being viewed by others
Introduction
Quantum light sources have been widely utilized in quantum optic applications such as quantum communication1,2, quantum computing3, and quantum cryptography4. For quantum computing and quantum communications, the fundamental information carriers are single-photons and/or entangled photon pairs, which enable linear-optical operations and scalable quantum information processing5,6. Particularly, quantum key distribution (QKD) protocols, such as the Bennett-Brassard 1984 (BB84) protocol, exploit single-photons, whereas Ekert-91 (E91) and BBM92 protocols rely on the entangled photon pairs and violation of Bell’s inequalities to guarantee information-theoretic security.
One of the key requirements in quantum communication systems is the use of high-performance quantum light sources, operable at the telecommunication bands (C-band and L-band), because of the extended transmission distance and the possibility of utilizing existing optical fiber components. Therefore, substantial research has focused on demonstrating quantum light sources at telecommunication bands on various platforms, including color centers7, semiconductor quantum dots8, and trapped ions9. However, the aforementioned techniques typically require cryogenic experiments and offer limited spectral tunability, limiting their practical applications in quantum communications10,11,12. On the other hand, photon-pair sources based on spontaneous parametric down-conversion (SPDC) and spontaneous four-wave mixing (SFWM) operate under relaxed experimental conditions13,14,15,16. Moreover, its spectral tunability can be easily engineered to span visible to short-wave infrared wavelengths, making a photon-pair source based on SPDC or SFWM attractive for quantum communication applications17,18.
Photon-pair sources have gained significant attention as studies on the utilization of heralded single-photon sources and/or entangled photon-pair sources, engineered from photon-pair sources, have been conducted for the application of quantum communications19,20,21. While previous implementations of the BB84 quantum key distribution (QKD) protocol typically employ attenuated coherent pulses as a quasi-single-photon source22,23, utilizing a heralded single-photon source shows advantages over attenuated coherent pulses, particularly in terms of the perspective of improved secure key rates and lower multi-photon emission probability24. Furthermore, numerous studies have demonstrated polarization-entangled photon-pairs based on SPDC and SFWM-based photon-pair source and Sagnac interferometer25,26. These polarization-entangled photon-pair sources have proven their practicality in free-space and even space-based experiments, including the Micius project27 and the SpooQy-1 mission28.
To achieve photon-pair sources with improved performance, a range of approaches has been proposed, and their efficacy has been experimentally demonstrated. The methods include those based on the β-barium borate (BBO) crystal29,30, silicon wire waveguide31,32, nanowire quantum dots33,34, and a high-Q silicon microresonator35,36. Specifically, optical fiber-based photon-pair sources utilizing SFWM have garnered significant technical attention due to their high compatibility with existing optical fiber network technologies. Additionally, types and lengths of optical fibers can be selected on demand, providing flexibility in the pair generation rate and wavelength region of the photon-pair source26. Therefore, studies of optical fiber-based photon-pair sources have been conducted in various optical fiber platforms, such as dispersion-shifted fiber37,38, tapered fiber39,40, micro-structured fiber41,42, and birefringent silica fiber43,44. Major drawbacks of optical fiber-based photon-pair sources are spontaneous Raman scattering (SRS), which degrades the quality of photon-pair sources45,46. In order to reduce SRS effect, experimental methods such as cooling down the temperature of optical fiber to cryogenic temperature47,48,49 and utilizing dispersion-tailored optical fiber50,51,52 have been developed with the expansion of experimental complexity. On the other hand, the utilization of the birefringence of optical fiber to generate signal and idler photons, which are sufficiently separated from the pump wavelengths, has gained attention, enabling the generation of photon pairs outside the Raman gain band43,44.
ZBLAN fiber (ZrF4-BaF2-LaF3-AlF3-NaF) is a sort of fluoride glass fiber, which has a wide transmission window ranging from 0.4 to 6 μm wavelengths with a zero-dispersion wavelength at around 1.6 to 1.9 μm53. This property makes them particularly attractive for realizing highly efficient quantum light sources operating near 2 μm, which is a promising wavelength range for various emerging quantum technologies, such as free-space QKD54 and gravitational-wave detectors55. The Raman gain spectrum of ZBLAN fiber is known to extend to 25 THz56, which is narrower than that of silica fiber (42 THz). Moreover, the nonlinear refractive index of the birefringent ZBLAN fiber is 2.1 × 10− 20 m2/W, which is lower than that of silica fiber (2.7 × 10− 20 m2/W)57. Therefore, ZBLAN fiber exhibits weaker nonlinearity and consequently lower Raman noise compared to those of silica fiber. Therefore, using a birefringent ZBLAN fiber as a photon-pair generation platform can lead to lower background noise in the signal and idler bands and improve quantum optical parameters of photon-pair sources. However, there have been no reported studies on the demonstration of photon-pair sources based on birefringent ZBLAN fibers.
In this paper, we theoretically and experimentally investigated the feasibility of birefringent ZBLAN fiber as a nonlinear optical platform for continuous-wave (CW) photon-pair generation. First, we calculated the phase-matching curve of the birefringent ZBLAN fiber and the joint spectral intensity (JSI) to determine the conditions for achieving high spectral purity. The spectral purity of the heralded single-photon source was calculated to be 0.82, which is sufficient to enable the high visibility of multi-photon interference13,58. Then, we experimentally demonstrated a photon-pair source operating with a 0.51 m birefringent ZBLAN fiber and a 1310 nm CW laser pump, featuring a linewidth of 175 kHz. A type-III phase-matched SFWM process was employed, with pump photons aligned along the slow axis, generating polarization of signal and idler photons along the fast axis of the birefringent ZBLAN fiber. Signal and idler photons with a center wavelength of 1117 and 1578 nm were generated and separated through spectral and polarization filtering. The maximum coincidence-to-accidental ratio (CAR) obtained was 22, corresponding to a brightness of 3.16 × 104 pairs/s/nm/mW. Photon-pair sources in birefringent ZBLAN fiber pumped by a CW laser can operate at telecommunication wavelengths with reduced system complexity and cost compared to conventional pulsed-pump implementations. Moreover, photon pairs generated from a CW pumped source exhibit a significantly narrower linewidth than those produced with pulsed pumping59. Such narrow linewidth photons were reported to be well suited to atomic quantum memories that depend on atomic transitions with narrow linewidth, as well as to long-distance QKD systems60,61. The demonstrated CW photon-pair source achieves sufficient CAR and brightness to remain applicable in quantum communication systems.
Results and discussion
Theoretical analysis of degenerate SFWM
Degenerate SFWM is a third-order nonlinear optical process in which two pump photons are spontaneously converted into one signal photon and one idler photon. This process adheres to the laws of energy and momentum conservation. To satisfy energy conservation, the frequencies of the generated signal and idler photons must be in a specific relation to the frequencies of the pump photons62.
In this equation, ωp, ωs, and ωi correspond to the angular frequencies of the pump, signal, and idler photons, respectively. The effective wave-vectors corresponding to the fast and slow axes in a birefringent fiber are given by the following63.
Here, nZBLAN(ω) is the core refractive index at an angular frequency ω in the birefringent ZBLAN fiber, and c is the speed of light in vacuum. This equation is effective when the pump laser is far from the zero-dispersion wavelength of the fiber, where material dispersion plays a significant role compared to waveguide dispersion64. Core refractive index of the birefringent ZBLAN fiber as a function of wavelength is shown in Fig. S1 in the supporting information section. In contrast, the dispersion of the birefringent ZBLAN fiber, whose ZDW is at 1.65 μm, is presented in Fig. S2 in the supporting information section.
By choosing a pump wavelength in the regular dispersion regime, a type-III phase-matched FWM process can readily be induced in a birefringent fiber65. In a type-III phase-matched FWM configuration, both pump photons are polarized and propagate along the slow axis of the fiber. In contrast, the signal and idler photons are generated with orthogonal polarization and thus propagate along the fast axis. The wavenumber of the pump photons is given by as follows.
In this formula, kfast and kslow are the wavenumbers of fast and slow axes in ZBLAN fiber, and Δn is the birefringence of ZBLAN fiber. When the pump is assumed to be sufficiently low power, both self-phase modulation and cross-phase modulation can be neglected66. Therefore, the phase-matching condition for SFWM is considered to be independent of the pump power. The phase-matching condition (Δk) for degenerate FWM in birefringent ZBLAN fiber under the type-III phase-matched FWM process is given by this Eq64.
For the phase-matching condition, the nonlinear phase-matching term is considered in the form of the product of the nonlinear coefficient and the peak power of pump laser67. Nonlinear coefficients of the fast and slow axes in ZBLAN fibers exhibit slight differences due to the axis-dependent effective mode areas.68 However, the nonlinear phase-matching term was neglected in our calculation due to a low power of the CW pump laser used in the experiment69. We used the birefringence coefficient of ZBLAN fiber at 4.64 × 10− 4 for the calculation of phase-matching condition as in the previous studies43. Fig. 1(a) represents the theoretically calculated phase-matching curve, showing that signal and idler photons can be generated at 1117 and 1578 nm under 1310 nm pumping conditions.
Theoretical analysis of generated photon-pair state
Next, the quantum state of the generated photon-pair is characterized to represent correlations in the joint spectral domain. The correlation properties of a quantum state influence the suitability of the source for quantum information applications70,71,72. The state of the generated photon-pair is given by this calculation73.
Here, f(ωs, ωi) represents the joint spectral amplitude (JSA) of the signal and the idler, and |ωs⟩s and |ωi⟩i are the single-photon states at those frequencies. To obtain spectral correlations of generated photon-pairs, the joint spectral intensity (JSI) needs to be calculated74.
Here, σp is linewidth of the pump, \(\:{\theta\:}_{si}=-\text{a}\text{r}\text{c}\text{t}\text{a}\text{n}\left(\frac{{\tau\:}_{s}}{{\tau\:}_{i}}\right)\) is the phase-matching orientation angle, \(\:{\tau\:}_{s,i}=L\left(\frac{1}{{v}_{p}}-\frac{1}{{v}_{s,i}}\right)\) is the group velocity mismatch, \(\:L\) is the length of fiber \(\:{v}_{p,s,i}\) is the group velocity of pump, signal, and idler photons, and \(\:{\sigma\:}_{si}=\frac{2}{\sqrt{{\tau\:}_{s}^{2}+{\tau\:}_{i}^{2}}}\) is the phase-matching linewidth. Minimum spectral correlation is obtained when \(\:{\theta\:}_{si}=45\)°, which is determined by the specific combination of pump linewidth, fiber length, and the group velocities of the pump, signal and idler photons74.
Figure 1(b) shows the calculated JSI, revealing the spectral correlations between the signal and idler photons under 1310 nm pump photons. The calculated JSI is nearly circular with a little bit of ellipticity, indicating moderately high single photon purity75. To evaluate spectral purity, two-photon states need to be expressed using the Schmidt decomposition76
In this equation, λn, sn, in represent the Schmidt coefficients, normalized concerning the basis of Schmidt decomposition for signal and idler, respectively. The purity (P) is given by the following77.
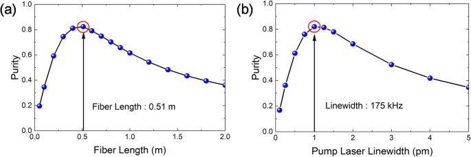
As shown in Fig. 2(a) and 2(b), we calculated the purity as a function of the 1310 nm CW laser pump linewidth and the fiber length. A maximum purity of 0.82 was achieved with a pump laser linewidth of 1 pm (175 kHz) and a fiber length of 0.51 m.
Experimental setup
Figure 3(a) shows the polarization configuration corresponding to the type-III FWM process with the polarization of the pump laser aligned with the slow axis in a birefringent ZBLAN fiber, which generates the polarization of the signal and idler photons along the fast axis. Figure 3(b) illustrates the cross-sectional structure of bow-tie type birefringent ZBLAN fiber used in the experiment, showing the orientation of the principal fast and slow axes, with a stress region width of 5.5 μm, parallel orientation of the stress regions, and a core-to-stress region distance of 4 μm. Figure 3(c) shows our experimental setup for demonstrating photon-pair sources. First, a polarization of the distributed feedback laser with a center wavelength of 1310 nm and linewidth of 175 kHz was converted into a linear polarization using a quarter-wave plate (QWP) and a linear polarizer (LP1). Then, the polarization of the linearly polarized pump laser was adjusted to the slow axis of the birefringent ZBLAN fiber (Le Verre Fluoré, France) using a half-wave plate (HWP). In order to minimize the stress induced birefringence change, the birefringent ZBLAN fiber was kept as straight as possible during the experiments78. The pump laser was coupled into 0.51 m length of the birefringent ZBLAN fiber, which was optimized for maximum spectral purity. Signal and idler photons were generated with the polarization aligned with the fast axis of the birefringent ZBLAN fiber, which is orthogonal to that of the pump photons79,80,81. The polarization of the generated signal and idler photons was adjusted using an achromatic HWP (AHWP) to align with the transmission axis of LP2. At the same time, the pump laser was suppressed due to orthogonal polarization. The signal and idler photons were separated using a dichroic mirror (DM). The residual pump was further suppressed through successive band-pass filtering, employing a fixed-wavelength band-pass filter (BPF1, BPF2) and a wavelength-tunable BPF (BPF3, BPF4) for fine tuning, resulting in a total pump suppression exceeding 120 dB. The insertion loss increase induced by multi-stage bandpass filtering affect the photon counting rate. The insertion losses of BPF1 and BPF3 were ~ 0.12 and ~ 4.6 dB, respectively. The total insertion losses of signal and idler arm were ~ 6.5 and ~ 4.8 dB, each. Although these losses reduce the number of detected photons, the suppression of residual pump beam was more critical to reliable single-photon detection. For our experimental setup, a pump suppression of at least 100 dB was required to avoid saturating SPCM and to prevent an increase in accidental counts, which can be detrimental to single-photon detection82,83. The separated signal and idler photons were analyzed by each single-photon avalanche diode (SPAD) (ID Qube, ID Quantique). A time-correlated single-photon counting (TCSPC) module (ID 900, ID Quantique) was used for the coincidence count measurement. The birefringence and dispersion properties are influenced by temperature and hygroscopic variations84,85. However, the experiment was conducted under ambient laboratory conditions of room temperature 23 °C and relative humidity of 40%. Furthermore, a CW laser with a milliwatt power level was used as a pump source in this experiment. No performance degradation of the photon-pair source was observed under controlled condition and low-power operation86,87.
(a) Properties of type-III SFWM process. (b) Cross-sectional view of the ZBLAN birefringent fiber, showing the polarization directions of the pump, signal, and idler photons. (c) Experimental schematic for photon-pair generation within birefringent ZBLAN fiber. Quarter-wave plate (QWP); linear polarizer (LP); half-wave plate (HWP); lens (L); achromatic half-wave plate (AHWP); dichroic mirror (DM); band-pass filter (BPF); mirror (M); single-photon avalanche diode (SPAD); time-correlated single-photon counting (TCSPC).
Demonstration of degenerate SFWM in birefringent ZBLAN fiber
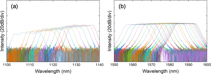
To characterize the spectral properties of the generated photon-pair, we used a wavelength-tunable BPF by varying the incidence angle of a supercontinuum beam. Figure 4(a) and 4(b) show the measured central wavelength shift and bandwidth of a wavelength-tunable BPF, which were measured by varying the incidence angle of the output beam of a supercontinuum light source by a 1° increment (SuperK Compact, NKT Photonics). The central wavelengths were blue-shifted as the incidence angle was varied by a 1° increment. The wavelength-tunable BPFs in the signal band exhibits a shift of approximately 1.6 nm per degree, while that in the idler band shows a shift of about 1 nm per degree. The signal and idler photons were passed through a tunable band-pass filter and subsequently detected using a SPAD. Figure 5(a) and 5(b) show the measured spectra of the signal and idler photons. The center wavelengths of the signal and idler were measured as 1117 and 1578 nm by fitting the measured spectrum to a Gaussian function, confirming the successful generation of photon-pairs through the degenerate type-III SFWM process. In the experiments, the linewidths of signal and idler photons were measured as 4.64 and 2.76 nm, respectively. Note that measured linewidths depend on both full width at half maximum (FWHM) of tunable BPFs and the center wavelength of the tunable BPFs. The low-resolution of wavelength-tunable BPF led the linewidth of signal and idler photons to be measured larger than expected. For the future work, a high-resolution monochromator will be employed for the exact measurement of the linewidth of signal and idler photons. Note that the measured spectra correspond to the estimated center wavelength by calculating a phase-matching condition in Fig. 1(a). When the polarization of the pump laser was rotated to be misaligned with the slow axis of the birefringent fiber, no generation peaks of the signal and idler photons occurred due to the phase-matching condition of the birefringent ZBLAN fiber.
Photon-pair source characterization
For photon-pair source characterization, the signal and idler photons were coupled into the multimode fiber patch cords and then launched to SPADs. The detection efficiency and dead time of the SPADs were 10% and 3 µs, respectively. The detection signals from the SPADs were fed into a TCSPC system for the coincidence measurements. By varying the input pump power, we measured the individual signal/idler photon counts, as well as their coincidence counts, as a function of input pump power. Figure 6(a) shows the measured count rates of signal photons as a function of input pump power. The dashed lines indicate their corresponding quadratic fits using the equation C(P) = s2P2 + s1P + s3, where s2 and s1, and s3 represent the contributions from SFWM and SRS, and the dark count of the single-photon detector, respectively, and P is the pump power88. The fitted results were s2 = 917.32 ± 27.34 and s1 = 386.65 ± 80.17 for the signal photon and s2 = 820.76 ± 59.41 and s1 = 798.93 ± 174.19 for the idler photon. For the coincidence counts, the fitting results are s2 = 150.13 ± 5.23 and s1 = 8.61 ± 15.35. These results confirm that the photon generation is predominantly governed by the type-III SFWM process, as indicated by the dominant quadratic term. In our experiment, we employed a normal-dispersion pumping scheme in a birefringent ZBLAN fiber with a zero-dispersion wavelength located at 1.65 μm. The generated signal and idler photons were separated from the pump by a 39 THz frequency, which are located at the outside of Raman gain band. Furthermore, the coincidence-to-accidental ratio (CAR) is according to CAR = Nc/(Ns · Ni · ∆t), where Nc is the coincidence count rate, and Ns and Ni are the signal and idler photon count rates, respectively89. The coincidence window ∆t was set to 11 ns. Figure 6(b) shows the CAR as a function of pump power, with a peak CAR of 22 at a pump power of 0.164 mW. Notably, fiber-based photon-pair sources with a CAR greater than 10 indicate potential utilization in quantum optical applications90,91. Furthermore, the brightness of the photon-pair source was calculated to be 3.16 × 104 pairs/s/nm/mW. For accurate measurement of the JSI and the purity of the photon pair, equipment such as a monochromator or narrow BPF is required. In particular, high spectral purity of photon-pair source is crucial to achieving high-visibility quantum interference and ensuring compatibility with narrowband quantum memories92,93. Measurements of the JSI and the purity of the photon-pair were not performed due to the lack of necessary equipment in our laboratory. In the experiment, we used birefringent ZBLAN fiber length of 0.51 m and the pump linewidth of 175 kHz, which was optimized through theoretical analysis for maximum spectral purity. Based on the theoretical analysis, our photon-pair source exhibits a maximum spectral purity of 0.82, which are sufficient to enable high-visibility quantum interference and to support practical implementations in quantum communication and linear optical quantum computing94,95,96,97. Furthermore, birefringent ZBLAN fiber provides a larger spectral separation among the pump, signal, and idler photons compared with previously reported fiber and waveguide-based photon-pair sources, which facilitates spectral filtering of pump, signal, and idler photons. Table 1 shows a performance comparison of photon-pair sources based on SFWM in various waveguide platforms. It is obvious from the table that the birefringent ZBLAN fiber demonstrates high-performance in terms of CAR, purity, and spectral brightness under low CW pump power.
Conclusion
We have theoretically and experimentally investigated the feasibility of birefringent ZBLAN fiber for the generation of CW photon-pairs operating at the L-band using type-III SFWM. The phase-matching condition for a birefringent ZBLAN fiber was calculated, and the conditions to maximize single-photon purity were theoretically estimated. Then, photon-pair sources were experimentally demonstrated through 0.51 m length of the birefringent ZBLAN fiber pumped by a 1310 nm CW laser, generating signal and idler photons at 1117 and 1578 nm. The maximum CAR of the generated photon-pair source was measured to be 22, with a corresponding brightness of 3.16 × 104 pairs/s/nm/mW. This study offers notable advantages in terms of implementation simplicity and cost-effectiveness for demonstrating photon-pair sources under the SFWM process and CW pumping, which generally exhibit lower generation efficiency and CAR values compared to pulsed pumping37,105. The proper measurements of JSI and purity are crucial to characterizing photon-pair sources75,106. we plan to conduct measurements on the JSI and purity by employing monochromator with a high spectral resolution, enabling a more accurate evaluation of the intrinsic spectral properties (CAR and spectral brightness) for the future. We believe that our demonstrated photon-pair generation scheme, operating at the telecommunication band, possesses compatibility with existing telecom infrastructure and scalability to quantum networks, and thus has potential for applications in quantum communication and quantum information.
Data availability
All data generated during this study are included in this published article.
References
Buttler, W. T. et al. Daylight quantum key distribution over 1.6 Km. Phys. Rev. Lett. 84, 5652 (2000).
Marand, C. & Townsend, P. D. Quantum key distribution over distances as long as 30 Km. Opt. Lett. 20, 1695–1697 (1995).
O’Brien, J. L. Optical quantum computing. Science 318, 1567–1570 (2007).
Beveratos, A. et al. Single photon quantum cryptography. Phys. Rev. Lett. 89, 187901 (2002).
Yoran, N. & Reznik, B. Deterministic linear optics quantum computation with single photon qubits. Phys. Rev. Lett. 91, 037903 (2003).
Smith, J. A. & Kaplan, L. Optimal entangling operations between deterministic blocks of qubits encoded into single photons. Phys. Rev. A. 97, 012320 (2018).
Pezzagna, S. & Meijer, J. Quantum computer based on color centers in diamond. Appl. Phys. Rev. 8, 011308 (2021).
Shields, A. J. Semiconductor quantum light sources. Nat. Photonics. 1, 215–223 (2007).
Keller, M., Lange, B., Hayasaka, K., Lange, W. & Walther, H. Continuous generation of single photons with controlled waveform in an ion-trap cavity system. Nature 431, 1075–1078 (2004).
Pagano, G. et al. Cryogenic trapped-ion system for large scale quantum simulation. Quantum Sci. Technol. 4, 014004 (2018).
Lienhard, B. et al. Bright and photostable single-photon emitter in silicon carbide. Optica 3, 768–774 (2016).
Senellart, P., Solomon, G. & White, A. High-performance semiconductor quantum-dot single-photon sources. Nat. Nanotechnol. 12, 1026–1039 (2017).
Kaneda, F., Garay-Palmett, K., U’Ren, A. B. & Kwiat, P. G. Heralded single-photon source utilizing highly nondegenerate, spectrally factorable spontaneous parametric downconversion. Opt. Express. 24, 10733–10747 (2016).
Ngah, L. A., Alibart, O., Labonté, L., D’Auria, V. & Tanzilli, S. Ultra-fast heralded single photon source based on Telecom technology. Laser Photon Rev. 9, L1–L5 (2015).
Kultavewuti, P. et al. Polarization-entangled photon pair sources based on spontaneous four wave mixing assisted by polarization mode dispersion. Sci. Rep. 7, 5785 (2017).
He, J. et al. Degenerate photon-pair generation in an ultracompact silicon photonic crystal waveguide. Opt. Lett. 39, 3575–3578 (2014).
Sharapova, P. R., Kruk, S. S. & Solntsev, A. S. Nonlinear dielectric nanoresonators and metasurfaces: toward efficient generation of entangled photons. Laser Photon Rev. 17, 2200408 (2023).
Garay-Palmett, K. et al. Fiber-based photon-pair generation: tutorial. J. Opt. Soc. Am. B-Opt Phys. 40, 469–490 (2023).
Niizeki, K. et al. Ultrabright narrow-band Telecom two-photon source for long-distance quantum communication. Appl. Phys. Express. 11, 042801 (2018).
Arahira, S., Kishimoto, T. & Murai, H. 1.5-µm band polarization entangled photon-pair source with variable bell States. Opt. Express. 20, 9862–9875 (2012).
Ma, C. et al. Silicon photonic entangled photon-pair and heralded single photon generation with CAR > 12,000 and g(2)(0) < 0.006. Opt. Express. 25, 32995–33006 (2017).
Biswas, A., Banerji, A., Chandravanshi, P., Kumar, R. & Singh, R. P. Experimental side channel analysis of BB84 QKD source. IEEE J. Quantum Electron. 57, 1–7 (2021).
Yang, J. et al. High-rate intercity quantum key distribution with a semiconductor single-photon source. Light Sci. Appl. 13, 150 (2024).
Schiavon, M., Vallone, G., Ticozzi, F. & Villoresi, P. Heralded single-photon sources for quantum-key-distribution applications. Phys. Rev. A. 93, 012331 (2016).
Kim, T., Fiorentino, M. & Wong, F. N. C. Phase-stable source of polarization-entangled photons using a polarization sagnac interferometer. Phys. Rev. A. 73, 012316 (2006).
Lee, K., Jung, J. & Lee, J. H. Optical fiber polarization-entangled photon pair source using intermodal spontaneous four-wave mixing in the visible spectral band. Laser Phys. Lett. 20, 015101 (2022).
Lu, C. Y., Cao, Y., Peng, C. Z. & Pan, J. W. Micius quantum experiments in space. Rev. Mod. Phys. 94, 035001 (2022).
Villar, A. et al. Entanglement demonstration on board a nano-satellite. Optica 7, 734–737 (2020).
Barz, S., Cronenberg, G., Zeilinger, A. & Walther, P. Heralded generation of entangled photon pairs. Nat. Photonics. 4, 553–556 (2010).
Zhong, H. S. et al. 12-photon entanglement and scalable scattershot Boson sampling with optimal entangled-photon pairs from parametric down-conversion. Phys. Rev. Lett. 121, 250505 (2018).
Harada, H. et al. Generation of high-purity entangled photon pairs using silicon wire waveguide. Opt. Express. 16, 20368–20373 (2008).
Lv, N. et al. 1.5 µm polarization entanglement generation based on birefringence in silicon wire waveguides. Opt. Lett. 38, 2873–2876 (2013).
Wakileh, A. N. et al. Single photon emission in the Telecom C-band from nanowire-based quantum Dots. Appl. Phys. Lett. 124, 044006 (2024).
Claudon, J. et al. A highly efficient single-photon source based on a quantum dot in a photonic nanowire. Nat. Photonics. 4, 174–177 (2010).
Lu, X. et al. Heralding single photons from a high-Q silicon microdisk. Optica 3, 1331–1338 (2016).
Yao, Z. et al. Integrated silicon photonic microresonators: emerging technologies. IEEE J. Sel. Top. Quantum Electron. 24, 1–24 (2018).
Dong, S. et al. Energy-time entanglement generation in optical fibers under CW pumping. Opt. Express. 22, 359–368 (2014).
Zhou, Q., Zhang, W., Cheng, J., Huang, Y. & Peng, J. Properties of optical fiber based synchronous heralded single photon sources at 1.5 µm. Phys. Lett. A. 375, 2274–2277 (2011).
Shukhin, A. A., Keloth, J., Hakuta, K. & Kalachev, A. A. Heralded single-photon and correlated-photon-pair generation via spontaneous four-wave mixing in tapered optical fibers. Phys. Rev. A. 101, 053822 (2020).
Kim, J. H., Ihn, Y. S., Kim, Y. H. & Shin, H. Photon-pair source working in a silicon-based detector wavelength range using tapered micro/nanofibers. Opt. Lett. 44, 447–450 (2019).
Afsharnia, M. et al. Generation of infrared photon pairs by spontaneous four-wave mixing in a CS2-filled microstructured optical fiber. Sci. Rep. 14, 977 (2024).
Slater, J. A. et al. Microstructured fiber source of photon pairs at widely separated wavelengths. Opt. Lett. 35, 499–501 (2010).
Söller, C., Cohen, O., Smith, B. J., Walmsley, I. A. & Silberhorn, C. High-performance single-photon generation with commercial-grade optical fiber. Phys. Rev. A. 83, 031806 (2011).
Fang, B., Cohen, O. & Lorenz, V. O. Polarization-entangled photon-pair generation in commercial-grade polarization-maintaining fiber. J. Opt. Soc. Am. B-Opt Phys. 31, 277–281 (2014).
Lin, Q., Yaman, F. & Agrawal, G. P. Photon-pair generation in optical fibers through four-wave mixing: role of Raman scattering and pump polarization. Phys. Rev. A. 75, 023803 (2007).
Clark, A. S. et al. Raman scattering effects on correlated photon-pair generation in chalcogenide. Opt. Express. 20, 16807–16814 (2012).
Sua, Y. M., Malowicki, J., Hirano, M. & Lee, K. F. Generation of high-purity entangled photon pair in a short highly nonlinear fiber. Opt. Lett. 38, 73–75 (2012).
Takesue, H. & Inoue, K. 1.5-µm band quantum-correlated photon pair generation in dispersion-shifted fiber: suppression of noise photons by cooling fiber. Opt. Express. 13, 7832–7839 (2005).
Chen, J., Lee, K. F., Liang, C. & Kumar, P. Fiber-based telecom-band degenerate-frequency source of entangled photon pairs. Opt. Lett. 31, 2798–2800 (2006).
Cordier, M. et al. Active engineering of four-wave mixing spectral correlations in multiband hollow-core fibers. Opt. Express. 27, 9803–9814 (2019).
Cohen, O. et al. Tailored photon-pair generation in optical fibers. Phys. Rev. Lett. 102, 123603 (2009).
Cordier, M. et al. Raman-tailored photonic crystal fiber for Telecom band photon-pair generation. Opt. Lett. 42, 2583–2586 (2017).
Tao, G. et al. Infrared fibers. Adv. Opt. Photonics. 7, 379–458 (2015).
Prabhakar, S. et al. Two-photon quantum interference and entanglement at 2.1 µm. Sci. Adv. 6, eaay5195 (2020).
Mansell, G. L. et al. Observation of squeezed light in the 2 µm region. Phys. Rev. Lett. 120, 203603 (2018).
Agger, C. et al. Supercontinuum generation in ZBLAN fibers—detailed comparison between measurement and simulation. J. Opt. Soc. Am. B-Opt Phys. 29, 635–645 (2012).
Kim, K. S., Stolen, R. H., Reed, W. A. & Quoi, K. W. Measurement of the nonlinear index of silica-core and dispersion-shifted fibers. Opt. Lett. 19, 257–259 (1994).
Hong, C. K., Ou, Z. Y. & Mandel, L. Measurement of subpicosecond time intervals between two photons by interference. Phys. Rev. Lett. 59, 2044 (1987).
Yan, H. et al. Generation of narrow-band hyperentangled nondegenerate paired photons. Phys. Rev. Lett. 106, 033601 (2011).
Caspani, L. et al. Integrated sources of photon quantum States based on nonlinear optics. Light Sci. Appl. 6, e17100 (2017).
Zhan, X. H. et al. Quantum key distribution with a continuous-wave-pumped spontaneous-parametric-down-conversion heralded single-photon source. Phys. Rev. Appl. 19, 034027 (2023).
Pourbeyram, H. & Mafi, A. Photon pair generation in multimode optical fibers via intermodal phase matching. Phys. Rev. A. 94, 023815 (2016).
Stolen, R. H., Bösch, M. A. & Lin, C. Phase matching in birefringent fibers. Opt. Lett. 6, 213–215 (1981).
Fang, B., Cohen, O., Moreno, J. B. & Lorenz, O. V. State engineering of photon pairs produced through dual-pump spontaneous four-wave mixing. Opt. Express. 21, 2707–2717 (2013).
Morgan, P. N. & Liu, J. M. Parametric four-photon mixing followed by stimulated Raman scattering with optical pulses in birefringent optical fibers. IEEE J. Quantum Electron. 24, 1011–1021 (1991).
Garay-Palmett, K. et al. Photon pair-state Preparation with tailored spectral properties by spontaneous four-wave mixing in photonic-crystal fiber. Opt. Express. 15, 14870–14886 (2007).
Song, S., Allen, C. T., Demarest, K. R. & Hui, R. Intensity-dependent phase-matching effects on four-wave mixing in optical fibers. J. Lightwave Technol. 17 (11), 2285–2290 (1999).
Paul, B. K., Moctader, M. G., Ahmed, K. & Khalek, M. A. Nanoscale gap strips based photonic crystal fiber with high nonlinearity and high numerical aperture for laser applications. Results Phys. 10, 374–378 (2018).
Smith, B. J., Mahou, P., Cohen, O., Lundeen, J. S. & Walmsley, I. A. Photon pair generation in birefringent optical fibers. Opt. Express. 17, 23589–23602 (2009).
Gisin, N. & Thew, R. Quantum communication. Nat. Photonics. 1, 165–171 (2007).
Wang, Y., Primaatmaja, I. W., Lavie, E., Varvitsiotis, A. & Lim, C. C. W. Characterising the correlations of prepare-and-measure quantum networks. Npj Quantum Inf. 5, 17 (2019).
Zhang, H. et al. Preparation and storage of frequency-uncorrelated entangled photons from cavity-enhanced spontaneous parametric downconversion. Nat. Photonics. 5, 628–632 (2011).
Graffitti, F., Kelly-Massicotte, J., Fedrizzi, A. & Brańczyk, A. M. Design considerations for high-purity heralded single-photon sources. Phys. Rev. A. 98, 053811 (2018).
Meyer-Scott, E. et al. Limits on the heralding efficiencies and spectral purities of spectrally filtered single photons from photon-pair sources. Phys Rev. A. 95, 061803 (2017).
Bell, B. A., Garces, T., Walmsley, I. A. & G. & Diagnosing phase correlations in the joint spectrum of parametric downconversion using multi-photon emission. Opt. Express. 28, 34246–34254 (2020).
Mosley, P. J., Lundeen, J. S., Smith, B. J. & Walmsley, I. A. Conditional Preparation of single photons using parametric downconversion: a recipe for purity. New. J. Phys. 10, 093011 (2008).
Francis-Jones, R. J., Hoggarth, R. A. & Mosley, P. J. All-fiber multiplexed source of high-purity single photons. Optica 3, 1270–1273 (2016).
Mukhtubayev, A. B., Aksarin, S. M. & Strigalev, V. E. Polarization extinction ratio of the polarization crosstalk caused by point pressure force in the polarization-maintaining fiber. Opt. Fiber Technol. 38, 119–122 (2017).
Lugani, J., Francis-Jones, R. J. A., Boutari, J. & Walmsley, I. A. Spectrally pure single photons at telecommunications wavelengths using commercial birefringent optical fiber. Opt. Express. 28, 5147–5163 (2020).
Xie, M., Lee, Y. S., Tannous, R., Long, G. L. & Jennewein, T. Roles of fiber birefringence and Raman scattering in the spontaneous four-wave mixing process through birefringent fibers. Opt. Express. 29, 31348–31363 (2021).
Cruz-Delgado, D. et al. Fiber-based photon-pair source capable of hybrid entanglement in frequency and transverse mode, controllably scalable to higher dimensions. Sci. Rep. 6, 27377 (2016).
Xiong, C. et al. Characteristics of correlated photon pairs generated in ultracompact silicon slow-light photonic crystal waveguides. IEEE J. Sel. Top. Quantum Electron. 18, 1676–1683 (2012).
Dyer, S. D., Stevens, M. J., Baek, B. & Nam, S. W. High-efficiency, ultra low-noise all-fiber photon-pair source. Opt. Express. 16, 9966–9977 (2008).
Moffatt, J. E. et al. In-fiber measurement of the erbium-doped ZBLAN 4I13/2 state energy transfer parameter. J. Opt. Soc. Am. B-Opt Phys. 38, 415–419 (2021).
Yang, B. et al. Luminescence of levitated Zr-Ba-La-Al-Na fluoride glass. Phys. Rev. B. 56, 5876 (1997).
Rezaei, M., Zeweldi, G. T., Shamim, M. H. M. & Rochette, M. Single-mode optical fiber couplers made of fluoride glass. Opt. Express. 31, 27183–27191 (2023).
Uehara, H. et al. Power scalable 30-W mid-infrared fluoride fiber amplifier. Opt. Lett. 44, 4777–4780 (2019).
Cordier, M., Delaye, P., Gérôme, F., Benabid, F. & Zaquine, I. Raman-free fibered photon-pair source. Sci. Rep. 10, 1650 (2020).
Shin, W. et al. Propagation loss effects on photon-pair generation in a lossy waveguide. Nanophotonics 12, 531–538 (2023).
Li, X., Chen, J., Voss, P., Sharping, J. & Kumar, P. All-fiber photon-pair source for quantum communications: improved generation of correlated photons. Opt. Express. 12, 3737–3744 (2004).
Reimer, C. et al. Cross-polarized photon-pair generation and bi-chromatically pumped optical parametric oscillation on a chip. Nat. Commun. 6, 8236 (2015).
Jachura, M., Karpiński, M., Radzewicz, C. & Banaszek, K. High-visibility nonclassical interference of photon pairs generated in a multimode nonlinear waveguide. Opt. Express. 22, 8624–8632 (2014).
Gorin, T., Pineda, C. & Seligman, T. H. Decoherence of an n-Qubit quantum memory. Phys. Rev. Lett. 99, 240405 (2007).
Jin, R. B., Shimizu, R., Wakui, K., Benichi, H. & Sasaki, M. Widely tunable single photon source with high purity at Telecom wavelength. Opt. Express. 21, 10659–10666 (2013).
Rohde, P. P. Optical quantum computing with photons of arbitrarily low fidelity and purity. Phys. Rev. A. 86, 052321 (2012).
Jin, R. B., Takeoka, M., Takagi, U., Shimizu, R. & Sasaki, M. Highly efficient entanglement swapping and teleportation at Telecom wavelength. Sci. Rep. 5, 9333 (2015).
Faruque, I. I., Sinclair, G. F., Bonneau, D., Rarity, J. G. & Thompson, M. G. On-chip quantum interference with heralded photons from two independent micro-ring resonator sources in silicon photonics. Opt. Express. 26, 20379–20395 (2018).
Collins, M. J. et al. Low Raman-noise correlated photon-pair generation in a dispersion-engineered chalcogenide As2S3 planar waveguide. Opt. Lett. 37, 3393–3395 (2012).
Vijay, Sharma, S., Ghosh, J. & Venkataraman, V. Spectrally pure visible-telecom photon pairs via dispersion-engineered Si3N4 waveguides. Phys. Rev. Appl. 22, 014070 (2024).
Li, Y. H. et al. On-chip multiplexed multiple entanglement sources in a single silicon nanowire. Phys. Rev. Appl. 7, 064005 (2017).
Paesani, S. et al. Near-ideal spontaneous photon sources in silicon quantum photonics. Nat. Commun. 11, 2505 (2020).
Dyer, S. D., Baek, B. & Nam, S. W. High-brightness, low-noise, all-fiber photon pair source. Opt. Express. 17, 10290–10297 (2009).
Fulconis, J., Alibart, O., Wadsworth, W. J., Russell, P. S. J. & Rarity, J. G. High brightness single mode source of correlated photon pairs using a photonic crystal fiber. Opt. Express. 13, 7572–7582 (2005).
Ling, A., Chen, J., Fan, J. & Migdall, A. Mode expansion and Bragg filtering for a high-fidelity fiber-based photon-pair source. Opt. Express. 17, 21302–21312 (2009).
Inoue, K. & Shimizu, K. Generation of quantum-correlated photon pairs in optical fiber: influence of spontaneous Raman scattering. Jpn J. Appl. Phys. 43, 8048 (2004).
Greganti, C. et al. Tuning single-photon sources for Telecom multi-photon experiments. Opt. Express. 26, 3286–3302 (2018).
Acknowledgements
This work was supported by the Institute of Information & Communications Technology Planning & Evaluation (IITP) - Information Technology Research Center (ITRC) grant funded by the Korea government (RS-2021-II211810). This research was also supported by the National Research Foundation of Korea (NRF) grant funded by the Korea government (RS-2023-00242396). The corresponding author of this article is Ju Han Lee.
Author information
Authors and Affiliations
Contributions
J.H.L conceived the project. T.W designed the experimental setup and performed the experiments. K.T conducted theoretical analysis. T.W., K.T., N.C. and J.H.L discussed the results and contributed to the writing of the manuscript.
Corresponding author
Ethics declarations
Competing interests
The authors declare no competing interests.
Additional information
Publisher’s note
Springer Nature remains neutral with regard to jurisdictional claims in published maps and institutional affiliations.
Supplementary Information
Below is the link to the electronic supplementary material.
Rights and permissions
Open Access This article is licensed under a Creative Commons Attribution-NonCommercial-NoDerivatives 4.0 International License, which permits any non-commercial use, sharing, distribution and reproduction in any medium or format, as long as you give appropriate credit to the original author(s) and the source, provide a link to the Creative Commons licence, and indicate if you modified the licensed material. You do not have permission under this licence to share adapted material derived from this article or parts of it. The images or other third party material in this article are included in the article’s Creative Commons licence, unless indicated otherwise in a credit line to the material. If material is not included in the article’s Creative Commons licence and your intended use is not permitted by statutory regulation or exceeds the permitted use, you will need to obtain permission directly from the copyright holder. To view a copy of this licence, visit http://creativecommons.org/licenses/by-nc-nd/4.0/.
About this article
Cite this article
Woo, T., Lee, K., Joe, N. et al. A continuous-wave photon-pair source operating in L-band through spontaneous four-wave mixing in birefringent ZBLAN fiber. Sci Rep 15, 45398 (2025). https://doi.org/10.1038/s41598-025-29646-3
Received:
Accepted:
Published:
Version of record:
DOI: https://doi.org/10.1038/s41598-025-29646-3








