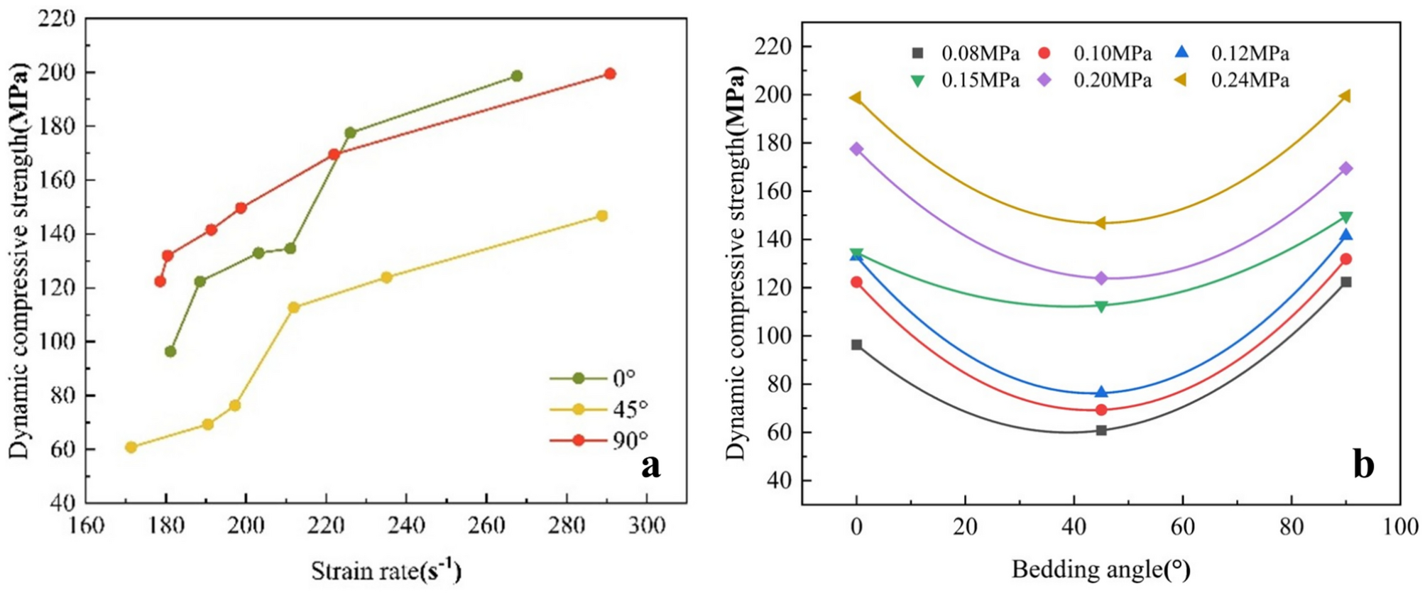
Fig. 5

(a) Strain rate dependence of the dynamic compressive strength of shale; (b) Variation in dynamic compressive strength across different bedding angles.

(a) Strain rate dependence of the dynamic compressive strength of shale; (b) Variation in dynamic compressive strength across different bedding angles.