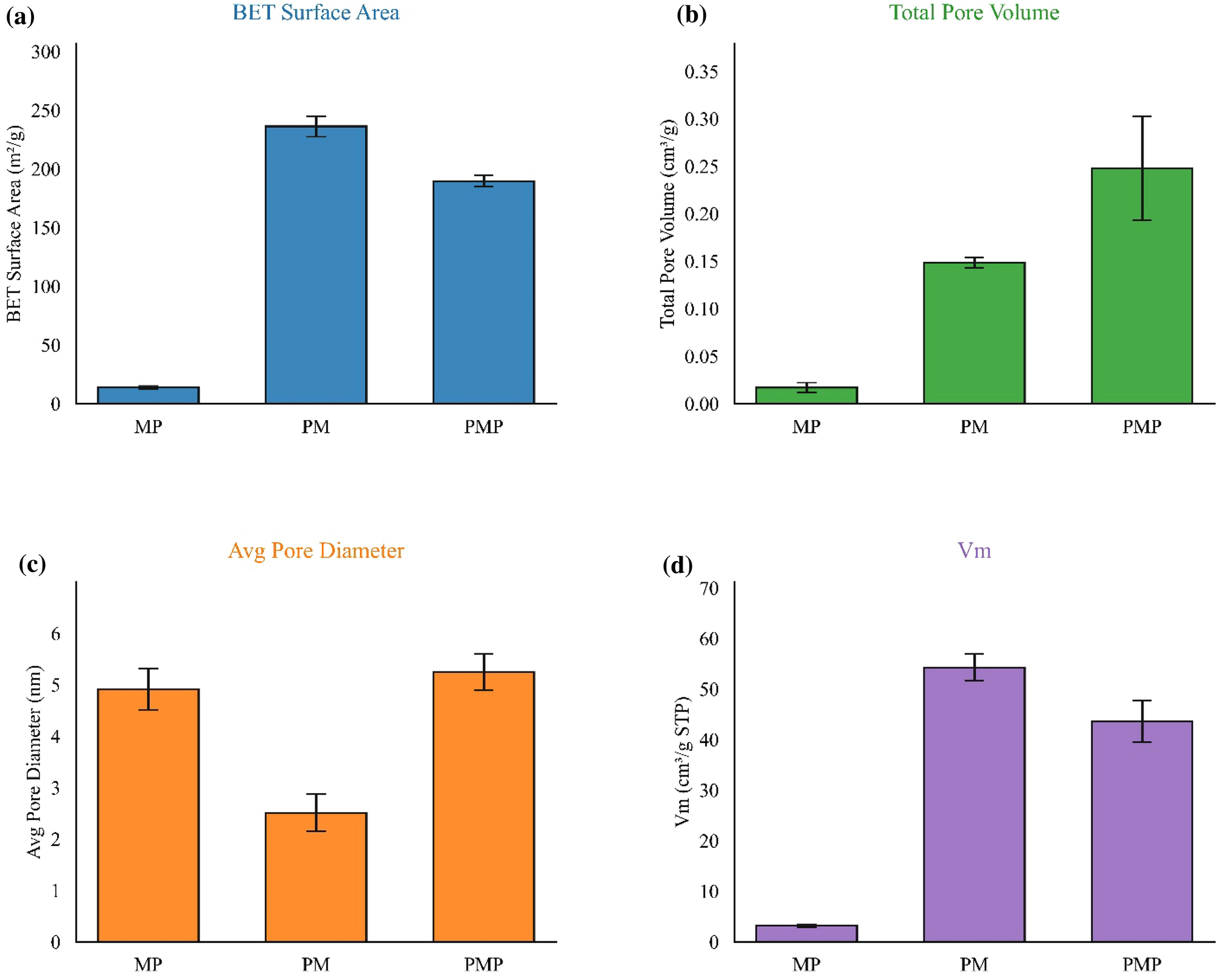
Fig. 5

Comparative column charts of (a) monolayer volume (Vm), (b) BET surface area, (c) total pore volume, and (d) average pore diameter for the biochars.

Comparative column charts of (a) monolayer volume (Vm), (b) BET surface area, (c) total pore volume, and (d) average pore diameter for the biochars.