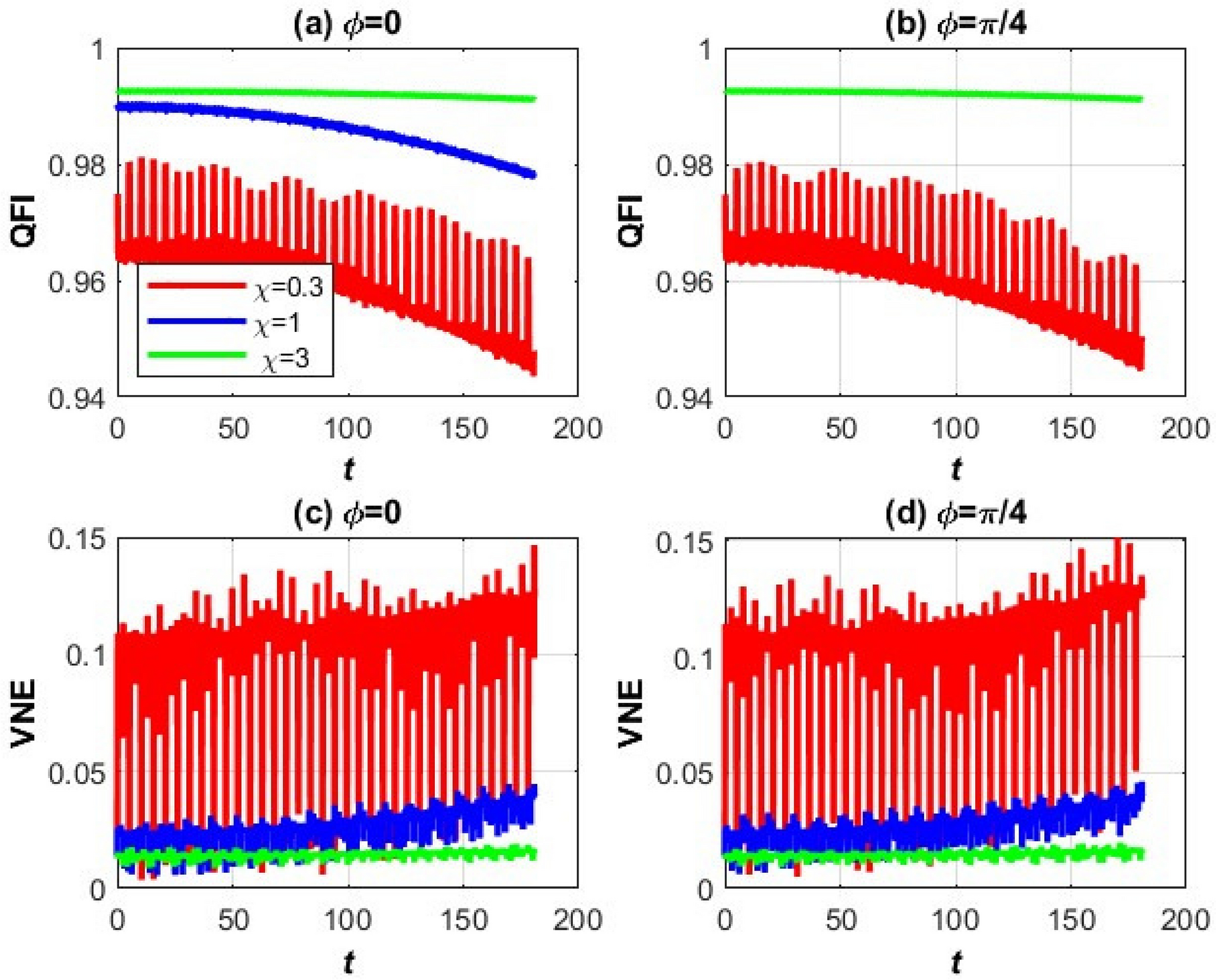
Fig. 2

The QFI (upper portion) and VNE (lower portion) vs time, \(\alpha =6,\) \(\beta =0.3\) with \(\chi =0.3, 1, 3\) and \(\phi =0\) (left side) and \(\frac{\pi }{4}\) (right side),\(p=0\).

The QFI (upper portion) and VNE (lower portion) vs time, \(\alpha =6,\) \(\beta =0.3\) with \(\chi =0.3, 1, 3\) and \(\phi =0\) (left side) and \(\frac{\pi }{4}\) (right side),\(p=0\).