Fig. 6
From: Engineering attributes of coir fibre ash incorporated sustainable lime concrete

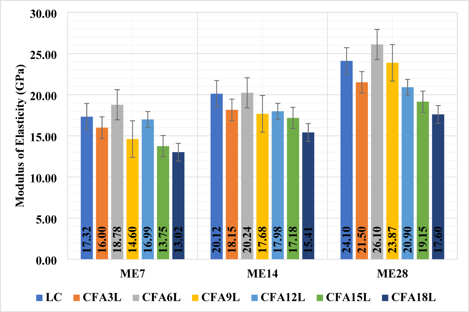
MOE variation in lime concrete with the addition of CFA.
From: Engineering attributes of coir fibre ash incorporated sustainable lime concrete

MOE variation in lime concrete with the addition of CFA.