Abstract
Mycoplasma pneumoniae (M. pneumoniae) is a significant pathogen causing community-acquired pneumonia in children aged 5 years and older. While numerous studies have demonstrated that M. pneumoniae infection can impair lung function, the dynamic changes in lung function following M. pneumoniae infection remain poorly understood. This study aimed to observe the dynamic changes in lung function after M. pneumoniae infection in children. Children with M. pneumoniae infection and healthy volunteers were recruited from Nanjing Gaochun People’s Hospital between February 2022 and January 2023. The M. pneumoniae-infected children were followed up for one year, with lung function assessed at admission, discharge, and at the 4th, 8th, and 12th months post-discharge. M. pneumoniae infection was found to be associated with lung function, which gradually recovered over time. Several factors were found to be associated with lung function, including lymphocyte count, albumin, prealbumin, carbon dioxide levels, A/G ratio, triglycerides, and apolipoprotein B. M. pneumoniae infection is indeed associated with pulmonary function in children.
Introduction
M. pneumoniae pneumonia is a notable cause of community-acquired pneumonia (CAP) in children, contributing to 10% to 40% of pediatric hospitalizations for CAP1. M. pneumoniae, the causative agent of M. pneumoniae pneumonia, is the smallest pathogenic microorganism that can live independently in cell-free culture media, positioned between bacteria and viruses. M. pneumoniae pneumonia refers to the pulmonary inflammation caused by M. pneumoniae infection, which can involve the bronchi, bronchioles, alveoli, and pulmonary interstitium. The condition may progress to severe M. pneumoniae pneumonia (SMPP)2. Some patients may progress even with active treatment, which is known as refractory M. pneumoniae pneumonia3.
The incidence of M. pneumoniae pneumonia is increasing annually, particularly among children aged 5 to 15 years4, with a notable trend toward younger age groups5. M. pneumoniae infections tend to occur in periodic outbreaks, with infection rates reaching 30% to 50% during epidemic years6. In 2023, during the Mycoplasma pneumoniae pandemic, data from the Shanghai Hospital Healthcare Quality Assessment and Improvement Platform revealed that M. pneumoniae pneumonia cases in Shanghai began to rise in June and July 2023, peaking in October and November7. In the eastern region of the country, analysis of over 30,000 PCR specimens and bronchoscopies showed a 50% positive rate for M. pneumoniae since July 20238.Pathogen surveillance revealed that, although multiple pathogens were detected, M. pneumoniae infection was the predominant one9. According to data from Beijing, in the fall and winter of 2023, the positive detection rate of M. pneumoniae was 25.4% in outpatients, 48.4% in hospitalized children, and as high as 61.1% in children with respiratory symptoms. In respiratory wards, over 50% of the hospitalized children were diagnosed with M. pneumoniae pneumonia10.
Multiple studies have shown that infection with M. pneumoniae may lead to a decline in lung function11, 12, 13, and M. pneumoniae is closely related to wheezing in children and even the onset of asthma14, 15, 16. Infection is the most important trigger for worsening asthma. Rhinovirus (RV) is a common cold virus and the most prevalent pathogen constantly spreading in the community. Respiratory syncytial virus (RSV) has long been considered the cause of lower respiratory tract infections in infants. Wheezing caused by both of these viruses is associated with subsequent asthma17. Human parainfluenza virus, coronavirus, influenza virus, adenovirus, bocavirus, and human metapneumovirus (hMPV) have also been detected in children with asthma. In addition to these viruses, bacteria such as Haemophilus influenzae, Streptococcus pneumoniae, Moraxella catarrhalis, M. pneumoniae, and Chlamydia pneumoniae, as well as parasites, have also been implicated18, 19. In spite of this, M. pneumoniae is one of the most studied pathogens during asthma attacks or exacerbation of wheezing20, 21, 22, 23.
Although multiple studies have shown that M. pneumoniae pneumonia has an impact on lung function, there is currently limited and incomplete research on the characteristics of lung function during the recovery period after M. pneumoniae infection. In 1984, a study indicated that lung function impairment could still be observed three years after the initial infection with M. pneumoniae24. A retrospective clinical cohort study in 2008 showed that M. pneumoniae infection in children aged 1/2 to 5 years old does not have long-term effects on lung function and bronchial hyperresponsiveness for 2–3 years after infection25.
Therefore, we have designed this study to observe the impact of M. pneumoniae pneumonia on lung function and the dynamic effects of infection on lung function for up to one year; this is the advantage of this study. We collected lung function data on admission, discharge, and at 4, 8, and 12 months post- discharge. The results showed that M. pneumoniae infection is indeed associated with pulmonary function in children. Meanwhile, we identified several admission blood parameters—lymphocyte percentage, albumin, LDH, creatinine, calcium, sodium, uric acid, and total CO₂—that may influence pulmonary function, providing a useful clinical reference for future studies.
Children who were enrolled at Nanjing Gaochun People’s Hospital from February 2022 to January 2023 were included in this study. The study population comprised 61 volunteers with pneumonia infected with M. pneumoniae and 40 healthy volunteers (Figure 1). There were no significant differences between the two groups in terms of gender, age, or other demographic characteristics (P >0.05). The study was approved by the research ethics committee of our institution (Approval number: 2022-003-01).
Inclusion and exclusion criteria
The following inclusion criteria were applied: M. pneumoniae pneumonia Inclusion Criteria: (1)Patients with acute respiratory tract infection(cough, fever, or other symptoms) within 2 weeks of onset. (2)Positive Mycoplasma pneumoniae PCR test in sputum samples and Positive Mycoplasma pneumoniae IgM antibody test in serum. (3)Pneumonia confirmed by chest X-rays or CT scans, showing patchy infiltrates, segmental or pulmonary consolidation, atelectasis, and pleural effusion. (4)Age between 6 and 14 years.
Healthy Volunteers Inclusion Criteria: (1)Age between 6 and 14 years. (2)No fever, respiratory infection, or wheezing in the past 2 weeks, and no history of asthma. (3)No other diseases that may affect lung function.
Patients meeting the following criteria were excluded: (1)Patients with pneumonia who tested positive for respiratory virus by PCR, had positive sputum cultures, or had positive PPD results. (2)Patients with pneumothorax, pulmonary bullae, otitis media, tympanic membrane perforation, hemoptysis within the past month, or a hernia prone to incarceration. (3)Patients who suffered from pneumonia again after discharge, had underlying diseases (such as asthma, primary immunodeficiency, congenital heart disease, congenital airway and lung developmental abnormalities, etc.), or were diagnosed with tuberculosis or tuberculosis infection. (4)Uncooperative or psychotic children.
Definitions related to Mycoplasma pneumoniae pneumonia
The M. pneumoniae pneumonia group was stratified into categories of severe versus non-severe, consolidation versus non-consolidation, and refractory versus non-refractory, depending on their condition at hospital admission and radiological features.
Severe M. pneumoniae pneumonia (SMPP): Meeting any one of the following criteria: (1) persistent high fever (above 39 °C) ≥ 5 days or fever ≥ 7 days, with no downward trend of heat peak; (2) suffering from wheezing, shortness of breath, dyspnea, chest pain, hemoptysis, etc.; (3) experiencing extrapulmonary complications but the criteria for critical illness are not met; (4) in a resting state, inhaled air results in a pulse oxygen level ≤ 0.93; (5) presenting with one of the following imaging manifestations: (i) a single lung lobe ≥ 2/3 is involved with uniform high-density consolidation or two or more lung lobes have high-density consolidation (regardless of the size of the involved area), which can be accompanied by moderate to large pleural effusion and can also be accompanied by localized bronchiolitis; (ii) single lung diffuse or bilateral lobar bronchiolitis ≥ 4/5, which can be combined with bronchitis, and there is the formation of mucus plug leading to atelectasis; (6) the clinical symptoms worsen progressively, and the imaging shows that the range of lesions progressed more than 50% within 24–48 h; (7) C-reactive protein (CRP), lactate dehydrogenase (LDH), and/or D-dimer levels increase significantly.
Refractory M. pneumoniae pneumonia (RMPP): M. pneumoniae pneumonia patients who, after receiving standard macrolide antibiotic treatment for 7 days or more, still have persistent fever, worsening clinical symptoms and radiological findings on pulmonary imaging, and develop extrapulmonary complications.
Pulmonary consolidation in M. pneumoniae pneumonia: X-ray or computed tomography (CT) findings reveal large, uniform, high-density infiltrative consolidation shadows in the lung segments or lobes.
Detection methods for M. pneumoniae etiology
Chemiluminescence was used to detect M. pneumoniae antibodies (IgM and IgG), and polymerase chain reaction (PCR) was performed on sputum specimens to determine the presence of Mycoplasma infection within 24 h of admission.
Instruments and reagents
Sterile sputum cups were purchased from Zhejiang Gongdong Medical Technology Co., Ltd. the M. pneumoniae nucleic acid detection kits were provided by Daan Gene Co., Ltd. of Sun Yat-sen University, and the M. pneumoniae serological test (lgG/lgM) detection kits were purchased from Shenzhen Yahuilong Biotechnology Co., Ltd. The main instruments used include the real-time fluorescent quantitative PCR instrument (model ABI 7500) produced by Thermo Fisher Scientific (Shanghai) Instruments Co., Ltd., the automatic nucleic acid extractor (model GeneRotex96) produced by Xi’an Tianlong Technology Co., Ltd., and the Yehoon chemiluminescence analyzer (model iFlash 3000) produced by Yehoon Biotechnology Co., Ltd.
Specimen collection
Sputum specimen collection: Since children often cannot cough up sputum on their own, sputum specimens can be collected using a negative pressure sputum aspirator and then placed into a sterile sputum cup for examination. Plasma specimen collection: 2 mL of venous blood can be collected through venipuncture and injected into the M. pneumoniae serological test (lgG/lgM) kit for testing.
The specific detection steps
Sputum M. pneumoniae-DNA detection
Four times the volume of normal saline compared to the sputum volume was added to the sputum specimen, which was then thoroughly mixed by shaking or by repeated aspiration and dispensing using a 1 mL pipette tip. The mixture was placed in a refrigerator at 4℃ overnight to allow for complete liquefaction of the sputum. After that, 1 to 1.5 mL of the liquefied sputum was transferred to a centrifuge tube and centrifuged at 12,000 rpm for 5 min. The supernatant was discarded, and 50 µL of DNA extraction solution was added to the sediment, which was thoroughly mixed. The mixture was then treated at a constant temperature of 100℃ for 10 min, followed by centrifugation at 12,000 rpm for 5 min. 2 µL of the supernatant was taken for PCR amplification detection. During the experiment, negative and weak positive quality control samples, blanks, and positive quantitative reference samples (10⁵, 10⁶, 10⁷, 10⁸ gene copies/mL) were all set up. All operations were strictly carried out in accordance with the instructions.
M. pneumoniae serological test (lgGlg/M) detection
Detection was performed using direct chemiluminescence technology (this is an automated instrument-based detection, including the first incubation, washing, the second incubation, re-washing, excitation, and reading). The concentration of IgG was determined through a calibration curve, while the IgM analyzer automatically compared the relative luminescence intensity (RLU) generated by the sample with the cutoff value calculated from the M. pneumoniae IgM calibrator. All operations were strictly performed in accordance with the instructions.
Collection of pulmonary function data
Pulmonary function tests were conducted using the Japanese MINATO pulmonary function instrument. The participant should sit upright with the head kept in a natural horizontal position, attach a nose clip, and bite the mouthpiece firmly without allowing any air leakage. Avoid tight belts, chest straps, or clothing. Before the test, allow the participant to practice 1–2 times. During the measurement, the participant is required to complete the test at least 3 times, with the best 2 results having an error of less than 5%. The best value should be recorded as the parameter.
Lung function tests were performed on the first day after admission, the day of discharge, and at 4, 8, and 12 months post-discharge. For the healthy group, data were collected only on the first day of admission. The following lung function indices were monitored and compared between the two groups: forced expiratory volume in 1 s (FEV1), forced vital capacity (FVC), peak expiratory flow (PEF), Forced Expiratory Flow at 25% of vital capacity (FEF25), Forced Expiratory Flow at 50% of vital capacity (FEF50), and Forced Expiratory Flow at 75% of vital capacity (FEF75).
We used the Zapletal equation to calculate the predicted values, which is mainly used to predict pulmonary function parameters in children, including FVC, FEV1, and PEF, etc. These formulas usually calculate the predicted values based on age, gender, and height26.
According to the guidelines of the European Respiratory Society/American Thoracic Society and the domestic guidelines for pediatric lung function27, 28, FVC, FEV1, and PEF greater than 80% of the predicted value are considered normal. An FEV1/FVC ratio of 80% or above is also considered normal. Additionally, a maximal mid-expiratory flow (MMEF), FEF50, and FEF75 greater than 65% of the predicted value are deemed normal. In this study, we selected some of these values for documentation: FVC, FEV1, PEF, FEF25, FEF50, and FEF75.
Specifically, the classification is as follows29: Forced vital capacity (FVC), forced expiratory volume in 1 s (FEV1), and peak expiratory flow (PEF) ≥ 80% of the predicted value were considered normal. An FEV1/FVC ratio >80% was also considered normal. Mid-expiratory flow (MMEF), forced expiratory flow at 50% of vital capacity (FEF50), and forced expiratory flow at 75% of vital capacity (FEF75) ≥ 65% of the predicted value were considered normal. An FEV1/FVC ratio < 0.80 was defined as large airway disorder (LAD). When two or more of FEF25, FEF50, and FEF75 were below 65% of the predicted value, the patient was considered to have small airway dysfunction (SAD). Patients with LAD and/or SAD were defined as having airway disorder (AD). In this study, the pulmonary function values presented were ratios of the measured values to the predicted values.
Statistical methods
Statistical analyses were conducted using SPSS software (version 27). Descriptive statistics were performed on the clinical data of the study population and are expressed as mean ± standard deviation (SD) for continuous variables and percentages for categorical variables. Normally distributed data were presented as mean ± standard deviation (SD) and analyzed using parametric tests; non-normally distributed data were expressed as median (interquartile range, IQR) and analyzed with non-parametric methods. One-way repeated measures ANOVA was used to assess the effect of time on pulmonary function indices. Independent-sample t-tests were performed for continuous variables that followed a normal distribution. Linear regression models were used for correlation analysis, and χ² tests were conducted for categorical data. GraphPad Prism 8 was used to visualize variability between multiple groups, and R software (version 4.4.0, corrplot 0.95, URL link: https://cran.r-project.org/mirrors.html) was employed to visualize the correlation between lung function indices and blood indices at admission. A p-value of less than 0.05 was considered statistically significant.
Results
Relevant data of the two groups
The following table shows the relevant data (Table 1), including gender, age of the two groups, and clinical symptoms, radiography, routine blood test + CRP, blood biochemistryof the M. pneumoniae pneumonia group within 24 h of admission. It indicates no statistically significant difference in gender and age distribution. Additionally, in the M. pneumoniae pneumonia group, it has a very high percentage of fever (91.8%), and 19.67% of individuals were suffering from pulmonary consolidation.
Lung function after M. pneumoniae pneumonia infection tends to recover gradually within one year
Compared with the healthy group, children with M. pneumoniae pneumonia exhibited a significant reduction in nearly all measured pulmonary-function parameters (Supplementary Fig. 1). Nevertheless, FVC, FEV1, PEFR, FEF25, FEF50 and FEF75 improved progressively over the follow-up period. The following table (Table 2) shows that the changes in pulmonary function indices over time are statistically significant (P < 0.05), indicating that time had a significant impact on pulmonary function. To visually represent these comparisons more intuitively, we created violin plots in the figure below (Fig. 2).
Data are presented as Mean ± SD. The analysis revealed that the differences in pulmonary function values across different time points were all statistically significant (P < 0.05). Furthermore, in the pairwise comparisons of pulmonary function indices at different time points, the mean differences compared with the baseline values at admission progressively increased. The vast majority of the results were statistically significant between every two time points(P < 0.05).
Relationship between each lung function index and time in the M. pneumoniae pneumonia group. Violin plots showing the changes in different pulmonary function indicators over time. The indicators in the plots include: FVC, FEV1, PEF, FEF25, FEF50, and FEF75. Median and quartiles are indicated by dashed lines: the median (large dashes) and the interquartile range (small dashes). The y-axis represents the ratio of the best measured values of pulmonary ventilation function parameters to the predicted values using the Zapletal equation. The symbol “⨅” indicates a statistically significant difference between the two groups, with (P < 0.05).
Fig2. Relationship between each lung function index and time in the M. pneumoniae pneumonia group. Violin plots showing the changes in different pulmonary function indicators over time. The indicators in the plots include: FVC, FEV1, PEF, FEF25, FEF50, and FEF75. Median and quartiles are indicated by dashed lines: the median (large dashes) and the interquartile range (small dashes). The y-axis represents the ratio of the best measured values of pulmonary ventilation function parameters to the predicted values using the Zapletal equation.
The symbol “⨅” indicates a statistically significant difference between the two groups, with P < 0.05.
Comparison of lung function indices between different groups
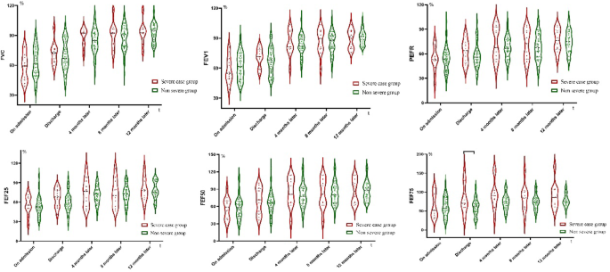
The M. pneumoniae pneumonia group was stratified into categories of severe versus non-severe, consolidation versus non-consolidation, and refractory versus non-refractory, depending on their condition at hospital admission and radiological features. Notably, significant differences in lung function indices were observed only among a few subgroups(as shown in Figs. 3, 4, 5). As depicted in Figs. 3-5, lung function parameters showed a recovery trend over time. This observation indicates that the disparities in lung function indices were not statistically significant across the groups, including FVC, FEV1, PEF, FEF25, FEF50, and FEF75. Consequently, this finding suggests that the extent of lung function impairment following M. pneumoniae infection is not contingent upon the severity of the disease.
Comparative analysis of lung function between severe and non-severe groups over time. Violin plots showing the changes in different pulmonary function indicators over time.The indicators in the plots include: FVC, FEV1, PEF, FEF25, FEF50, and FEF75. Median and quartiles are indicated by dashed lines: the median (large dashes) and the interquartile range (small dashes).
The symbol “⨅” indicates a statistically significant difference between the two groups, with P < 0.05.
Comparative analysis of lung function between the consolidation and non-consolidation groups over time. Violin plots showing the changes in different pulmonary function indicators over time.The indicators in the plots include: FVC, FEV1, PEF, FEF25, FEF50, and FEF75. Median and quartiles are indicated by dashed lines: the median (large dashes) and the interquartile range (small dashes).
The symbol “⨅” indicates a statistically significant difference between the two groups, with P < 0.05.
Comparative analysis of lung function between refractory and non-refractory groups over time. Violin plots showing the changes in different pulmonary function indicators over time.The indicators in the plots include: FVC, FEV1, PEF, FEF25, FEF50, and FEF75. Median and quartiles are indicated by dashed lines: the median (large dashes) and the interquartile range (small dashes).
The symbol “⨅” indicates a statistically significant difference between the two groups, with P < 0.05.
Lung function at each time period correlates with specific blood indices on admission
To visualize the relationships between lung function and blood indicators at admission over five distinct time periods, we created the heatmaps shown below (Fig. 6). The color in the heatmaps represents the size of the correlation coefficients: the deeper the color, the stronger the relationship between the two variables. Specifically, blue indicates a positive correlation between the variables, while red indicates a negative correlation. Figure 6 demonstrates that lung function on admission is correlated with lymphocyte count, albumin, globulin, prealbumin, lactate dehydrogenase, carbon dioxide, blood sodium, blood calcium, blood glucose, A/G ratio, triglycerides, low-density cholesterol, and apolipoprotein B. Specifically, lung function on admission was positively correlated with lymphocyte count, albumin, prealbumin, and A/G ratio (P < 0.05), and negatively correlated with carbon dioxide, triglycerides, and apolipoprotein B (P < 0.05). These results highlight several potentially significant correlations that merit further investigation.
Intercorrelations among various clinical and laboratory parameters within our study cohort. Heatmap plots demonstrating a complex pattern of correlations among the clinical parameters. The color gradient represents the strength of correlation, with deeper shades of red indicating stronger negative correlations and deeper shades of blue indicating stronger positive correlations. When p < 0.05, “*” was marked in the triangle: ***p < 0.001, ** 0.001 ≤ p < 0.01, and * 0.01 ≤ p < 0.05.
Discussion
In this study, we conducted the dynamic monitoring of lung function following M. Pneumoniae infection and observed that M. pneumoniae infection significantly impairs lung function in children. Specifically, during the early stages of M. pneumoniae infection, lung function was markedly reduced compared to that of healthy children. However, these indices gradually improved over time in the M. pneumoniae pneumonia group.
Additionally, when the M. pneumoniae pneumonia group was categorized based on the severity of the condition at the time of hospitalization (severe vs. non-severe, consolidation vs. non-consolidation, and refractory vs. non-refractory), no significant differences in lung function indices (FVC, FEV1, PEFR, FEF25, FEF50, FEF75) were found between the groups. All indices showed a trend toward recovery over time, suggesting that the degree of lung function impairment after M. pneumoniae infection is independent of the severity of the disease.
As is well known, certain blood indicators are associated with the severity of pneumonia, such as CRP, LDH, WBC, NEUT, and D-dimer. Previous clinical studies30, 31, 32 have demonstrated that children with M. pneumoniae pneumonia and decreased peripheral blood lymphocyte counts exhibit more severe clinical manifestations, higher rates of pulmonary consolidation, and greater immune damage due to compromised cellular immune function. Meanwhile, children with M. pneumoniae pneumonia and abnormally low serum albumin levels are at higher risk of airway mucus hypersecretion33. Additionally, low serum albumin concentration has been associated with decreased survival in hospitalized pneumonia patients34. Triglycerides, which are products of blood lipid metabolism, have been shown to be significantly higher in patients with more severe pneumonia, resulting in prolonged hospitalization compared to those with milder pneumonia35, 36.Therefore, we investigated whether these indicators are also correlated with lung function. In the present study, we found that lung function in the M. pneumoniae pneumonia group at each stage was correlated with certain blood indices at admission. For example, lung function at admission was positively correlated with lymphocyte count, albumin, prealbumin, and A/G ratio, and negatively correlated with carbon dioxide, triglycerides, and apolipoprotein B; these observations require prospective validation.
Our results also showed that lung function indices in the M. pneumoniae pneumonia group were lower than those in the healthy group. This suggests that M. pneumoniae infection may damage the functional structure of children’s lungs through various mechanisms, thereby affecting lung function. Although several possible mechanisms have been proposedm, the underlying pathophysiological mechanisms of M. pneumoniae infection in the onset and exacerbation of childhood asthma are not yet fully understood. For example, bacterial cell components or virulence factors produced by M. pneumoniae infection proliferate in the host, enhancing the induction of pro-inflammatory cytokines, triggering lymphocyte activation, altering immune parameters, and leading to airway inflammation, which may trigger or exacerbate asthma37, 38, 39, 40.
However, this study has certain limitations. A total of 101 participants were enrolled, which may introduce data deviation due to the small sample size, single-center design, and limited follow-up period of only 1 year. Therefore, multicenter and longer-term studies are needed to further elucidate the relationship between M. pneumoniae infection and asthma.
In conclusion, M. pneumoniae infection is associated with impaired pulmonary function in children, which gradually improves over time.This study provides clinical data on the long-term effects of M. pneumoniae infection on children’s lung function.
Data availability
The raw data is available upon reasonable request from the corresponding authors.
References
Respiratory Group of the Chinese Medical Association Science Branch, Editorial Committee of Chinese Journal of Pediatrics. Guidelines for the management of community-acquired pneumonia in children (revised in 2013) (Part 1). Chin. J. Pediatr. Chin. Med. J. Co. Ltd. 51 (10), 745–752 (2013).
Respiratory Group of the Chinese Medical Association Science Branch, Editorial Committee of Chinese Journal of Pediatrics. Guidelines for the management of community-acquired pneumonia in children (revised in 2013) (Part 2). Chin. J. Pediatr. Chin. Med. J. Co. Ltd. 51 (11), 856–862 (2013).
Chinese Medical Association Pediatrics Branch Respiratory Group, National Clinical Research Center for Respiratory System Diseases, Editorial Committee of Chinese Journal of Pediatrics. Evidence-based guidelines for the diagnosis and treatment of Mycoplasma pneumoniae pneumonia in children (2023). Chin. J. Pediatr. 62 (12), 1137–1144. https://doi.org/10.3760/cma.j.cn112140-20240722-00503 (2024).
Eibach, D. et al. Increased detection of Mycoplasma pneumoniae infection in children, Lyon, France, 2010 to 2011. Euro surveill. 17(8), 201–204 (2012).
Jain, S. et al. Community-Acquired pneumonia requiring hospitalization among U.S. Children. N. Engl. J. Med. 372 (9), 835–845 (2015).
Atkinson, T. P., Balish, M. F. & Waites, K. B. Epidemiology, clinical manifestations, pathogenesis and laboratory detection of Mycoplasma pneumoniae infections: Fig. 1. FEMS Microbiol. Rev. 32 (6), 956–973 (2008).
Zhang, X. B. et al. Current Mycoplasma pneumoniae epidemic among children in shanghai: unusual pneumonia caused by usual pathogen. World J. Pediatr. 20 (1), 5–10. https://doi.org/10.1007/s12519-023-00793-9 (2024).
Li, H., Li, S., Yang, H., Chen, Z. & Zhou, Z. Resurgence of Mycoplasma pneumonia by macrolide-resistant epidemic clones in China. Lancet Microbe. 5 (6), e515. https://doi.org/10.1016/S2666-5247(23)00405-6 (2024).
World Health Organization. WHO statement on reported clusters of respiratory illness in children in northern China. 2023[EB/OL]. (2023).
Yan, C. et al. Current status of Mycoplasma pneumoniae infection in China. World J. Pediatr. 20 (1), 1–4. https://doi.org/10.1007/s12519-023-00783-x (2024).
Liu, F. J., Gong, C. H., Qin, J. J., Fu, Z. & Liu, S. Changes in pulmonary function in infants and young children with Mycoplasma pneumoniae pneumonia. Zhongguo Dang Dai Er Ke Za Zhi 22(2), 118–123 (2020).
Zhao, Y. T. Research progress on common long-term complications of Mycoplasma pneumoniae pneumonia. Int. J. Pediatr. 46(1), 36–39 (2019).
Watanabe, H., Uruma, T., Nakamura, H. & Aoshiba, K. The role of Mycoplasma pneumoniae infection in the initial onset and exacerbations of asthma. Allergy Asthma Proc. 35 (3), 204–210. https://doi.org/10.2500/aap.2014.35.3742 (2014).
Yeh, J-J. et al. Incident asthma and Mycoplasma pneumoniae: A nationwide cohort study. J. Allergy Clin. Immunol. 137 (4), 1017–1023e6 (2016).
Nisar, N. et al. Mycoplasma pneumoniae and its role in asthma. Postgrad. Med. J. 83 (976), 100–104 (2007).
Biscardi, S. et al. Mycoplasma pneumoniae and asthma in children. Clin. Infect. Dis. 38 (10), 1341–1346 (2004).
Jartti, T., Bønnelykke, K., Elenius, V. & Feleszko, W. Role of viruses in asthma. Semin Immunopathol. 42, 61–74 (2020).
Darvish, S., Mohammadzadeh, I., Mehravar, S., Spotin, A. & Rostami, A. The association between seropositivity to human toxocariasis and childhood asthma in Northern iran: a case-control study. Allergol. Immunopathol. 49, 25–31 (2021).
Makrinioti, H. et al. The role of respiratory syncytial virus- and rhinovirus-induced bronchiolitis in recurrent wheeze and asthma-A systematic review and meta-analysis. Pediatr. Allergy Immunol. 33 (3), e13741. https://doi.org/10.1111/pai.13741 (2022).
Ha, E. K. et al. Age-related effects of Mycoplasma pneumoniae infection and subsequent asthma exacerbation in children. Pediatr. Pulmonol. 59 (6), 1569–1577. https://doi.org/10.1002/ppul.26907 (2024).
Liu, X., Wang, Y., Chen, C. & Liu, K. Mycoplasma pneumoniae infection and risk of childhood asthma: A systematic review and meta-analysis. Microb. Pathog. 155, 104893. https://doi.org/10.1016/j.micpath.2021.104893 (2021).
Zhang, H. et al. Changes of airway reactivity after Mycoplasma pneumoniae infection in children: A study for early precautions against pediatric asthma. Iran. J. Allergy Asthma Immunol. 14 (5), 476–482 (2015).
Li, W. et al. Correlation study of cough variant asthma and Mycoplasma pneumonia infection in children. Pak J. Pharm. Sci. 30 (3(Special)), 1099–1102 (2017).
Sabato, A. R., Martin, A. J., Marmion, B. P., Kok, T. W. & Cooper, D. M. Mycoplasma pneumoniae: acute illness, antibiotics, and subsequent pulmonary function. Arch. Dis. Child. 59 (11), 1034–1037 (1984).
Kjaer, B. B. et al. Lung function and bronchial responsiveness after Mycoplasma pneumoniae infection in early childhood. Pediatr. Pulmonol. 43(6), 567–575 (2008).
Jian, W. et al. Reference values for spirometry in Chinese aged 4–80 years. J. Thorac. Dis. 9 (11), 4538–4549. https://doi.org/10.21037/jtd.2017.10.110 (2017).
Global Initiative for Asthma. Global strategy for asthma management and prevention(2023 update)[EB/OL].(2023-07-06)[2024-03-https://ginasthma.org/wp-content/uploads/2023/07/GINA-2023-Full-report-23_07_06-WMS.pdf
Chinese Medical Association Pediatrics Branch Respiratory Group Pulmonary Function Collaboration Group, Editorial Board of Chinese Journal of Practical Pediatrics and Clinical Medicine. Series of guidelines for pediatric pulmonary function (II): lung volumes and ventilatory function. Chin. J. Practical Pediatr. Clin. Med. 31 (10), 744–750. https://doi.org/10.3760/cma.j.issn.2095-428X.2016.10.006 (2016).
Chinese Medical Association Pediatrics Branch Respiratory Group Pulmonary Function Collaboration Group. Editorial board of Chinese journal of practical pediatrics and clinical Medicine. Expert consensus on common clinical application questions of pediatric pulmonary function testing. Chin. J. Practical Pediatr. Clin. Med. 39 (8), 566–575. https://doi.org/10.3760/cma.j.cn101070-20240519-00309 (2024).
Zhang, Z. et al. Cell damage and neutrophils promote the infection of Mycoplasma pneumoniae and inflammatory response. Microb. Pathog. 169, 105647 (2022).
Ling, Y., Ning, J. & Xu, Y. Explore the predictive value of peripheral blood cell parameters in refractory Mycoplasma pneumoniae pneumonia in children over 6 years old. Front. Pediatr. 9, 659677 (2021).
Peng, L. et al. Clinical features of children with Mycoplasma pneumoniae pneumonia and peripheral lymphocytopenia. Zhongguo Dang Dai Er Ke Za Zhi. 23 (1), 74–77 (2021).
Cai, J. Y. et al. Clinical characteristics and risk factors for bronchoscopic airway mucus hypersecretion in childhood pneumonia infected by different pathogens. Zhonghua Er Ke Za Zhi. 61 (8), 719–725 (2023).
Lee, J. H. et al. Albumin and C-reactive protein have prognostic significance in patients with community-acquired pneumonia. J. Crit. Care. 26 (3), 287–294 (2011).
Saballs, M. et al. Lipidomic and metabolomic changes in community-acquired and COVID-19 pneumonia. J. Lipid Res. 65 (9), 100622 (2024).
Rodriguez Reguero, J. J. et al. Variation in plasma lipid and lipoprotein concentrations in community-acquired pneumonia a six-month prospective study. Eur. J. Clin. Chem. Clin. Biochem. 34 (3), 245–249. https://doi.org/10.1515/cclm.1996.34.3.245 (1996).
Yano, T., Ichikawa, Y., Komatu, S., Arai, S. & Oizumi, K. Association of Mycoplasma pneumoniae antigen with initial onset of bronchial asthma. Am. J. Respir Crit. Care Med. 149 (5), 1348–1353. https://doi.org/10.1164/ajrccm.149.5.8173777 (1994).
Yang, J., Hooper, W. C., Phillips, D. J. & Talkington, D. F. Regulation of Proinflammatory cytokines in human lung epithelial cells infected with Mycoplasma pneumoniae. Infect. Immun. 70 (7), 3649–3655. https://doi.org/10.1128/IAI.70.7.3649-3655.2002 (2002).
Wood, P. R. et al. Mycoplasma pneumoniae in children with acute and refractory asthma. Ann. Allergy Asthma Immunol. 110 (5), 328–334 (2013).
Zhu, Y. et al. Immune response plays a role in Mycoplasma pneumoniae pneumonia. Front. Immunol. 14, 1189647. https://doi.org/10.3389/fimmu.2023.1189647 (2023).
Acknowledgements
The authors thank all the nursing staff in our department for helping to collect specimens and assisting patients in completing pulmonary function tests, which contributed greatly to the completion of this study.
Funding
This study was supported by the Natural Science Foundation of Jiangsu Health Vocational College (Grant Number: JKCY 202412) for the project titled “Study on the Value of Lung Ultrasound Scoring Combined with Pulmonary Function Test in the Early Diagnosis of Refractory M. pneumoniae Pneumonia in Children.”
Author information
Authors and Affiliations
Contributions
FL, QQR contributed to the study design and were responsible for the whole work. PL contributed to data acquisition. PL, ANC, and XYJ analyzed data. PL wrote the manuscript and all authors read and approved the final manuscript.
Corresponding authors
Ethics declarations
Competing interests
The authors declare no competing interests.
Ethics and informed consent
This study was approved by the Institutional Ethics Committee of Nanjing Gaochun People’s Hospital (approval no. 2022-003-01). We confirm that all methods were performed in accordance with the relevant guidelines and regulations. All procedures involving human participants were conducted in accordance with the Declaration of Helsinki (as revised in 2013), and written informed consent was obtained from a parent or legal guardian of every enrolled child.
Additional information
Publisher’s note
Springer Nature remains neutral with regard to jurisdictional claims in published maps and institutional affiliations.
Supplementary Information
Below is the link to the electronic supplementary material.
Rights and permissions
Open Access This article is licensed under a Creative Commons Attribution-NonCommercial-NoDerivatives 4.0 International License, which permits any non-commercial use, sharing, distribution and reproduction in any medium or format, as long as you give appropriate credit to the original author(s) and the source, provide a link to the Creative Commons licence, and indicate if you modified the licensed material. You do not have permission under this licence to share adapted material derived from this article or parts of it. The images or other third party material in this article are included in the article’s Creative Commons licence, unless indicated otherwise in a credit line to the material. If material is not included in the article’s Creative Commons licence and your intended use is not permitted by statutory regulation or exceeds the permitted use, you will need to obtain permission directly from the copyright holder. To view a copy of this licence, visit http://creativecommons.org/licenses/by-nc-nd/4.0/.
About this article
Cite this article
Liu, P., Cao, A., Jia, X. et al. An association of Mycoplasma pneumonia with lung function and laboratory parameters. Sci Rep 16, 726 (2026). https://doi.org/10.1038/s41598-025-30325-6
Received:
Accepted:
Published:
Version of record:
DOI: https://doi.org/10.1038/s41598-025-30325-6





