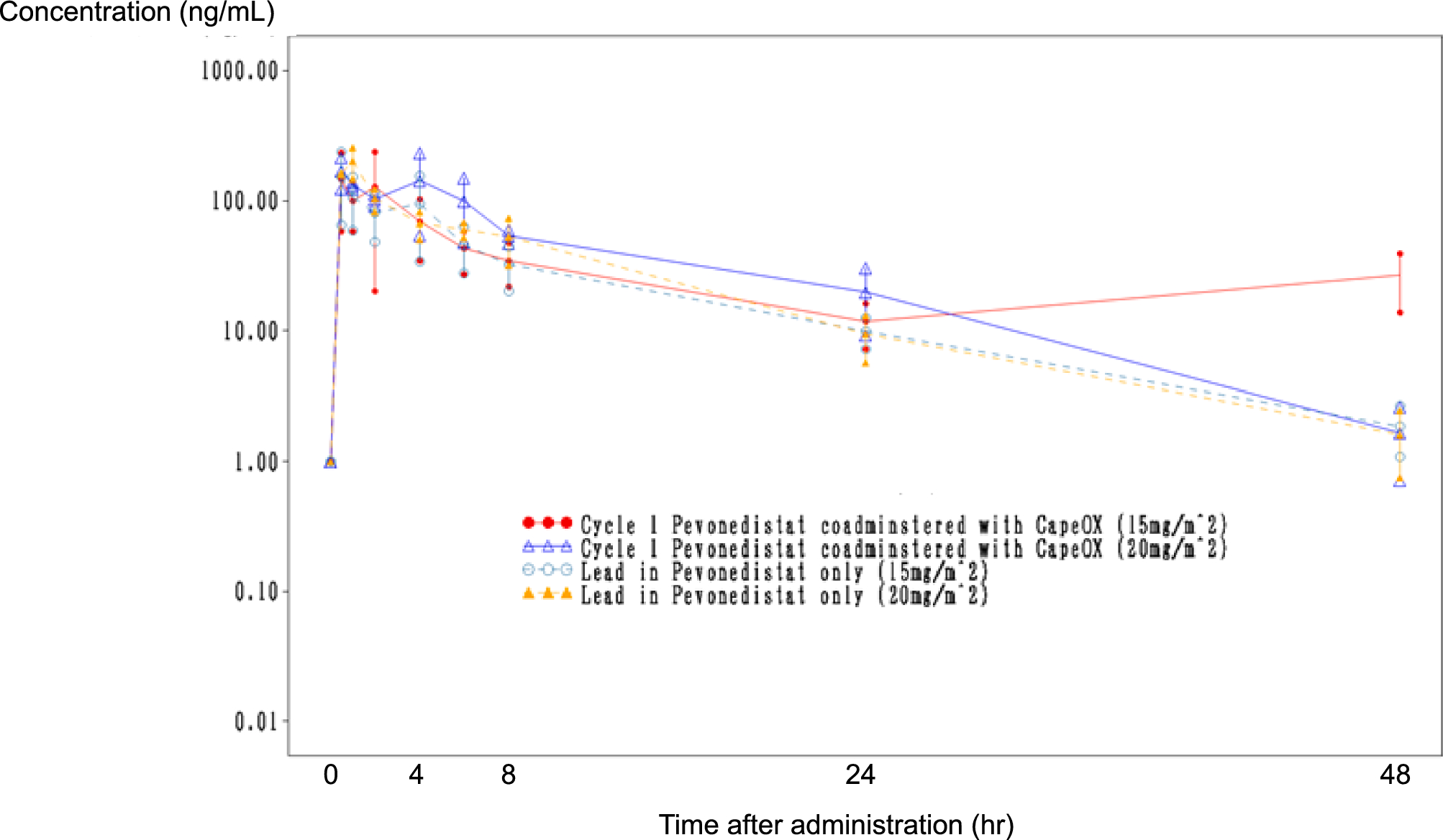
Fig. 1

Plasma concentrations of pevonedistat in the lead-in phase (pevonedistat alone) and in the second cycle of pevonedistat plus CapeOX combination therapy in 8 patients enrolled in the dose-finding cohort. The plasma concentrations of pevonedistat after administration were measured in 8 patients to compare the pharmacokinetics of pevonedistat when administered alone and when administered in combination with CapeOX.