Fig. 3
From: Development of a machine learning-based model for prognostic prediction in melanoma

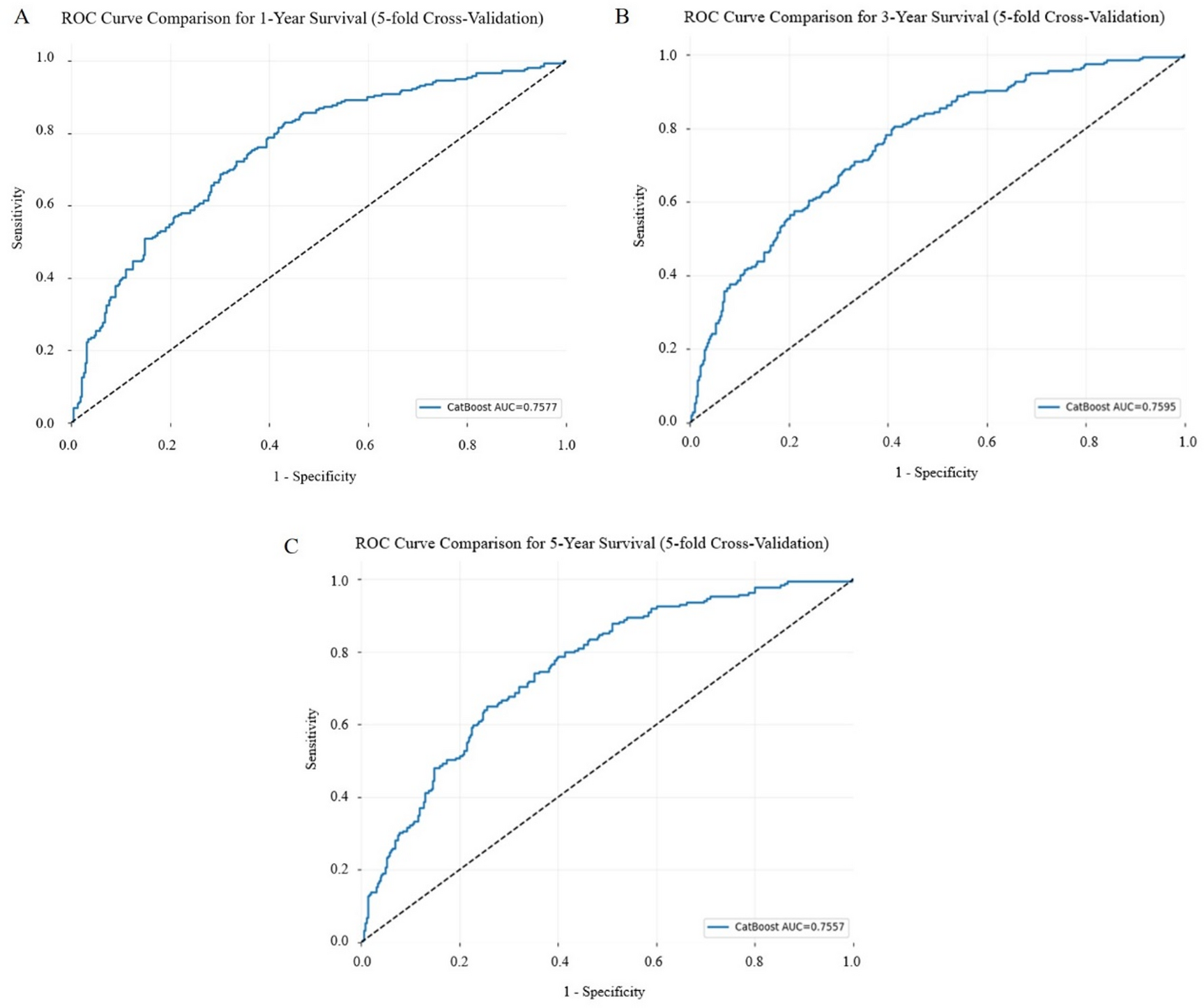
CatBoost model evaluation. ROC curve for A 1-year, B 3-year, and C 5-year prognostic model in five-fold cross-validation. CatBoost: categorical boosting; ROC: receiver operating characteristic curve; AUC: area under the curve.