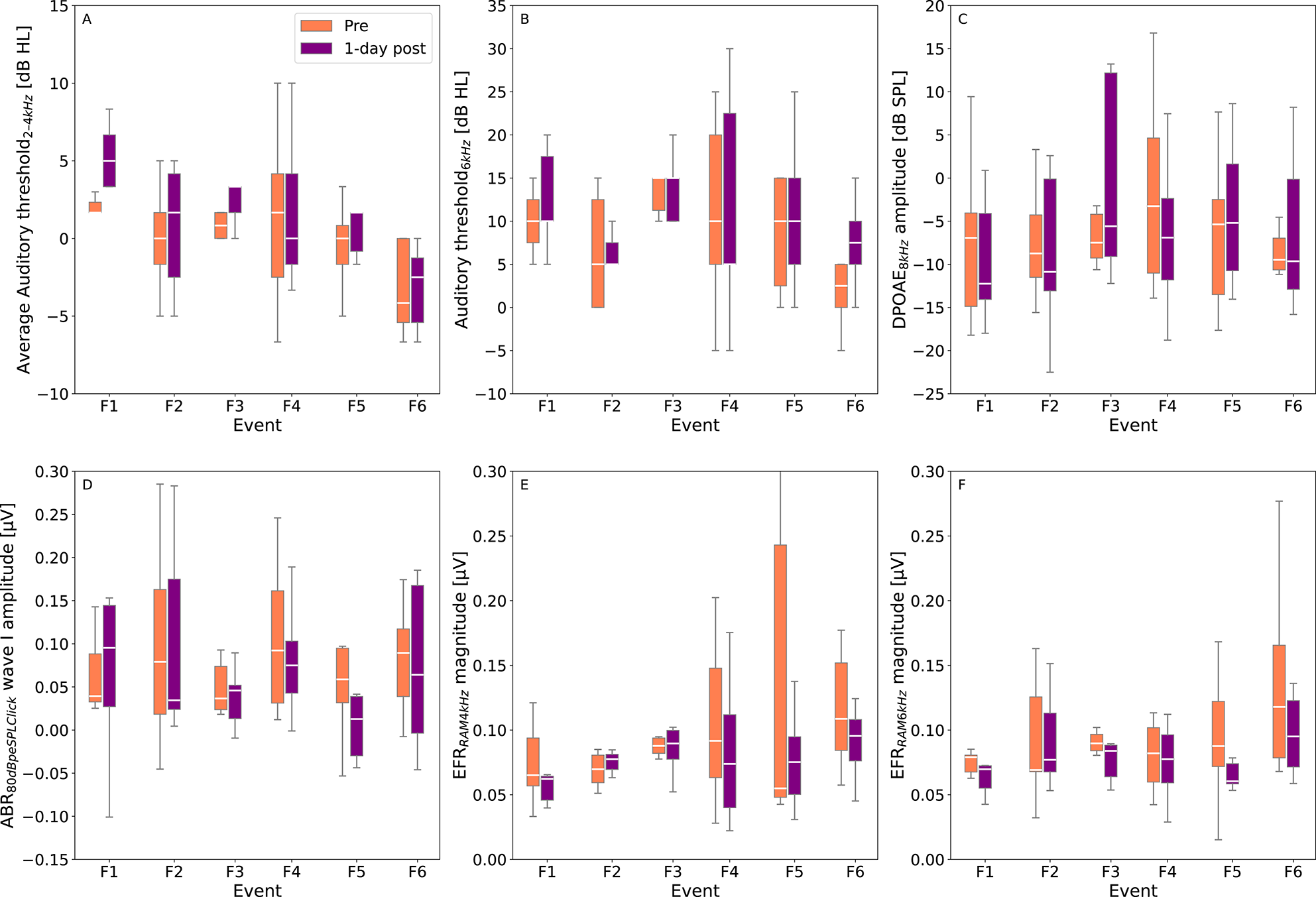
Fig. 5
From: Large-scale music events can cause subclinical hearing damage

Boxplots showing values of a range of auditory metrics across six festival events (F1–F6), measured prior to exposure (dark blue) and on the first day post-exposure (light blue). Panels (A) and (B) show pure-tone averages and 6-kHz auditory thresholds, respectively. Panel (C) shows DPOAE amplitudes at 8 kHz, while panel (D) presents ABR wave I amplitudes in response to an 80 dB peSPL click stimulus. Panels (E) and (F) display EFR strengths at 4 kHz and 6 kHz, respectively. These data allow group-level assessment of temporal changes in auditory function associated with festival exposure.