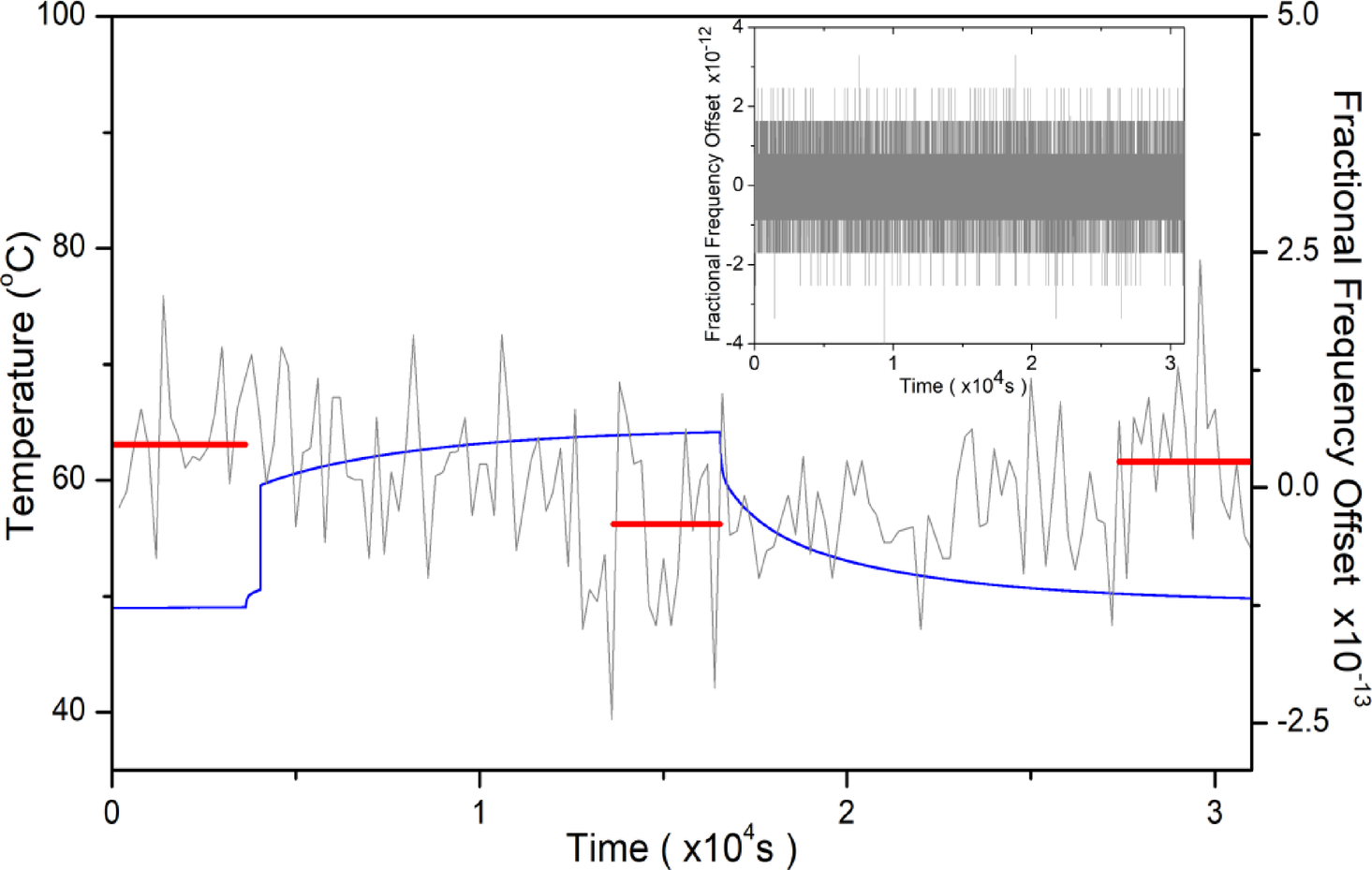
Fig. 5
From: Realization of a compact mercury ion microwave clock with frequency stability of 6.3 × 10− 16

Thermal-induced sensitivity testing of the vacuum tube. The blue line shows the vacuum tube temperature rises from 49 ℃ to 64 ℃ and then back to ~ 50 ℃. The vacuum tube temperature keeps stable for ~ 3600 s on every setpoint and spends ~ 104 s to reach the next setpoint. The grey line shows the average fractional frequency offset against the reference hydrogen maser measured per 200-second interval, and the red line indicates the mean fractional frequency at every temperature setpoint. They are both corresponded to the vertical coordinate scale on the right side. The inset shows the measured fractional frequency offset against the reference hydrogen maser per second.