Abstract
The mercury ion microwave clock is considered to be one of the leading candidates for new generation satellite navigation atomic clocks due to its excellent long-term frequency stability, extremely low frequency drift rate, high reliability and good potential for miniaturization. In recent years, the performance and maturity of the space mercury ion microwave clock have improved rapidly, and the reported long-term stability results are mostly in low 10− 15 level. In this article, we present a compact laboratory prototype of mercury ion microwave clock aiming to spaceborne applications with the long-term stability below 1 × 10− 15. By regulating the physical effects contributing to the clock transition frequency shifts, the clock maintains a white frequency noise Allan deviation of 2.8 × 10− 13/τ1/2 with the averaging time τ over 105 s and achieves the long-term stability of 6.3 × 10− 16 for averaging times of 200,000 s. The space mercury ion microwave clock with such level performance will benefit the Global Navigation Satellite Systems and a wide range of space science and missions.
Similar content being viewed by others
Introduction
High-performance spaceborne atomic clocks, serving as a critical payload for satellite and spacecraft, provide the fundamental time-frequency reference for precision positioning, timekeeping and synchronization in various space applications, especially in Global Navigation Satellite Systems (GNSS)1,2. In recent years, significant efforts have been devoted to improve the frequency stability of on board GNSS clocks3. The rubidium (Rb) clock for Global Position System (GPS) has the stability of 1 × 10− 12/τ1/2 and 3 × 10− 15 at 105 s when removing the frequency drift with the level of 10− 14/day3. The passive hydrogen maser (PHM) of the BeiDou system has achieved the stability of 6 × 10− 13/τ1/2 and 1 × 10− 14 at one day with the frequency drift of 5 × 10− 15/day4. For a GNSS with the strategy of updating clock frequency and time every 24 h (~ 10⁵s), as long as the on board clock operating with the Allan deviation σy(τ) ≈ 3 × 10− 13/τ1/2 for τ ≤ 105 s, the GNSS Signal-in-Space User Range Error (SIS-URE) can be reduced to the 1 cm, which is sufficient for real-time navigation and positioning applications5. Therefore, the stability of 3 × 10− 13/τ1/2(τ ≤ 105 s) is set as the ultimate technology goal for GNSS satellite clocks5.
For this goal, many novel types of spaceborne atomic clock, such as lamp-pumped ultra-stable Rb clock6, pulsed optically pumped (POP) Rb clock7,8,9, and compact optical clocks10,11,12 have been proposed and investigated due to their remarkable short-term stability performance which could easily meet σy(τ) ≤ 3 × 10− 13/τ1/2 for τ ≤ 104 s13,14,15,16. However, these atomic clocks based on atomic vapor cells, their long-term stability is limited to the collision shift and environmental perturbations2,17. It becomes challenging to maintain a white frequency noise characteristic for longer averaging time. Reports on these clocks with the stability obeying τ −1/2 for τ ~ 105 s are rare.
The mercury ion microwave clock (MIC) is recognized for its superior stability in both short and long term and the potentials for space applications18,19. Utilizing the active hydrogen maser or cryogenic sapphire oscillator as local oscillators (LO), the MIC has demonstrated the short-term stability of 10− 14 level20 and long-term stability of 10− 16 level21 in Jet Propulsion Laboratory (JPL). The JPL’s compact flight demonstration unit, known as the Deep Space Atomic Clock (DSAC)22, has also achieved the stability approaching 3 × 10− 13/τ1/2(τ ≤ 105 s) with a hydrogen maser LO23. Although the DSAC shows a degradation instability performance while using an OCXO LO in orbit, its long-term stability of 3 × 10− 15 still exceeds the performance of current in orbit GNSS clocks24.
In this paper, we report a compact MIC laboratory prototype aiming to improve the frequency stability to on-board clocks for GNSS applications. The prototype is developed based on the quadrupole linear ion trap. Although the multipole trap used in DSAC is more competitive in terms of long-term stability at the 1 × 10− 16/day level or below, the quadrupole linear trap’s long-term performance is also sufficient for most envisioned space applications, and it has the advantages for clock’s miniaturization and suppression of the LO-induced instability25,26. The prototype, containing an OCXO LO, has the size, weight, and power (SWaP) of 15 l, 20 kg, and 70 W, which is promising for the satellite on-board application. In order to improve the clock’s long-term stability, we carefully analyzed and regulated the sensitivities due to the clock parameters and environmental perturbations, which are usually coupled with several shift effects, including the second order doppler shift, second order Zeeman shift and pressure shift. Under vacuum condition, the prototype shows the short-term stability of 2.8 × 10− 13/τ1/2 with the averaging time τ over 105 s, allowing the long-term stability to reach 6.3 × 10− 16, as the record long-term stability for atomic clocks aiming to space applications.
The MIC scheme
The MIC is based on the ground state hyperfine transition of the trapped 199Hg+ ions, which has the largest transition frequency (~ 40.5 GHz) and the smallest fractional frequency shift coefficient of the second order Zeeman effect (about 1/800 of the hydrogen, 1/35 of the rubidium and 1/19 of the cesium18 among all the existing microwave atomic clocks. The MIC is very convenient to trap ions by using electromagnetic confining fields, thereby dramatically suppressing the broadenings and frequency shifts caused by collision and motion effects. Meanwhile, compared with cold atom system27,28,29, the coherence time of MIC is not limited by gravity, which enables MIC to obtain a transition spectrum line with ultra narrow linewidth and extremely high Q value21. By using the 202Hg+ discharge lamp and buffer gas cooling, no extreme ultraviolet (EUV) laser is needed. It is conducive to achieve a very small size and field application.
The schematic of the MIC is shown in Fig. 1. It mainly includes: ion trap, vacuum tube, 202Hg+ lamp, microwave synthesizer, LO, and the data acquisition and control unit.
The schematic diagram of the MIC. 4-pole trap for quadrupole linear ion trap; E-gun for electron gun; PMT for photomultiplier tube; LO for local oscillator.
The quadrupole linear trap is consisting of four rod electrodes and two end cap electrodes. The electron beam emitted by the electron gun bombs the neutral 199Hg vapor in the ion trap center area, and ionizes it into mercury ions. By applying radio frequency (RF) voltage to the four rods for radial confinement and direct current (DC) voltage to the end cap electrodes for axial confinement, the ions with kinetic energy lower than 20 eV can be trapped and cooled to room temperature through the collisions with the buffer gas30,31.
The 194 nm ultraviolet light emitted by the 202Hg+ discharge lamp is used for optical pumping for the state preparation and fluorescence probing of the trapped ions. A pair of C field coils generates a uniform weak magnetic field along the axial direction of the ion trap to define the quantization axis. The microwave synthesizer generates approximately 40.5 GHz microwave, via the antenna, to drive the 2S1/2(F = 0, mF=0) to 2S1/2(F = 1, mF=0) ground-state hyperfine transition of 199Hg+ ions, namely the clock transition of the MIC. By using reflectors, the pumping light radiated from the 202Hg+ lamp and the fluorescence of the ion clock transition are both deflected by 90 degrees, effectively reducing the scale of the optical path in space. The clock transition fluorescence is converted into photon counting pulse by the photomultiplier tube (PMT). According to the photon counts, the LO is steered by the data acquisition and control unit and locked onto the clock transition spectrum of 199Hg+ ions.
The design and performance of the MIC prototype
High vacuum is benefit to the ion confinement, which helps to eliminate the collision and interaction with the residual gases in vacuum chamber that would limit the lifetime of the trapped ions. We designed a small sealed vacuum tube maintained by a non-evaporative getter pump which has smaller volume and lower power consumption comparing to the turbo molecular pump that usually used in laboratory21,30. The ion trap, getter pump, and electron gun are all integrated within a 0.5-liter small ion vacuum tube. After vacuum preparation and getter activation, the background pressure inside the vacuum tube reaches 10− 10 Torr level. Then, the tube was filled with neon buffer gas to 10− 6 Torr and cut off from the external pumping system. The vacuum in the sealed tube was kept with the inner getter pump with no power consumption32.
Figure 2 gives the measured ion fluorescence signal (without ion reloading) versus time one year after the tube was sealed. Nearly 100 h measurement data of ion signal was fitted with an exponential decay model of y = Ae− x/t, where y and x correspond to the ion signal and time respectively, and decay time constant t is the fitting parameter. The fitting results in an extrapolated decay time constant t, that is the trapping lifetime of ions, more than 330 h, which indicates the compact vacuum tube can meet the vacuum requirements for ion confinement very well.
The decay of the photon counts of the clock signal size (black squares) over time. The clock signal photon counts can be used to characterize the trapped ion numbers. The red line is the exponential decay fitting and gives the time to 1/e of the initial signal size by extrapolation, namely trapping lifetime, up to 330 h. The adjusted R-Squared of the 1/e fitting is 0.9775.
Based on this miniaturized ion vacuum tube, we designed and developed a compact MIC prototype to demonstrate the feasibility of the quadrupole trap architecture for GNSS application, including the stability performance and partial in-orbit adaptability, such as thermal and vacuum. As shown in Fig. 3, the prototype, with the size of 15 l and weight of 20 kg, was mounted in a test chamber for simulating the 10− 7 Torr vacuum environment on board satellite. The electronic components of the prototype were specially selected to adapt the heat dissipation under vacuum condition, and the thermal conduction design was implemented for every component whose power consumption exceeds 0.3 W. Moreover, circuit unit with high heat consumption such as the power supply and microwave synthesizer were well contacted with the copper thermal sink to guarantee that the prototype does not overheat while operating under vacuum.
The MIC prototype lays on the copper thermal sink of the vacuum test chamber.
After powered on in vacuum environment of 2 × 10− 7 Torr, the power consumption of the prototype stabilized at ~ 70 W. We performed the MIC closed-loop locking operation using an ultra-stable OCXO LO with the stability below 1 × 10− 13 in 1 ~ 30 s averaging interval. The frequency comparator (VCH-315M)33 was used to measure the MIC’s frequency stability. The reference source was an active hydrogen maser (CH1-95) which has the short-term stability at the level of 10− 14 and stability floor and frequency drift both at low level of 10− 1634. Figure 4 shows a up to 29-day stability test result of the MIC in vacuum. The Allan Deviation of average time τ from 1 to 20 s is dominated by the performance of the OCXO LO. The stability over 20 s remains 2.8 × 10− 13/τ1/2, and reaches 6.3 × 10− 16 at the averaging interval of 2 × 105 s. The relative fractional frequency between the MIC and reference maser is linear fitted with a drift rate of 3.6(9) ×10–17/day. Since the frequency drift rate relative to the reference maser is sufficiently low, the long-term absolute frequency drift assessment could be performed by comparison with primary frequency standards or UTC.
The Allan Deviation of the compact MIC prototype compared to a hydrogen maser. The black dots are the Allan Deviation values; error bars represent 68% confidence intervals. The red line is the τ −1/2 fitting with the Allan Deviation data. The inset shows the fractional frequency data (in grey) of the ~ 29 days’ stability measurement, which was used to calculated the Allan Deviation. The data is fitted with the straight line (in red) and gives a drift of 3.6(9) ×10–17/day relative to the reference maser.
Sensitivity to clock parameters and environment
The long-term stability is determined by the clock transition sensitivities to the frequency shift effect induced by the clock parameters and operating environment variations. The largest frequency shifts in the MIC are the second order Doppler shift, magnetic shift and pressure shift of buffer gas and background gas35,36. Before the long-term vacuum testing, we measured and analyzed these frequency shift sensitivities to optimize the operating parameters of the prototype and regulate the environmental variations, thereby improving their impact on long-term frequency stability and drift of the MIC.
Second order doppler shift
The total second order doppler shift is defined with a two terms formula37
where kB is Boltzmann constant, T is the ions temperature, m is the mass of a mercury ion, c is the velocity of light, and Ndk is parameter related to the ion numbers. The first term is dependent on ion temperature, which is not directly measured due to the compact vacuum tube constructure. The ion temperature stability can ultimately be determined by the ambient temperature variation through the ion-buffer gas collision and buffer gas-vacuum wall interactions38.
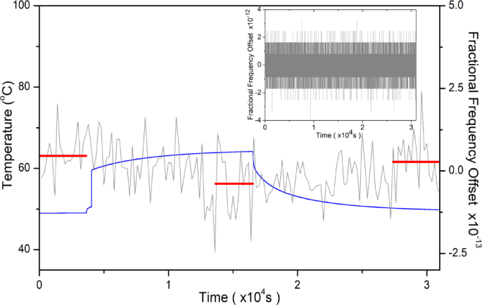
From the derivative of formula (1) with respect to temperature, the Doppler limit on temperature-induced sensitivity of −6.9 × 10–16/℃ can be derived39. Figure 5 shows the frequency offset over time during the temperature variations of the vacuum tube. At the beginning, the vacuum tube temperature remained stable at 49 ℃. By varying the output power of the thermal controller of the vacuum tube, the vacuum tube temperature was elevated to 64 ℃ and then back to ~ 50 ℃. Every frequency measurement at the fixed temperature setpoint lasted ~ 3600 s and a period of ~ 104 s was left between the measurements to achieve thermal equilibrium. The frequency shift caused by vacuum tube temperature increase and decrease are − 8.5(7)×10–14 and 6.7(7)×10–14, respectively. It results an average temperature-dependent sensitivity of −5.2 × 10–15/℃. This measured shift coefficient is larger than the ion temperature frequency sensitivity estimated by Formula (1), which might be attributed to simultaneous variations of the ion temperature and mercury vapor pressure inside the sealed vacuum tube. The fluctuation of mercury vapor pressure led to the change of the ion numbers. The ion number-dependent shift effect induced by mercury vapor pressure was coupled into the total temperature sensitivity35. While operating in vacuum, the clock’s vacuum tube temperature fluctuation was controlled in up to 0.1 ℃ for peak-to-peak making the Allan Deviation of 0.004 ℃ at averaging time of 105 s. Therefore, the temperature-dependent shift contribution to frequency stability is 2.1 × 10–17.
Thermal-induced sensitivity testing of the vacuum tube. The blue line shows the vacuum tube temperature rises from 49 ℃ to 64 ℃ and then back to ~ 50 ℃. The vacuum tube temperature keeps stable for ~ 3600 s on every setpoint and spends ~ 104 s to reach the next setpoint. The grey line shows the average fractional frequency offset against the reference hydrogen maser measured per 200-second interval, and the red line indicates the mean fractional frequency at every temperature setpoint. They are both corresponded to the vertical coordinate scale on the right side. The inset shows the measured fractional frequency offset against the reference hydrogen maser per second.
The second term of the formula (1) represents the ion-number-induced second order doppler shift. For purpose of enhancing signal-to-noise ratio of ion spectral lines, as many trapped mercury ions as possible are needed. The space charge effect grows larger with the ion numbers. As space charge interaction grows, the value of Ndk increases38. The corresponding ion number-dependent shift becomes an important frequency shift affecting the frequency stability of the MIC based on quadrupole linear trap35.
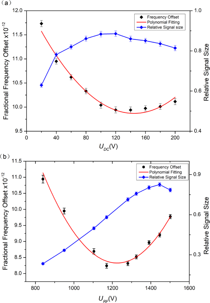
The signal of the clock transition is an appropriate representation of the ion number. It is approximately proportional to clock transition signal size (photon counts of the signal with background removed) when the light intensity of the 202Hg+ lamp is stable24. Apart from the mercury pressure mentioned above, the trapped ion numbers are significantly affected by trapping potentials36. Figure 6(a) shows the measured frequency offset and clock signal size versus the axial DC trapping voltage UDC. The frequency shifts are dominated by the ion number variations. This interpretation is supported by the change in the signal size as a function of UDC. A polynomial fitting was performed on the measured frequency offset data. While the UDC was set up to 110 V in clock operation to obtain a large clock signal size, the UDC induced frequency sensitivity of −8.0(3.3)×10− 15/V can be derived from the slopes of the fitting curve at this voltage setpoint. The instability of UDC at average time of 105 s is 1.6 mV, yielding an axial trapping voltage induced shift contribution is 1.3(5)×10− 17.
Fractional frequency shift and ion signal vs. the DC potential on endcap electrodes (a) and the RF potential on rod electrodes (b) of quadrupole linear ion trap. The red line is polynomial fitting with the measured frequency offset.
A similar frequency shift induced by radial RF trapping voltage URF was observed as shown in Fig. 6(b). The inversion point of the frequency offset lies at a voltage value that differs from the one that maximizes the relative signal size. This indicates the existence of another frequency shift with the opposite frequency shift slope to ion-number-dependent second order doppler shift. It might be that the increase of ion number leads to the ion cloud length exceed the finite uniform range of the magnetic field yielded by the compact magnetic shields and C field coils. As a result, the ions experience an inhomogeneous magnetic field, leading to an ion-number-dependent Zeeman shift that offsets the Doppler shift21. A URF ~ 1300 V was applied to the RF electrode as the tradeoff of the signal size and frequency sensitivity. Based on the slopes of the fitted curve at this voltage value, the coefficient of the frequency shift induced by URF is 2.8(4.1)×10− 15/V. With the URF voltage stability of 0.18 V, the radial trapping voltage induced stability of 105 s average time is evaluated to be 5.0(7.4)×10− 16.
Second order Zeeman shift
The frequency sensitivity due to magnetic field is quantified by Second order Zeeman effect as follow40
where B is the magnitude of magnetic field felt by the ions in unit of Gauss (G), including the environmental magnetic field and the C field. A three-layer magnetic shield is employed to provide a quiet magnetic environment by attenuating the ambient field. Due to the openings on the inner two layers of magnetic shield along the radial direction of the ion trap for optical pumping and fluorescence detection, the measured shielding factor in this direction is only 3003. In contrast, the factor along the axial direction of the ion trap reaches 9456. Even in the weakest shielding direction, the external magnetic field is greatly reduced with a factor beyond 3000, the value of B is determined by the applied C field. The sensitivity of magnetic field is 7.2 × 10− 10/G with a typical C field intensity of 150 mG41. We used a digital multimeter to measure the current (~ 10 mA) of the C field coil, which gives the C field stability less than 8.2 × 10− 8 G at 105 s, as shown in Fig. 7, corresponding to an upper bound of C field contribution to frequency stability of 5.9 × 10− 17. The ambient magnetic field fluctuation surrounding the MIC was measured by a fluxgate magnetometer with a resolution of 10− 6 G. The Allan Deviation of ambient magnetic field sensed by the trapped ions is 7.3 × 10− 8 G at 105 s in the weakest shielded direction, resulting in the external magnetic field shift of 5.3 × 10− 17 in the worst case.
Stability of the C field and the shielded ambient magnetic field. The black dots are the C filed stability transformed by the stability of the measured currents on C filed coil. The red dots are the stability of the measured ambient magnetic field by divide shield factor 3000. By dividing the stability of 2.8 × 10− 13/τ1/2 by the magnetic sensitivity of 7.2 × 10− 10/G, the corresponding magnetic field stability requirement for a C field of 150 mG is derived, as shown by the dashed line.
Pressure shift
Pressure shift is related to the pressures of the atom and molecule gas in sealed vacuum tube, including the buffer gas, as well as trace amounts of vacuum residual gas and neutral mercury vapor. The pressure-induced sensitivity of these gases has been well known according to the existing researches40,42,43,44. Although due to the configuration of vacuum tube, the details of gas evolution cannot be measured once the vacuum tube cut off from the vacuum preparation system, the observation of the ion trapping time indicate that the pressure of residual gases ultimately come to equilibrium at low enough level. In addition, since the measured long-term stability of the prototype is below 1 × 10− 15 at averaging times exceeding 105 s, we infer that the impact of the residual gas pressure shift is less than 1 × 10− 15 during the MIC operating. Furthermore, a sealed vacuum system with a same vacuum tube used in MIC was built to investigate the long-term behavior of the neon buffer gas. After a sufficient period of evolution, the pressure data of the neon buffer gas is linear fitted and gives a tiny slope of 4.3 × 10− 9 Torr/day, as illustrated in Fig. 8. According to our former measured neon pressure shift coefficient of 1.8 × 10− 8/Torr42, this pressure drift was translated into frequency drift below 7.8 × 10− 17/day, which provides a reference of the long-term performance limited by the neon pressure shift for the MIC with the similar vacuum strategy.
Long-term pressure evolution of neon in getter pumped vacuum tube.
Conclusion
We have demonstrated a compact MIC prototype with a SWaP of 15 l, 20 kg, and 70 W based on quadrupole trap architecture. The frequency sensitivities induced by the clock parameters and environment variations are analyzed and regulated. A frequency stability test in vacuum shows the clock’s Allan Deviation evolves with a white frequency noise trend of 2.8 × 10− 13/τ1/2 even the averaging time τ exceeding 105 s. This performance completely satisfies the ultimate stability goal for the on board clocks of the GNSS which updates clock frequency and time every 24 h5. The MIC’s long-term stability of 6.3 × 10− 16 at averaging time of 2 × 105 s is comparable to space active hydrogen maser (SAHM)45, while its size is nearly one-seventh of the latter. In addition, the relative frequency drift less than 3.6(9)×10–17/day to the reference maser is also observed, promising the long-term autonomous operating.
Next, more efforts will be focused on enhancing the lifespan, reliability and improving the space adaptability in terms of vibrations, shock and radiations to develop a full space-qualified MIC for flight demonstration. The applications of the space MIC with 10− 16 level stability will enable real-time cm-level satellite navigation and high-accuracy autonomous deep space navigation in the near future.
Method
Getter pumped vacuum tube
The MIC‘s vacuum tube is similar to that of the Travelling Wave Tube Amplifier. It is fabricated with titanium alloy material that is no magnetic and with low outgassing rate. The vacuum windows and electrical feedthroughs were specially selected that can withstand ~ 400 °C baking. After baked out over one week, the vacuum inside the tube can get down to the level of 10− 10 Torr. A small getter pump which has relatively high pumping speed and sorption capacity for residual gases such as hydrogen, nitrogen and carbon monoxide was designed to maintain the vacuum during MIC operating. Another advantage of the getter pump is that, compared to sputtering ion pump and turbo molecular pump, it exhibits no pumping speed to the neon buffer gas and 199Hg vapor. This helps to maintain the pressure stable of these working gases. Based on the saturation absorbing quantity of the getter and operating vacuum degree, the service life of the vacuum tube is expected to reach 20 years. Currently, the earliest testing device getter-pumped vacuum tube we built has been maintained for more than 6 years.
Mercury isotope discharge lamp
The Mercury lamp bulb is made of fused silica and filled with ~ 1 Torr Argon gas and a quantity of metallic 202Hg isotope. The lamp bulb is mounted in a LC circuit with the resonant frequency at ~ 200 MHz, the 202Hg inside the bulb is ionized and excited by inductive discharge, emitting the 194.2 nm UV spectral line of 202Hg+ ions. Unlike the lamp-pumped Rb clock utilizing the resonance spectral of 87Rb atom, the MIC optical pumping is non-resonant, which is based on the overlap between the Doppler broadened 194.2 nm spectral line of 202Hg+ and the transition levels of 199Hg+ ions. Therefore, the pumping speed is relatively poor. In order to achieve sufficient pumping efficiency, the power of the mercury lamp is typically 3 ~ 5 times that of the rubidium clock lamps. The higher excitation power results in accelerated aging of the mercury lamp. At present, the signal to noise ratio of the clock transition exhibits no significant degradation since the mercury lamp that has been operated for five years. Works aimed to determine the operational lifetime of the mercury lamp are in progress.
Microwave synthesizer
The microwave synthesizer is required to convert the 10 MHz frequency output from the OCXO to ~ 40.5 GHz, and the frequency resolution should be better than millihertz level. Given the high output frequency and high resolution, the microwave synthesizer adopts a method combining analog phase-locking and direct digital frequency synthesis. The frequency resolution of the developed microwave synthesizer is approximately 10− 5 Hz. Using a OCXO as the reference source, the absolute phase noise of the 40.5 GHz output of the microwave synthesizer was measured to be approximately − 47 dBc/Hz@1 Hz, −67 dBc/Hz@10 Hz, −70 dBc/Hz@100 Hz, and − 89 dBc/Hz@1 kHz46. The phase noise of the microwave synthesizer will affect the frequency stability through the Dick effect at the level of 2 × 10− 13/τ1/2, which is the main factors limiting the short-term stability.
Data availability
The datasets used and/or analysed during the current study available from the corresponding author on reasonable request.
References
Maleki, L. & Prestage, J. Metrologia 42, S145 https://doi.org/10.1088/0026-1394/42/3/S15 (2005).
Leo, H. in Position, Navigation, and Timing Technologies in the 21st Century: Integrated Satellite Navigation, Sensor Systems, and Civil Applications, edited by Y. T. J. Morton et al. 1497. (2021).
Camparo, J. in 2023 IEEE/ION Position, Location and Navigation Symposium, 295 https://doi.org/10.1109/PLANS53410.2023.10140136 (2023).
Li, J. et al. in IEEE International Frequency Control Symposium (IFCS), https://doi.org/10.1109/FCS.2016.7546720 (2016).
Jaduszliwer, B. & Camparo, J. GPS Solutions 25, 27 https://doi.org/10.1007/s10291-020-01059-x (2021).
Nie, S. et al. in China Satellite Navigation Conference (CSNC) 2019 Proceedings, edited by J. Sun, C. Yang, and Y. Yang (Springer Singapore, Singapore), 556, https://doi.org/10.1007/978-981-13-7751-8_53 (2019).
Gozzelino, M. et al. Sci. Rep. 13, 12974 https://doi.org/10.1038/s41598-023-39942-5 (2023).
Baryshev, V. N. et al. Quantum Electron. 52, 538. https://doi.org/10.1070/QEL18057 (2022).
Huang, M., Little, A. & Camparo, J. in Joint Conference of the European Frequency and Time Forum and IEEE International Frequency Control Symposium (EFTF/IFCS), https://doi.org/10.1109/EFTF/IFCS54560.2022.9850793 (2022).
Phelps, G., Lemke, N., Erickson, C., Burke, J. & Martin, K. NAVIGATION 65, 49. https://doi.org/10.1002/navi.215 (2018).
Schuldt, T. et al. GPS Solutions 25, 83 https://doi.org/10.1007/s10291-021-01113-2 (2021).
Döringshoff, K. et al. Phys. Rev. Appl. 11, 054068. https://doi.org/10.1103/PhysRevApplied.11.054068 (2019).
Cui, J. et al. IEEE Trans. Instrum. Meas. 73, 1 https://doi.org/10.1109/TIM.2023.3348883 (2024).
Hao, Q., Yang, S., Ruan, J., Yun, P. & Zhang, S. Phys. Rev. Appl. 21, 024003 https://doi.org/10.1103/PhysRevApplied.21.024003 (2024).
Newman, Z. L. et al. Opt. Lett. 46, 4702. https://doi.org/10.1364/OL.435603 (2021).
Roslund, J. D. et al. Nature 628, https://doi.org/10.1038/s41586-024-07225-2 (2024).
Shen, Q., Lin, H., Deng, J. & Wang, Y. Rev. Sci. Instrum. 91, 045114.https://doi.org/10.1063/5.0006187 (2020).
Prestage, J. D. & Maleki, L. in Proceedings of IEEE 48th Annual Symposium on Frequency Control, edited by J. D. Prestage, and L. MalekiBoston, MA, USA), 747. https://doi.org/10.1109/FREQ.1994.398252 (1994).
Ely, T. et al. in AAS/AIAA Astrodynamics Specialist Conference Portland, Maine, USA), AAS192019).
Dick, G. J., Wang, R. T. & Tjoelker, R. L. in Proceedings of the 1998 IEEE International Frequency Control Symposium 528 https://doi.org/10.1109/FREQ.1998.717949 (1998).
Burt, E. A., Diener, W. A. & Tjoelker, R. L. IEEE Trans. Ultrason. Ferroelectr. Freq. Control 55, 2586 https://doi.org/10.1109/TUFFC.2008.975 (2008).
Burt, E. A., Ely, T. A. & Tjoelker, R. L. Journal of Physics: Conference Series 2889, 012014 https://doi.org/10.1088/1742-6596/2889/1/012014 (2024).
Tjoelker, R. L. et al. IEEE Trans. Ultrason. Ferroelectr. Freq. Control 63, 1034. https://doi.org/10.1109/TUFFC.2016.2543738 (2016).
Burt, E. A. et al. Nature 595, 43 https://doi.org/10.1038/s41586-021-03571-7 (2021).
Ely, T. A., Burt, E. A., Prestage, J. D., Seubert, J. M. & Tjoelker, R. L. IEEE Trans. Ultrason. Ferroelectr. Freq. Control 65, 950. https://doi.org/10.1109/TUFFC.2018.2808269 (2018).
Chen, Y. et al. Chin. Phys. B 25, 120601. https://doi.org/10.1088/1674-1056/25/12/120601 (2016).
Ren, W. et al. Natl. Sci. Rev. 7, 1828 https://doi.org/10.1093/nsr/nwaa215 (2020).
Esnault, F-X., Holleville, D., Rossetto, N., Guerandel, S. & Dimarcq, N. Phys. Rev. A 82, 033436. https://doi.org/10.1103/PhysRevA.82.033436 (2010).
Meng, Y-L. et al. Frontiers in Physics 10, https://doi.org/10.3389/fphy.2022.985586 (2022).
Liu, H. et al. Chin. Phys. Lett. 31, https://doi.org/10.1088/0256-307X/31/6/063201 (2014).
Tjoelker, R. L., Prestage, J. D., Dick, G. J. & Maleki, L. in Proceedings of IEEE 48th Annual Symposium on Frequency Control, 739 https://doi.org/10.1109/FREQ.1994.398254 (1994).
Bandi, T., Prestage, J., Chung, S., Le, T. & Yu, N. in Joint Conference of the IEEE IFCS and EFTFDenver, CO, USA)2015).Denver, CO, USA)2015). (2015).
Multichannel Frequency Comparator VCH-315 M. (VREMYA-CH) https://vremya-ch.com/index.php/en/products-en/freq-comparators-en/vch-315m-en/index.html (2025).
CH1-95 Active Hydrogen Maser. (Nizhny Novgorod Research and Production Association) https://zifnn.com/index.php/electronic-measurement-instruments/time-and-frequency-measurement-instruments/3-ch1-95-active-hydrogen-maser (2025).
Prestage, J. D., Tjoelker, R. L., Dick, G. J. & Maleki, L. in Proceedings of the 45th Annual Symposium on Frequency Control 1991Los Angeles, CA, USA), 572 https://doi.org/10.1109/FREQ.1991.145953 (1991).
Tjoelker, R. L., Prestage, J. D., Dick, G. J. & Maleki, L. in 1993 IEEE International Frequency Control Symposium, https://doi.org/10.1109/FREQ.1993.367388 (1993).
Prestage, J. D., Tjoelker, R. L. & Maleki, L. in Proceedings of the 1999 Joint Meeting of the European Frequency and Time Forum and the IEEE International Frequency Control Symposium, 121 https://doi.org/10.1109/FREQ.1999.840723 (1999).
Prestage, J. D., Tjoelker, R. L. & Maleki, L. in Frequency Measurement and Control: Advanced Techniques and Future Trends, edited by A. N. LuitenSpringer Berlin Heidelberg, Berlin, Heidelberg, 195. (2001).
Burt, E. A., Yi, L., Tucker, B., Hamell, R. & Tjoelker, R. L. IEEE Trans. Ultrason. Ferroelectr. Freq. Control 63, 1013. https://doi.org/10.1109/TUFFC.2016.2572701 (2016).
Burt, E. A., Taghavi, S., Prestage, J. D. & Tjoelker, R. L. in 2008 IEEE International Frequency Control Symposium, https://doi.org/10.1109/FREQ.2008.4623022 (2008).
Liu, G. et al. Chin. Phys. B 33, 113702. https://doi.org/10.1088/1674-1056/ad7af6 (2024).
Yang, Y. et al. Chin. Phys. B 23, 093702.https://doi.org/10.1088/1674-1056/23/9/093702 (2014).
Chung, S. K., Prestage, J. D., Tjoelker, R. L. & Maleki, L. in Proceedings of the 2004 IEEE International Frequency Control Symposium and Exposition.Montreal, QC, Canada), 130 https://doi.org/10.1109/FREQ.2004.1418441 (2004).
Yi, L., Taghavi-Larigani, S., Burt, E. A. & Tjoelker, R. L. in 2012 IEEE International Frequency Control Symposium Proceedings, https://doi.org/10.1109/FCS.2012.6243693 (2012).
Xue, X., Zhou, T., Wang, N., Zhang, S. & Ge, J. Front. Phys. Volume https://doi.org/10.3389/fphy.2022.971036 (2022).
Yan, B., Chen, Y., Liu, H. & She, L. Metrol. Meas. Technol. 43, 107 https://doi.org/10.11823/j.issn.1674-5795.2023.03.10 (2023).
Acknowledgements
This work was supported by the National Key Research and Development Program of China (Grant No. 2022YFB3904000, 2023YFB3906500), the National Natural Science Foundation of China (Grant No. 62071376), Sustainedly Supported Foundation by the National Key Laboratory of Science and Technology on Space Microwave (Grant No. HTKJ2024KL504002).
Funding
The National Key Research and Development Program of China (Grant No. 2022YFB3904000, 2023YFB3906500), the National Natural Science Foundation of China (Grant No. 62071376), Sustainedly Supported Foundation by the National Key Laboratory of Science and Technology on Space Microwave (Grant No. HTKJ2024KL504002).
Author information
Authors and Affiliations
Contributions
Lei She and Lijun Du served as the PI for the development project. Hao Liu, Yihe Chen, Lijun Du and Lei She conceived the experimental concept; Hao Liu, Yihe Chen and Lei She performed the clock designing, fabrication, packaging; Jian Wang, Shuhong Huang, Longbao Xiang performed the vacuum simulating experiment and testing task; Hao Liu, Yihe Chen, Shicheng Yu, Chengbin Li and Lei she analyzed the data. Hao Liu, Chengbin Li and Lei She wrote the manuscript. All authors reviewed and contributed to the manuscript.
Corresponding authors
Ethics declarations
Competing interests
The authors declare no competing interests.
Additional information
Publisher’s note
Springer Nature remains neutral with regard to jurisdictional claims in published maps and institutional affiliations.
Rights and permissions
Open Access This article is licensed under a Creative Commons Attribution-NonCommercial-NoDerivatives 4.0 International License, which permits any non-commercial use, sharing, distribution and reproduction in any medium or format, as long as you give appropriate credit to the original author(s) and the source, provide a link to the Creative Commons licence, and indicate if you modified the licensed material. You do not have permission under this licence to share adapted material derived from this article or parts of it. The images or other third party material in this article are included in the article’s Creative Commons licence, unless indicated otherwise in a credit line to the material. If material is not included in the article’s Creative Commons licence and your intended use is not permitted by statutory regulation or exceeds the permitted use, you will need to obtain permission directly from the copyright holder. To view a copy of this licence, visit http://creativecommons.org/licenses/by-nc-nd/4.0/.
About this article
Cite this article
Liu, H., Chen, Y., Wang, J. et al. Realization of a compact mercury ion microwave clock with frequency stability of 6.3 × 10− 16. Sci Rep 16, 912 (2026). https://doi.org/10.1038/s41598-025-30416-4
Received:
Accepted:
Published:
Version of record:
DOI: https://doi.org/10.1038/s41598-025-30416-4










