Fig. 5

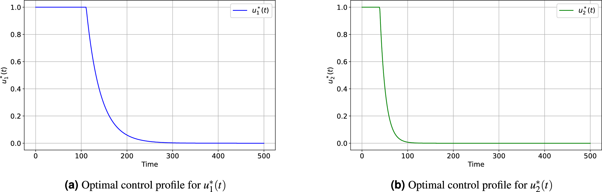
Optimal control variable profiles for the deterministic model (29) are presented: (a) \(u_1^*(t)\) along time (days) and (b) \(u_2^*(t)\) along time (days).

Optimal control variable profiles for the deterministic model (29) are presented: (a) \(u_1^*(t)\) along time (days) and (b) \(u_2^*(t)\) along time (days).