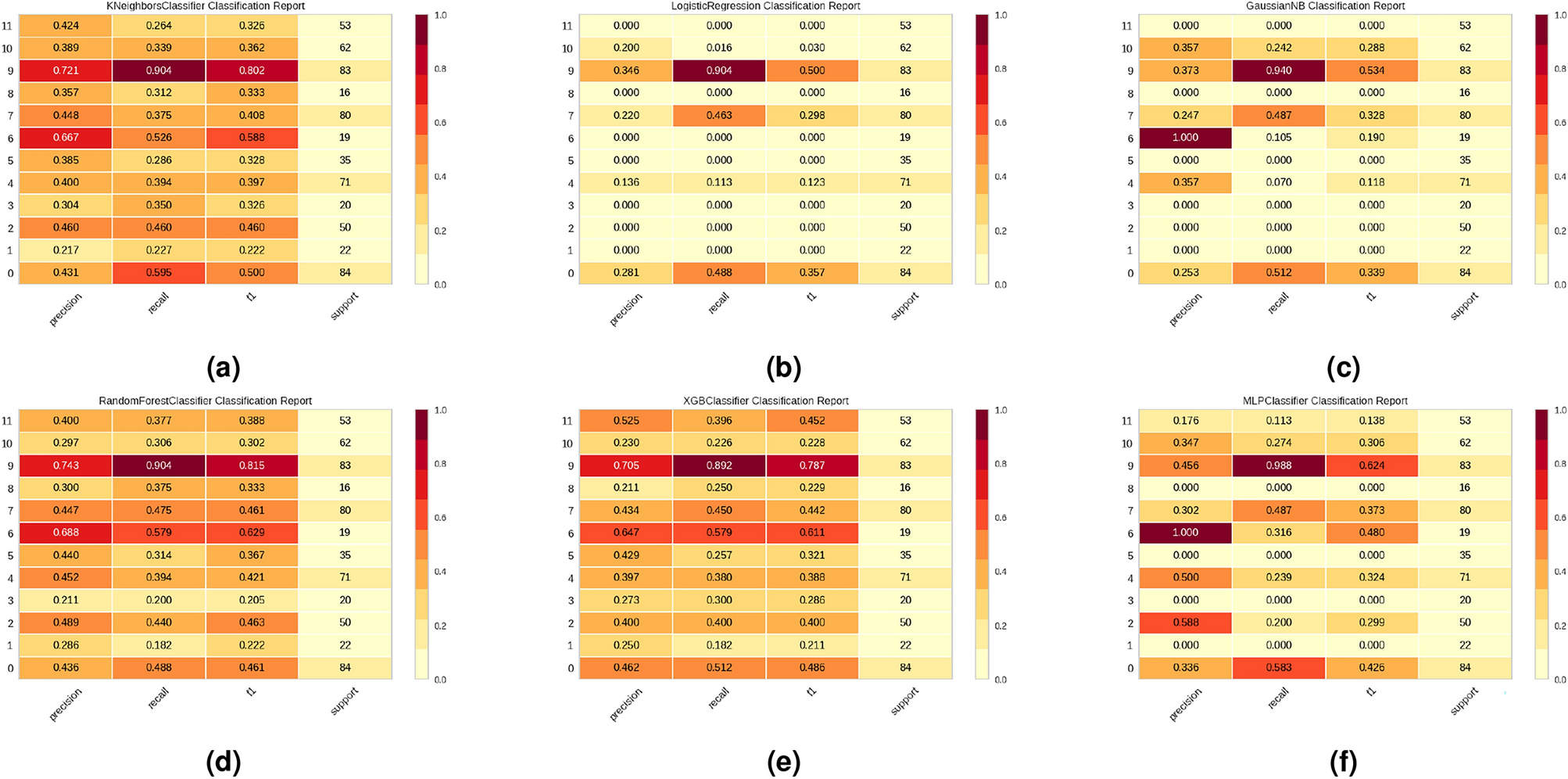
Fig. 3

Class-wise F\(_1\) (macro-average) impact of t-SNE for clinical text categorization by comparing different machine learning algorithms (a) KNN, (b) Logistic Regression, (c) Naive Bayes, (d) Random Forest, (e) XGBoost, and (f) MLP.

Class-wise F\(_1\) (macro-average) impact of t-SNE for clinical text categorization by comparing different machine learning algorithms (a) KNN, (b) Logistic Regression, (c) Naive Bayes, (d) Random Forest, (e) XGBoost, and (f) MLP.