Fig. 11
From: Nonlinear flow characteristics of cement grout in fractures with varying geometries

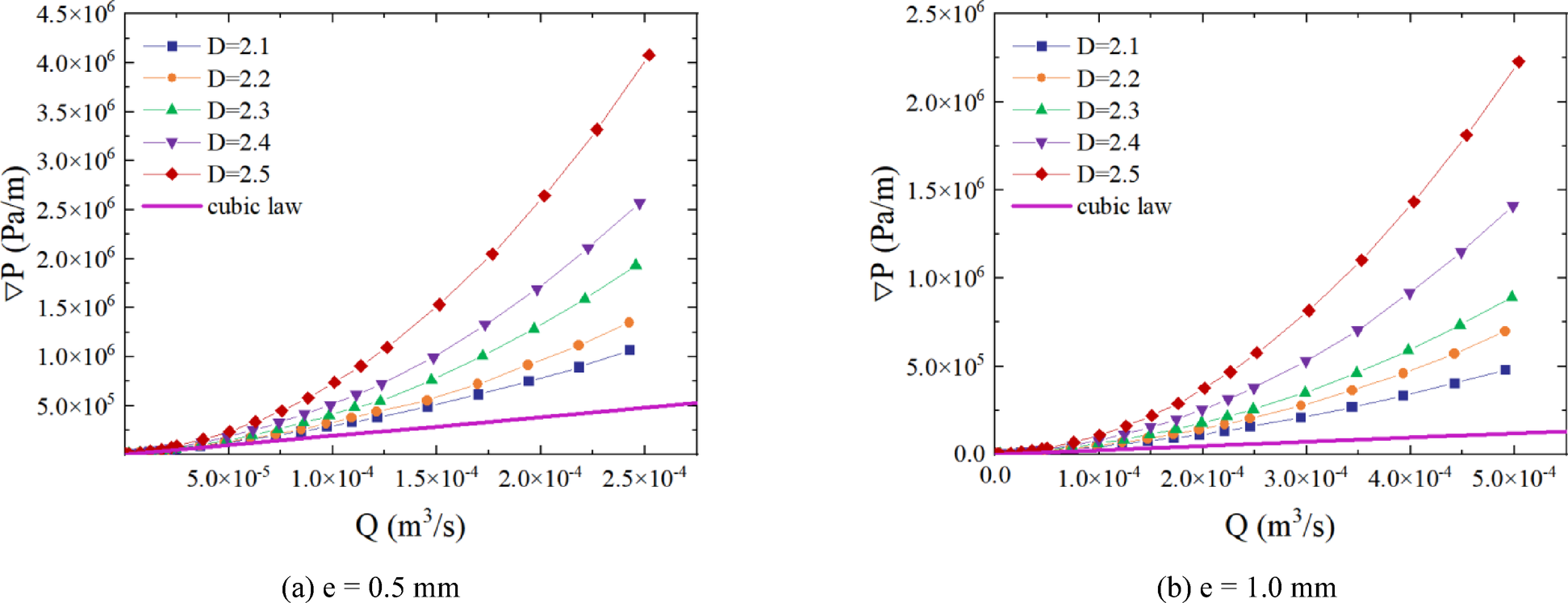
Pressure gradient versus flow rate for tensile fractures (Water).
From: Nonlinear flow characteristics of cement grout in fractures with varying geometries

Pressure gradient versus flow rate for tensile fractures (Water).