Fig. 5
From: Nonlinear flow characteristics of cement grout in fractures with varying geometries

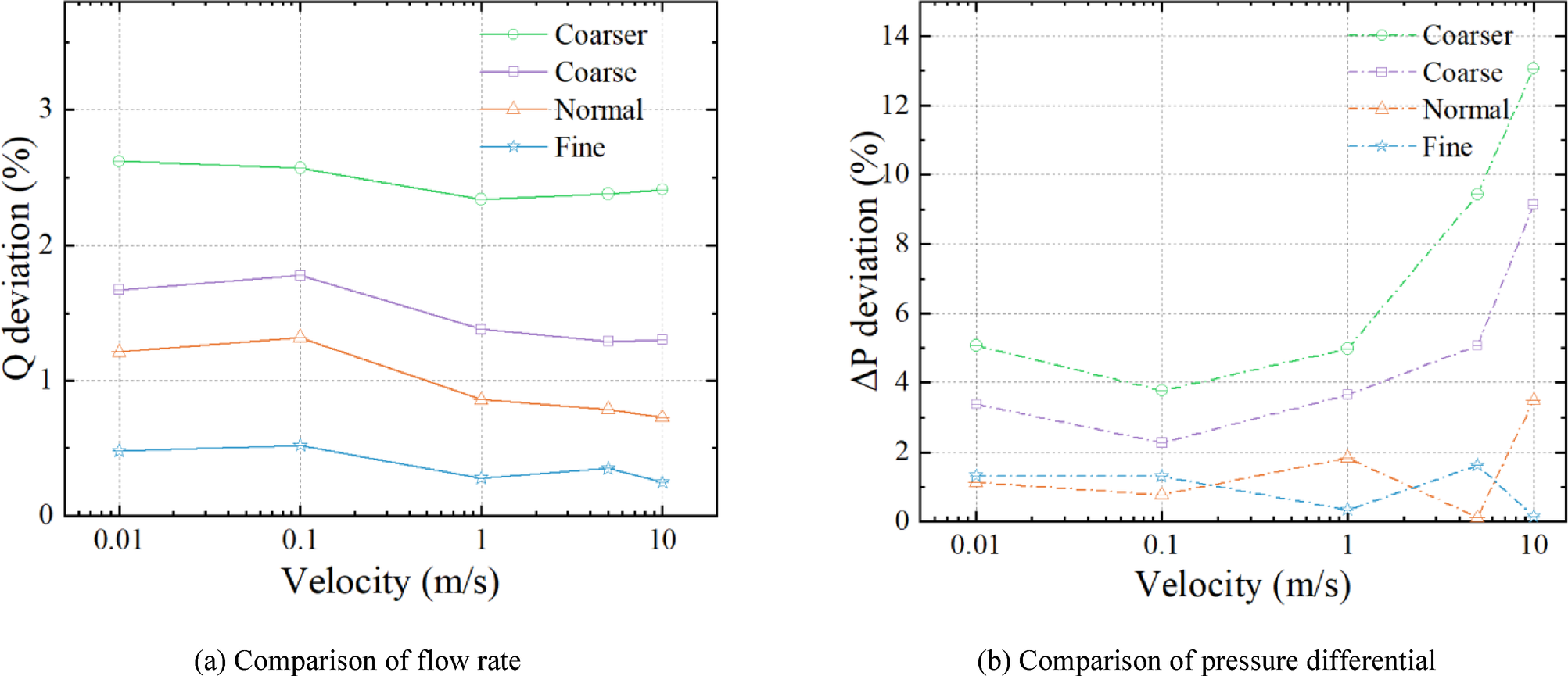
Computational results for shear fracture with varying mesh sizes.
From: Nonlinear flow characteristics of cement grout in fractures with varying geometries

Computational results for shear fracture with varying mesh sizes.