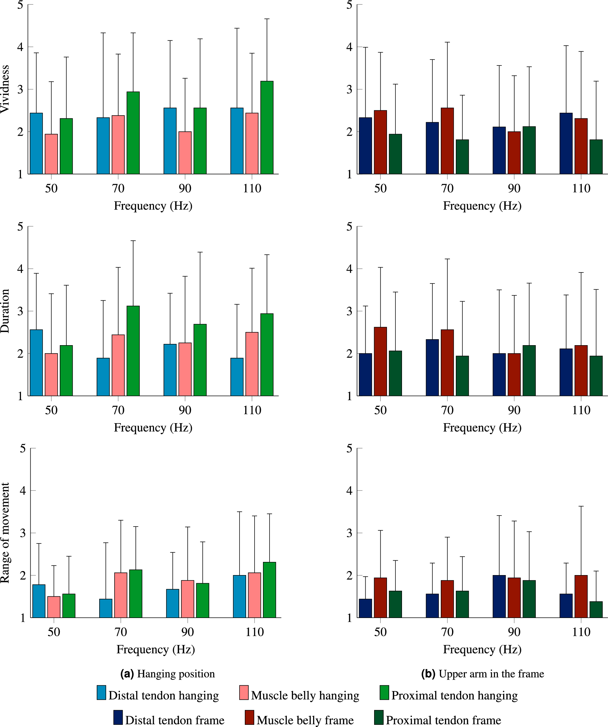
Fig. 5
From: The proprioception illusion can simulate limb movement in persons with limb difference

Means and standard deviation for the ranked factors (vividness, duration and range of movement) of the illusion across all frequencies for the different stimulation sites and both upper arm positions.