Abstract
The proprioception illusion occurs when cutaneous vibrations are applied to a muscle tendon which triggers nerves to signal to the brain that the muscle is lengthening, and therefore the limb is moving. This phenomenon has been used in a wide range of studies. One potential use of the illusion is for sensory feedback for limb prostheses, but this has not been investigated using non-invasive methods. This is the first reported non-invasive test of the illusion with limb different participants. The responses of sixteen persons with upper arm differences (eight congenital and eight acquired) were measured over a range of frequencies and locations. Eighty seven percent of participants (n = 14) confirmed feeling illusionary movements, only two participants did not. Participants felt extension (n = 7) and flexion (n = 7) of the elbow, humeral abduction (n = 10) and adduction (n = 6) and rotation of their upper arm (n = 9). Statistical analyses of 5-point likert scores revealed that arms in the hanging position had significantly more vivid (mean ± SD: 2.47 ± 1.44 vs. 2.13 ± 1.35) and longer duration (2.52 ± 1.52 vs. 2.19 ± 1.47) illusions with a greater perceived range of movement (1.91 ±1.09 vs. 1.78 ± 1.09) compared to when the arm was supported. There were no significant differences in illusionary movements between stimulation frequencies or sites.
Introduction
The origins of commercial artificial limbs date back to the American Civil War1, since when the adoption of modern materials and electronics has transformed the designs and allowed them to be adapted to the individual. The aetiology of a particular limb difference varies according to the individual, but they can be distinguished in two broad categories: Those who have acquired an amputation during their life, and those who were born with a limb difference (congenital). Every potential user of artificial limbs is unique in their requirements and is considered as individual, but generally, both groups can be fitted with similar prosthetic solutions. There are two basic forms of prostheses; active and passive devices. Body powered active prostheses have cables pulled by one body part relative to the device, that moves the joints of the prosthesis2. This movement is felt by the operator and therefore allows them to sense the movement of the limb. Externally powered devices separate the actuation from instruction and this removes a major feedback channel to the user from the prosthesis, making control and sensing position of the prosthesis a challenge3. Users of externally powered prostheses derive the majority of their feedback from vision, with some incidental feedback from motor vibrations and mass distribution as the device moves4,5.
The lack of appropriate feedback has been seen as a reason for the significant rejection rate of upper limb prostheses6, therefore the addition of an appropriate feedback method could improve the embodiment of the user with their prosthesis7, which could reduce the frequency of rejection, and improve user’s function. However, Zbinbden et al.8 advise caution over identifying a direct relationship between embodiment and feedback as they suggest that a consistent definition of what is embodiment has not been applied. Those authors describe embodiment coming from a range of attributes where multiple feedback sensations (touch, force, temperature, joint angle) have to be temporally and spatially consistent with each other and the device, which has to move appropriately when commanded, so that the person may feel in control of the prosthesis and that it has become a part of them. Similarly, Sensinger and Dosen suggested that electric stimulation feedback may not be a sufficient and necessary explanation for prosthetic abandonment9.
In addition, in those with a unilateral difference, there is a tendency to favour the intact contralateral limb, which risks causing overuse injury and resulting in functional limitations in later life10. It is therefore important to investigate improvements to prostheses in support of the contralateral limb, to achieve functional gains.
Sensory feedback has multiple uses in movement control. Feedback is essential to learn new skills as it helps individuals to develop internal models of their movement patterns11. With feedback it is possible to correct and improve movements12. In particular proprioceptive feedback helps the central nervous system (CNS) to optimise movement patterns13. Feedback will also have a psychological effect if it improves agency and embodiment. This positive impact might also influence motor control9.
It is the idea of combining multiple sensations to create the feeling of ownership, that has encouraged research into multiple different forms of simultaneous feedback14,15. Electrical stimulation of force and touch sensations are easily achievable, but the feeling of proprioception is more complex and most attempts to create it tend to use some sort of mapping of one sensation for another to create reliable feedback16. However, recent progress in creating the true sensation of joint position has been made17.
Feedback can be achieved by stimulation, applied directly to the nerves via implants18,19,20,21 or transcutaneously22. Transcutaneous stimulation is more variable and requires a larger power consumption, however has potential benefits of widespread use through being non-invasive. The sensation is generally not the same as a natural feeling but has been reported to have potential for providing proprioceptive feedback23,24.
There are a number of surgical interventions that can create feedback opportunities: Targeted Muscle Reinnervation (TMR)25,26 and Regenerative Peripheral Nerve Interfaces (RPNI)5,27 redeploy severed nerves from the missing segment and muscles (or parts thereof) that no longer have a segment to move, to amplify the neural signal and provide clearer control signals. These techniques can also be used as a sensory input to allow precise location of nerves that can be stimulated via vibration or electrical signal to give homologous feedback19, which can make the device more acceptable28. Osseointegration is now a routine procedure to attach the prosthesis directly on to the bones of the residuum29. More recently, the abutment has been used as a conduit for two way neural connection to the prosthesis, with such successful embodiment that the user will sleep with their prosthesis on1,30. The agonist-antagonist myoneural interface (AMI) is the most physiological surgical intervention of all. The physical relationship between antagonistic muscle pairs within the remnant limb are re-established surgically, to create synergetic contractions that restore much of the sense of proprioception for the body segment the pair previously moved31.
The practicalities of developing any implanted device or surgical intervention to use in routine clinical application tends to preclude the majority of feedback methods. Implants can deliver the best and most precise signals, but there are still some hurdles to overcome before it is routinely possible24. The legislative barriers to allow their routine use have to be cleared32. Even with these matters addressed, the invasive procedures will remain unpopular with many users as they require additional surgery. It will also be unpopular with healthcare funders as the price is significantly higher than for a conventional prosthesis. This is likely to prevent widespread use for a long time. TMR is extremely painful while the innervation is taking place (although it leads to a significant reduction in long term pain)1. Additionally, to successfully conduct the surgery any potential user has to possess the physical structures, such as the length of the residuum or sufficient intact nerves and muscles in order to allow the reconstruction/implantation to take place. Finally, there is an entire class of prosthesis users for which this approach is entirely inappropriate; those with a congenital difference. Their development (nerves and muscles) are often not the same as the majority of the population33,34. Importantly, the person is not missing a body part, their structural anatomy is simply different. Thus, there is a widespread need to develop other cheaper, non-invasive tools to supply feedback for external limb prostheses.
One possible feedback method is the proprioception illusion which was originally described by Goodwin35. He showed that it is possible to manipulate a person’s perception of the position of their limbs using cutaneous vibrations. Goodwin observed the underpinning reason for the illusion is due to a stimulation of muscle spindles35. Kinaesthesia (the sense of position and movement) is provided by the muscle spindles which react to muscle stretch. The CNS provides the sense of effort, and together with the muscle spindles, they create this sense of position36. Subsequently, many studies have investigated this phenomenon to explore the mechanics of proprioception37,38, sensory integration39,40, and the underlying neurophysiology41. It has been used to investigate rehabilitation from stroke42, pain43, and sensorimotor deficits42. Its use as haptic feedback in Virtual Reality (VR) systems has been explored44,45,46,47. Despite this body of evidence supporting the phenomenon and its potential as a non-invasive, intuitive feedback method in external limb prostheses, to date, no published studies have investigated proprioception illusion in individuals with limb differences.
The movements experienced by those reporting proprioceptive illusion corresponded to those that occur when the stimulated muscle was stretched (e.g. biceps stimulation leading to elbow extension). The characteristics of the illusion experienced, appear to be reliant on a number of factors; including vibration parameters and prior exposure to the stimulus. The success rate for the proprioception illusion in adults without a limb difference for naive participants is between 56 and 94%48,49,50. Higher rates, up to 100%, can also be achieved by supplying more information about possible illusions to the participants prior to stimulation, or by recruiting participants who have experienced movement illusions before48,51,52. The best results have been reported to occur when the vibration parameters are closely controlled (frequency and amplitude)48,51,53. Taylor54 provides the fullest practical guide to creating the illusion and summarises the main contributing factors, including both vibration parameters and factors of the environment. Previous studies have investigated the illusion on different muscles in the human body, resulting in movements of fingers, arms, head and legs35,48,51,52,53.
An additional factor which may demonstrate promise for the illusions as a feedback approach in prosthetics is that not only have illusions been elicited of movements which are anatomically feasible, but also those which are not. For example, the so called “Pinocchio effect”39, occurs when participants are asked to hold their nose with their index finger and thumb while their biceps is stimulated. The illusion of an extending elbow and the holding of the nose, cannot be reconciled, so the CNS interprets it as the nose growing. This phenomenon supports the possible applications of vibrations to create an artificial sense of movement, for example within those with congenital limb difference where a joint is not and has never been present. Illusions can be enhanced when the participants can virtually see the movement they are supposed to feel.
For the application of feedback to prosthetic limbs, methods investigated tend to supply haptic information to parts of the body distant from the source of control information, or in a different form to the joint position itself55,56. This makes it necessary for the user to translate the information internally. This is possible, but harder for the user and it requires greater cognitive effort and time to learn and use the interface. Thus it is less likely to be accepted by users who simply want to get on with their lives1. The proprioception illusion’s advantage is that it supplies the right feedback via an appropriate route into the CNS, and therefore should be easier for potential users to adopt.
One method that does supply feedback of the correct form is Extended Physiological Proprioception, which was developed by Simpson57,58, and has been explored by other groups59. Simply put: It is force input and position feedback. It is shown to be effective because it feeds the appropriate information back to the point of application. However as attractive as it is, it has proved hard to achieve practically in the field as it requires actuators of high enough performance to create an ‘unbeatable servo’ (i.e. one that can move as quickly as the bodily input), which has so far proved to be too heavy and expensive to be used in a real prosthesis.
There are currently no records of the cutaneous illusion being applied to persons with a congenital limb difference. This is important, individuals with congenital limb difference have not experienced any change or loss of a limb but have a different musculoskeletal structure. They are unlikely to want surgical interventions to facilitate adaption to an advanced prosthesis60. Thus, one question being addressed in this study is to explore if this method may be appropriate for persons who have a congenital difference as well as those with an acquired loss. Different causes for limb absence may present different challenges for the success of the application of the phenomenon to exo-prosthetics.
The application of illusionary movements in people with acquired and congenital limb difference has a number of complexities and unknowns. In people with acquired limb differences the nerves and muscles are cut during amputation and thus the controlling and sensory pathways are disturbed. These altered neural pathways may impact the success of eliciting a sensory illusion. In people with congenital limb differences there are also different neurological structures but these have developed since birth and may influence whether the mechanism of illusionary movements through stimulation of muscle spindles is achievable. Lastly, whilst there are generalisable characteristics of limb difference, variability in anatomy and usage is large which does pose a challenge when looking to develop a single approach. Additionally, previous studies suggest that the experience of illusionary movements is very individual and may depend on personal sensitivity, a characteristic which may be heightened in a limb different population.
The only recorded uses of the proprioception illusion in persons with limb difference has been in populations of persons with TMR61, or via direct neural implants. There are no records of this procedure being repeated on persons without TMR and this means it has not been observed in participants with a congenital difference. Marasco reported on testing the vibrations on six persons with acquired amputations and they felt the illusion61. Shehata created a movement illusion in the lower limb of a single subject by stimulating the nerve invasively and using additional skin stretch to the cutaneous vibration at the same time62. They found it created a stronger and more consistent kinaesthetic illusion and enhanced the range and speed of the illusion, but no subsequent work has been reported.
The primary aim of this study was to determine if the proprioception illusion can be triggered cutaneously in persons with acquired and congenital limb differences, and which parameters (frequency, location of stimulation) generated the biggest response (how vivid the illusion was, how long it lasted and what was the range of motion felt by the participant). Additionally, the study aimed to compare if there were any broad differences or similarities in the individuals’ reactions to the forms of stimulation. Addressing these aims will provide the proof of concept to explore the implementation of the proprioception illusion into prosthetic design. It could not be predicted a priori if the illusions could be created or might be more difficult to create in this population. We believe that this study is the first one to look at participants with a limb difference (both congenital and acquired) using non-invasive cutaneous vibrations in experimentally significant numbers.
Results
This study investigated the illusion of the moving elbow triggered by cutaneous vibrations in the population with limb differences. In total, sixteen participants were recruited; eight had an amputation, eight of them were born with their limb difference. Also the level of limb difference was balanced between the participants; eight were at transhumeral and eight at transradial level. The parameters of the stimulation were varied (frequency, three stimulation sites, arm position) to determine their effect on the perceived illusion. The experience of the participants was then ranked using three characteristics; vividness, duration of the illusion and perceived range of movement. Full method details are provided in the below method section.
If participants felt anything else than the vibrations but did not describe it as movement, this feeling was recorded as a sensation. In total, six participants reported that they experienced a sensation without a movement. Overall, only two of the sixteen participants did not experience any sensations or illusions at all. In 49% of stimulations, participants reported an illusion of movement. In a further 13% of the stimulations, the participants felt a sensation but without perceived limb movement being reported.
Ten stimulation scenarios triggered repetitive movements while the remaining led to single movements. Illusions lasted as long as the stimulation and the arm stayed in the perceived position until the vibration ceased. After the stimulation stopped, the arm was perceived to return to its initial position. The proportion of sensations and illusions experienced over all different vibration scenarios are shown in Fig. 1. Across all frequencies there were generally more sensations felt than illusions experienced.
The proportion of those who experienced sensations and illusions for different frequencies, stimulation points and arm positions. The colours indicate the different stimulation sites and the arm position and are grouped by the controlled stimulation frequency. The colour bars show how often a movement illusion was felt dependent on the sites. Grey bars show how often a sensation was experienced, i.e. when no movement was perceived.
The stimulation of the distal tendon (DT) led to a range of feelings in both arm positions (hanging and in the stand), but did not result in a greater frequency of movements reported compared to the other sites. The proximal tendon (PT) was the more successful stimulation site, where 75% of participants experienced a perceived movement illusion at 70 Hz and 110 Hz with a hanging arm. Illusions resulting from vibrations over the muscle belly (MB) were experienced in around 50% of participants for all frequencies while the arm was hanging. When the arm was fixed in the frame, the vibrations led to fewer sensations and perceived movements. Stimulations at 90 Hz resulted in a more constant effectiveness of 50% compared to other frequencies no matter which site was stimulated and in which position the arm was.
Phantom limb pain/McGill pain questionnaire
Three participants reported existing phantom limb pain and thus answered the McGill pain questionnaire63 before and after the experimental session. Of the respondents, two did not notice any change in their phantom limb pain after the vibrations. In contrast, the participant with bilateral limb loss had phantom limb pain on both sides and completed the pain questionnaire before and after the testing session for both arms. On their transradial side (right) they did not notice any change in the pain. On the transhumeral side (left) the pain worsened over the experiment and became more pronounced. The pain score increased from 17 to 29 (maximum possible pain score is 78).
Statistical analysis
The results of the ANOVA revealed significant differences for the arm position in all three factors, in all of them the hanging position led to higher ratings for vividness, duration and range of perceived movement. Hence, when the arm was hanging besides the body, the participants experienced more vivid and longer illusions with a greater range of movement than when the arm was stabilised in the frame. Figure 2 shows the means for all three factors for hanging and in the frame. Significant relationships are indicated. The significance was highest for the duration (\(p<0.01\)), both vividness and range of movement had a significance of \(p<0.05\). Neither frequency nor stimulation site led to a significant difference in the perceived outcomes.
Ratings on 5-point likert scores for vividness, duration and range of movement, for both arm positions. **\(10^{-3} < p \le 10^{-2}\), *\(10^{-2} < p \le 0.05\).
In addition, the ANOVA determined if the interactions of the factors had an effect. It revealed interaction effects for arm position and stimulation site as well as stimulation site and frequency. Figure 3 shows the effect of the stimulation sites and arm position on the success of the illusion experienced. In the hanging position the illusions were experienced more vividly (\(p< {0.01}\)) on the muscle belly than on the proximal tendon. For the proximal tendon, the hanging arm position led to significantly more vivid (\(p<{0.001}\)) and longer duration (\(p< {0.01}\)) illusions than for the arm constrained by the frame.
Interactions of arm positions and stimulation sites for vividness and duration. ***\(10^{-4} < p \le 10^{-3}\), **\({10^{-3} < p \le 10^{-2}}\).
An interaction of arm position and frequency was shown (Fig. 4) for the duration and the range of movement. When the arm was in the hanging position and stimulated with a 70 Hz signal it resulted in longer illusions (\(p<0.05\)) than when it was in the frame and at 110 Hz. In the hanging position, 110 Hz led to illusions of a higher range of movement than 50 Hz (\(p<0.05\)).
The interactions between arm positions and frequencies for duration and range of movement. *\(10^{-2} < p \le 0.05\).
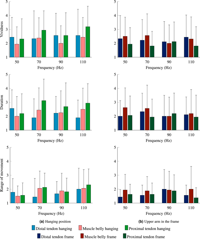
The means and standard deviations for every stimulation scenario are depicted in Fig. 5. Data for the fewer distal tendon sites (n = 7) is included for comparison, but statistical comparisons are not made. The proximal tendon was most effective in the hanging position for all three factors. This was only exceeded for 50 Hz. The muscle belly received the highest rankings when the arm was in the frame. Moreover the responses at the muscle belly did not show a change between the hanging and in the frame supported conditions as it did with the distal and proximal tendons.
Means and standard deviation for the ranked factors (vividness, duration and range of movement) of the illusion across all frequencies for the different stimulation sites and both upper arm positions.
Effect of stimulation set-up
The most powerful illusion was determined by the ranked sum of all three scores. Two participants did not experience any illusion in the first block thus could not rank the stimulation scenarios, hence, the data is from 14 participants. Rankings for the distal tendon are based on the seven whose limb difference still meant that a distal tendon was able to be stimulated.
Figure 6 shows the most powerful illusions. The specific frequencies are shown on the outside of the chart. Thus the results of proximal stimulation occupy half of the chart with five in hanging and two in the stand. The hanging illusions are two at 70 Hz and three at 110 Hz, and two in the stand, one each for 90 and 110 Hz.
The distribution of the most powerful illusions for location, frequency and arm position. Left side of figure Arm hanging. Right side Arm in the stand. Different stimulation locations are indicated by three colours (Blue—distal tendon, Red—muscle belly, Green—proximal tendon). The centre shows the numbers across all the stimulation sites, the outer ring breaks the number into different stimulation frequencies, with the stimulation frequencies indicated on the outside. The total numbers for hanging and in the stand are the same, dividing the chart in half. The centre section illustrates the total numbers for each location and this is divided into the particular frequencies in the outer ring. The specific frequencies are shown in the outside of the chart.
Generally, there was no single outstanding combination of stimulation site and whether or not the arm was supported. There were equal numbers for hanging and in the frame. Half of the most powerful illusions (n = 7), were from a stimulation of the proximal tendon. Four experienced the greatest illusions on the muscle belly and three on the distal tendon. Overall higher frequencies induced more powerful illusions, seven for 110 Hz, three at 70 Hz, two at 90 Hz and only one for 50 Hz.
Verbal feedback
Fourteen (87%) participants reported illusions of limb movements, phantom limb sensations or illusions of phantom limb movements. Both vibrations and all types of illusion were perceived as comfortable and did not create harmful feelings; none were perceived as irritating or confusing. This includes participants with congenital limb difference.
Stimulating the residual limb triggered mainly phantom limb sensations that were felt regularly in daily life from the participants. In three of the participants the stimulation triggered phantom limb sensations and movements where the participants had never felt any phantom limb sensations previously. All of these participants were born with a limb difference. The phantom limb sensations and movements were mainly perceived in the phantom fingers and hand. The reported movements comprised tapping, gripping illusions, closing or opening the hand or affected only two or three fingers.
Overall fewer phantom limb sensations or movements were felt when the arm was in the frame and there were fewer illusions of flexion and abduction. Furthermore, the upper arm was less often involved in the illusions. All phantom arm sensations consisted of feelings of having (or growing) a forearm or hand. Phantom limb illusions included movements of forearm, hand and fingers. Overall the participants reported that those experiences were relaxing or comfortable, even though some were completely new.
Additionally, participants reported to experience sensations and movements that could not be clearly classified or occurred only rarely. These included activation of the biceps, muscle spasms, fingers pushing together, swimming movements, the feeling of the arm hanging outside a car window or grabbing movements. Also specific movements of the fingers could be distinguished clearly, for example three fingers were felt (thumb, index and middle finger) and two moved (thumb and index finger).
Discussion
This work is the first study to investigate proprioception illusions in person with limb difference and is the first stage in assessing if the proprioception illusion is a useful tool for supplying effective non-invasive feedback to a user of an external limb prosthesis. It aimed to determine if the proprioception illusion could be triggered cutaneously in persons with acquired and congenital limb differences with the eventual goal of establishing if it could be an effective feedback method for prosthetic limbs. As this was the first ever study to investigate if illusions could be elicited in this population it was not designed to allow comparison between these groups.
The majority (87%) of participants did feel some sensations and felt more movements than simply a single joint flexing. This study showed a high success rate of creating illusions compared to previous findings48,49,50. The highest number of illusions were felt when the proximal tendon was stimulated at 70 or 110 Hz (75%), but all frequencies were more effective with the proximal tendon than further down the muscle. The arm position did have significant impact on the illusion, as did the interactions of frequency or stimulation site and arm position.
It has been established that humans combine different sensory inputs into a single sensation14,15,64, while two major sources of stimulation had been reduced as much as possible (sound and vision), the resulting mixture of sensations felt by the participants might still have reflected the input of other modalities, such as touch.
It has been suggested that the neglected cortex will reorganise following amputation65. More recently this has been overturned by high resolution functional MRI data, showing little or no changes in the motor cortex, even thirty years post amputation66,67. This suggests stability, meaning the illusion felt by someone many years post amputation should be similar to that felt by the recently amputated, or unimpaired population; this study is consistent with that finding.
An exciting and novel aspect of this study’s population, distinct from the all previous studies investigating proprioception illusions is the absence of the body segment involved. The result is that the participants with limb difference experienced movements and illusions of parts of their limb that did not exist. This result opens up new areas of investigation and demonstrates proof of concept for use of this technology as a feedback mechanism in persons both with congenital and acquired limb difference. For this study we have referred them as “phantom illusions”. Creating phantom illusions is of particular interest for the application of sensory feedback for prosthetic limbs, but could be used in other areas of investigation.
What is notable is that the experience of those with a congenital difference was similar to those with acquired loss. Work on the existence of phantom limbs for congenitally different limbs suggests the development of physical structures within the cortex, independent of physical development of the limb, and as a result aplastic phantoms are felt68. To explain our findings in people with congenital limb differences, the vibrations applied to evoke proprioception illusion may trigger processes in the brain that are first laid down in the foetus but could not be connected to an absent limb. This study cannot unequivocally confirm this idea, but it contributes to the collected knowledge and may offer a new insight into this phenomenon and a new route in which to investigate it.
Tidoni suggested that illusions are stronger when the non-dominant arm is stimulated53. This is useful for prosthetic applications, for persons with a single side difference, the shorter limb is more commonly the non-dominant and the intact arm becomes the dominant arm following amputation69. For congenital differences the unaffected limb is by definition the dominant side.
This study set out to include both types of limb absence, acquired and congenital. From analysis of their verbal feedback and overall experience of participants in the two groups, it can be said that there were no notable differences in their experience. The two participants who did not feel any illusion during the data collection, covered both groups. There was also no difference in which illusions were experienced between groups. Individuals with acquired loss and a congenital absence stated that the experience of illusions was comfortable and interesting, but not painful. Three participants were included who experienced phantom limb pain in their daily life. One of those noted an increase in their phantom pain level after the experiment while the remaining two experienced no difference in their pain level. This study did not aim to investigate the effect of the illusion on phantom limb pain. However, for an application in prosthetics the risks of an increase in pain should be considered. Previous studies have shown that sensory feedback can decrease phantom limb pain which may be a further benefit of this approach for certain users70. For the individual whose phantom limb pain increased during the experiment, it may be that the increase in pain was due to the stimulation properties rather than the illusion. If the stimulation itself leads to sensations of phantom limb pain, the stimulation properties could be adjusted (lower frequency, different stimulation point) to reduce the risk of phantom limb pain; however, this is beyond the scope of the current study. Generally, the results look promising as no phantom limb pain was generated in subjects who never experienced it before and showed no change in two of three participants with phantom limb pain.
The level of limb absence does not appear to influence outcome of proprioception illusions. These are important insights when investigating this method in future as it shows that cutaneous vibrations have the potential to be used as sensory feedback, regardless of the cause and level of limb difference.
The strongest illusionary responses to stimulation were across both hanging and supported in the frame. The stimulation of the proximal tendon in an unsupported arm demonstrated the most success which is a consistent finding to previous studies48. This is a positive finding if this technique is to be used in prosthetics as the limb differences will be of the distal end of any body segment with the remnant limb generally being unsupported when it is used.
This study suggests that both groups (congenital and acquired) can feel the illusion. An indication of the numbers of persons who could benefit and the form of their feedback are yet to be determined, but this finding implies that it might be possible to use it as a non-invasive feedback modality for both groups. There are, however, more details to be established before it can be used for this.
Persons with a congenital difference of one arm felt that the illusion they perceived was based on them mirroring their contralateral limb. However, one case had differences on both sides. They possessed only one elbow and it had irregular development. Their particular differences meant the elbow’s movement was paradoxical (i.e. flexor contraction resulted in posterior motion of the elbow). Thus they had no personal model on which to base their perception. Even so, over the course of the trials they realised that the illusion they felt was a conventional elbow, albeit one totally novel to them.
Electromyography is the most common source of control signal for a powered prosthesis. There is a potential clash between the use of the muscles as a source of EMG signals to control the limb and its use as a feedback site. The best illusions are generated when the muscle is flaccid54. Conventional control of a prosthetic elbow uses the muscle that is close to the anatomical role. For example; for a prosthetic elbow to flex the biceps are tensioned, while to feel the flexion illusion the triceps would be stimulated (and vice versa). Thus during the operation of the elbow the opposing muscle should be relaxed. However, some users do have some co-contraction of both muscles that might reduce the effect. Additionally, the interaction between vibrator and prosthesis noise and the relative changes in mass distribution as the prosthesis move will have some impact on what is perceived, but if it is a consistent change it is possible that the combination of stimuli will be useful to the wearer. In addition, there is evidence that we unconsciously combine different inputs into a percept and so the resulting sensations could reflect this.
If these potential limitations are overcome, this study identifies the distinct possibility of proprioceptive illusion being applied in prostheses to facilitate greater user feedback and control. However, there remains the practical nature of a prosthesis application; reduction in the size of the vibrator and the selection of the most appropriate timing for feedback.
The quality of proprioceptive feedback decreases with age71, but there have not been any studies conducted to investigate the effect of age on the proprioception illusion. The number of amputations increases with age (especially for lower limb loss, due to vascular damage). The age profile of this study ranged from the oldest participant of 79 years old and the mean age was 55 years. Similarly there are no systematic studies on the long term stability of the illusions if participants habituate to them, which will be necessary to establish if this technique can be used routinely.
Methods
Participants
Sixteen participants with limb difference took part in the study, their characteristics are described in Table 1. Participants were recruited from Enablement Centres in the UK. Inclusion criteria were: Adults (18 years or older), amputation or congenital difference of an upper limb (transhumeral (TH) or transradial (TR)) and manageable or no phantom limb pain (as defined by the patients themselves). Exclusion criteria: Participants who could not describe their pain level as non-existent or at least manageable and any neurological disorders (e.g. stroke, Parkinson’s).
Ethical approval was provided by the NHS Health Research Authority and the Camden and Kings Cross Research Ethics Committee (IRAS Project ID: 293334). All experiments were performed in accordance with relevant guidelines and regulations. Informed consent was obtained from all subjects. Three NHS Enablement Centres acted as study sites. Recruitment was conducted by clinicians via the centre and in addition via word of mouth within the universities (see Table 2). One participant had bilateral arm loss. Both sides were tested, but to ensure the data analysed remained independent and to balance the sides tested, only the data from transhumeral side was included in the analysis.
All but one participant used a prosthesis in daily life. The devices used included cosmetic arms, body-powered devices, multifunction hand and passive tools for specific tasks (e.g. for sports). Some used their device daily, some only when they needed it to do specific tasks or when they left the house. Prosthesis use was not considered in any way as part of the study criteria.
Three of the transradial participants were tested only on their upper arm because of time constraints or that the remnant limb was too short to attach the motor securely. In total there were sixteen stimulation sites on the muscle belly and the proximal tendon and nine distal tendon sites.
A breakdown of the details of each individual is in Table 3. As it was not possible to know what sort of effect the vibrations would have on the phantom limb sensation and, more importantly, on any phantom pain felt by the individual, it was necessary to minimise the risk. Thus participants were only recruited if they described their pain level as non-existent, or at least manageable. The data collection was conducted with trained clinical staff on site. Before and after the data collection the participants answered the McGill pain questionnaire63.
The participants were asked to describe and score the illusions they felt. Any feeling different to that of a vibration (but without any perceived movement of the joint) are referred to as a sensation. If a movement of a joint was felt it was described as a movement.
As this study in particular was not an investigation into the underlying physiology of the illusion, but simply a program to assess if the illusion could be used as prosthetic feedback, all efforts were taken to make sure the tests were as successful as possible. Participants were told about the illusion ahead of the tests and later follow-on tests were made with the same (successful) individuals.
The experimental model employed in this study is the simplest appropriate to prosthetic use. In addition to stimulation of the biceps brachii resulting in limb illusions in people with intact limbs, the muscles provide easily accessible anatomical sites on the muscle48,53,54 and an illusion that is a simple movement, easily described by experimenter and participant.
Prior to this study we performed the assessment on members of the modal population (i.e. non-different—ND). We chose an existing experimental setup which has been clearly described and investigated48,53. In these earlier studies, the participants were asked to place their arm in a stand, the elbow was positioned at an angle of 120\(^{\circ }\). The arm was held in a stable position, without any contact to another body part and it ensured that their biceps were relaxed. It has been observed that it is easier to create the illusions in relaxed muscles than in ones that are tensed54. It has been established that individuals use a range of cross modalities (different unconscious sensory pathways) to create a sense of their situation64,72. Thus the participants had their eyes shut and white noise was played through noise canceling headphones to remove two major sources of additional stimulation48.
In addition to the unique population being studied in this area of research, another aspect of our experimental design that was novel is that the vibration frequency was controlled using a closed loop controller. No existing publication details the way that the frequency of their vibration was measured or controlled. Observations of vibrators which use a motor with an offset mass, show that the output frequency does not have a simple relationship with the excitation voltage. The frequency depends on many variables, such as the motor mass and the tightness of the link to the limb. To remove this uncertainty, we chose to use closed loop control. The vibrator system included an accelerometer, Analog Devices ADXL335 (www.analog.com) and a microprocessor controller, Arduino Uno with a motor shield (www.arduino.cc) to detect the frequency and adjust the input voltage so it matched the required frequency. The resulting system was able to control the frequency to within 4 Hz73,74.
The protocol was developed from earlier work in unimpaired populations by Tidoni and Ferrari48,53. To provide baseline data, it was performed on twenty-five participants with no upper limb differences73,74. Based on the success of the protocol there were few modifications for the limb difference cohort (changes made are outlined appropriately).
Participants sat with their arm being measured placed in two different positions: either hanging beside them without touching any object and their body or supported in a frame while their elbow was bent in an angle of 120\(^{\circ }\) with the biceps relaxed (see Tidoni and Ferrari48,53 and Fig. 7).
The arm of the subjects was either in a relaxed hanging position besides the body or resting on a frame while the motor was placed on three different positions (the distal and proximal tendon and the muscle belly) of the biceps brachii.
For the initial population the vibration was applied to three different sites on their biceps brachii73, on the distal tendon (DT), proximal tendon (PT) and muscle belly (MB). When the protocol was undertaken with the limb different population, the use of the distal tendon depended on the anatomy of each individual. The DT and PT were identified through palpation at the level of the elbow and the armpit, respectively. To localise the MB, the participants were asked to contract their biceps and the central point at the biggest arm radius was identified as the MB. The order of the stimulation sites were randomly chosen for each participant.
The sites were stimulated at four frequencies; 50, 70, 90 and 110 Hz48,53,54. Each stimulation lasted 30 s, the order was randomly determined. The literature shows a variation in participants responses. Previous studies report that some illusions can take up to 15 s to start feeling a response54. It also suggests that after 15 s a reversal effect of the illusion can occur and the induced movement illusion changes direction or the illusion may stop54,75. To observe the effect of any of these variations, a longer stimulation time was chosen. Between the stimulations there was a break of at least 30 s to minimise after-effects of the previous stimulation54.
The data were collected in three blocks:
The first block was intended to accustom the participants with the illusion. It consisted of twelve stimuli with the arm of the person hanging beside the body. Between the stimulations there was a break of at least 30 s. In this break the participants were encouraged to discuss their experience.
For the second block the participants were tested with their arm both in the hanging and the stabilised position in a frame. The order was determined randomly. Again the four frequencies were measured on the three stimulation positions on the upper arm (24 stimulations in total). This time the participants did not only have to report what they felt after every stimulation but additionally they were asked to push a button with their contralateral hand as soon as they started to feel an usual sensation or an illusion in their hand or arm. The time when they pushed the button was recorded. If they felt an illusion they were asked to rank their experience regarding three factors: the Vividness, Duration and the Range of Movement. The ranking was on a 5-point Likert scale where 1 was the lowest and 5 was the highest ranking. The participants were asked to compare the illusion regarding its vividness to a natural movement and to rank the range of movement compared to the maximum possible extension. The ranking was explained to every subject as follows:
-
Vividness: “One would be that you did not feel any movement and five would be as a movement that you voluntarily did on your own.”
-
Duration: “One would be equivalent that the illusion did not start and five would say that the illusion was there over the entire stimulation period.”
-
Range of Movement: “One would be that the arm did not move at all, while five is equivalent to the maximum range of that type of movement.”
If an illusions of an arm movement was perceived, the experimental session was extended with a short third block. Before it started, the participant’s ability to judge their arm movement was tested. While the participant had their eyes closed, the experimenter applied a passive movement with their non-dominant arm. Then the participant was asked to repeat this movement with their dominant arm. Both arm extensions were measured and if the difference was less than 5\(^{\circ }\), the data collection continued or the test was repeated. Table 4 summarises the conditions tested and the outcome measures collected.
The sum of all three factors determined the ranking of the individual’s experience. The stimulation with the highest rank defined the most powerful stimulation for that participant. The participant was then again stimulated three times with that combination. In this block they were also asked to match the perceived movement with their collateral arm and the final range of movement was then measured with a goniometer.
What the participants felt and how they experienced the illusion was documented. The recorded outcomes of the experimental sessions were:
-
Verbal feedback of their experience during the stimulation
-
Start time of the illusions
-
Ranking of vividness, duration and range of movement
-
Angle through which the illusion moved
The practicalities of different limb lengths meant that it was not always possible to stimulate the distal tendon or to rest the arm in the frame. If it was not then only the other locations were stimulated and it was arranged so that the remnant limb was resting on a support.
Statistical analysis
Illusion success rate was defined as the number of illusionary movements felt divided by the total number of participants. Effectiveness was calculated for each stimulation site and presented as a percentage (number of illusions divided by number of stimulations).
The Likert scales were assumed to be interval level data, and therefore non-parametric statistic tests were used. Vividness, Duration and perceived Range of Motion of the illusion were compared between stimulation site, frequency and arm position using a three-way Aligned Rank Transformation ANOVA (ART ANOVA) conducted using R (www.r-project.org). Post-hoc analyses were conducted using Bonferroni correction where a significant effect of an independent variable was identified. Alpha level was set to \(a=0.05\) for all statistical tests.
Not every participant could be tested on all three positions due to anatomical differences, hence there is less data for the distal tendon site (9 participants) compared to the muscle belly and the proximal tendon sites and thus no statistical comparisons were made.
Conclusion
This is the first paper to investigate the proprioception illusion and to control vibration frequency using a closed loop controller to investigate if it is possible to create the proprioception illusion in persons with both a congenital limb difference and acquired limb absence. The range of sensations and the frequency of feeling the illusion is not widely different to the general population. Illusions can be achieved by stimulating the proximal tendon of the muscle, which is useful for prosthetic applications. These findings demonstrate that proprioception illusion could have application in persons with limb difference. Since this is the first study to investigate this approach in participants with limb absence and the very high success rate of eliciting feelings of movement, further research in this area should be prioritised with a view to enabling a pathway to clinical trials evaluating use of this approach in prosthetic feedback systems. Use of this approach in persons with limb difference may improve user feedback and prosthesis control to benefit user experience and quality of life.
Data availability
Data and code is available on the OFS repository: https://osf.io/pnvt4/?view_only=5bb8a82d6f5f4198b57dbfd55afc154b.
References
Kyberd, P. Making Hands: A History of Prosthetic Arms (Academic Press, The Boulevard, Langford Lane, Kidlington, Oxford OX5 1GB, UK, 2021).
Wellersen, T. Historical development of upper extremity prosthetics. Orthop. Prosthetic Appl. J. 11, 73–77 (1957).
Smit, G. & Plettenburg, D. Efficiency of voluntary closing hand and hook prostheses. Prosthetics Orthotics Int. 34, 411–427. https://doi.org/10.3109/03093646.2010.486390 (2010).
Mann, R. & S.D. Reimers, S. Kinesthetic sensing for the EMG controlled “Boston Arm”. IEEE Trans. Man-Machine Syst. 11, 110–115. https://doi.org/10.1109/TMMS.1970.299971 (1970).
Sando, I. et al. Dermal sensory regenerative peripheral nerve interface for reestablishing sensory nerve feedback in peripheral afferents in the rat. Plastic Reconstruct. Surg. 151, 804e–813e. https://doi.org/10.1097/PRS.0000000000010086 (2023).
Biddiss, E. & Chau, T. Upper limb prosthesis use and abandonment: A survey of the last 25 years. Prosthetics Orthotics Int. 31, 236–257 (2007).
Bensmaia, S., Tyler, D. & Micera, S. Restoration of sensory information via bionic hands. Nat. Biomed. Eng. 7, 443–455. https://doi.org/10.1038/s41551-020-00630-8 (2023).
Zbinden, J., Lendaro, E. & Ortiz-Catalan, M. A multi-dimensional framework for prosthetic embodiment: A perspective for translational research. J. Neuroeng. Rehabilit. 19, 122. https://doi.org/10.1186/s12984-022-01102-7 (2022).
Sensinger, J. & Dosen, S. A review of sensory feedback in upper-limb prostheses from the perspective of human motor control. Front. Neurosci. 14, 345. https://doi.org/10.3389/fnins.2020.00345 (2020).
Kidd, P., MoCoy, C. & Steenbergen, L. Repetitive strain injuries in youths. J. Am. Acad. Nurse Practitioners 12, 413–426. https://doi.org/10.1111/j.1745-7599.2000.tb00147.x (2000).
Latash, M., Bernstein, N. & Turvey, M. Dexterity and its development (Psychology Press, 2014).
Sunaryadi, Y. The role of augmented feedback on motor skill learning. In 6th International Conference on Educational, Management, Administration and Leadership, 271–275, https://doi.org/10.2991/icemal-16.2016.56 (Atlantis Press, 2016).
Dean, J. Proprioceptive feedback and preferred patterns of human movement. Exercise Sport Sci. Rev. 41, 36–43. https://doi.org/10.1097/JES.0b013e3182724bb0 (2013).
Risso, G. et al. Multisensory stimulation decreases phantom limb distortions and is optimally integrated. IScience. https://doi.org/10.1016/j.isci.2022.104129 (2022).
Preatoni, G., Valle, G., Petrini, F. & Raspopovic, S. Lightening the perceived prosthesis weight with neural embodiment promoted by sensory feedback. Curr. Biol. 31, 1065–1071. https://doi.org/10.1016/j.cub.2020.11.069 (2021).
D’Anna, E. et al. A closed-loop hand prosthesis with simultaneous intraneural tactile and position feedback. Sci. Robot. https://doi.org/10.1126/scirobotics.aau8892 (2019).
Cimolato, A., Ciotti, F., Kljajić, J., Valle, G. & Raspopovic, S. Symbiotic electroneural and musculoskeletal framework to encode proprioception via neurostimulation: Propriostim. IScience. https://doi.org/10.1016/j.isci.2023.106248 (2023).
Dhillon, G. S. & Horch, K. W. Direct neural sensory feedback and control of a prosthetic arm. IEEE Trans. Neural Syst. Rehabilit. Eng. 13, 468–472. https://doi.org/10.1109/TNSRE.2005.856072 (2005).
Marasco, P. et al. Neurorobotic fusion of prosthetic touch, kinesthesia, and movement in bionic upper limbs promotes intrinsic brain behaviors. Sci. Robot. 6, eabf3368, https://doi.org/10.1126/scirobotics.abf3368 (2021).
Segil, J., Cuberovic, I., Graczyk, E., Weir, R. & Tyler, D. Combination of simultaneous artificial sensory percepts to identify prosthetic hand postures: A case study. Sci. Rep. 10, 6576. https://doi.org/10.1038/s41598-020-62970-4 (2020).
Schiefer, M., Graczyk, E., Sidik, A., Tan, D. & Tyler, D. Artificial tactile and proprioceptive feedback improves performance and confidence on object identification tasks. PloS One 13, e0207659. https://doi.org/10.1371/journal.pone.0207659 (2018).
Chee, L. et al. Optimally-calibrated non-invasive feedback improves amputees’ metabolic consumption, balance and walking confidence. J. Neural Eng. 19, 046049. https://doi.org/10.1088/1741-2552/abb861 (2022).
Chee, L. et al. Cognitive benefits of using non-invasive compared to implantable neural feedback https://doi.org/10.1038/s41598-022-21057-y (2022).
Tian, Y., Valle, G., Cederna, P. & Kemp, S. The next frontier in neuroprosthetics: Integration of biomimetic somatosensory feedback. Biomimetics 10, 130. https://doi.org/10.3390/biomimetics10030130 (2025).
Kuiken, T., Dumanian, G., Lipschutz, R., Miller, L. & Stubblefield, K. The use of targeted muscle reinnervation for improved myoelectric prosthesis control in a bilateral shoulder disarticulation amputee. Prosthetics Orthotics Int. 28, 245–253. https://doi.org/10.3109/03093640409167756 (2004).
Hebert, J. et al. Novel targeted sensory reinnervation technique to restore functional hand sensation after transhumeral amputation. IEEE Trans. Neural Syst. Rehabilit. Eng. 22, 765–773. https://doi.org/10.1109/TNSRE.2013.2294907 (2013).
Urbanchek, M., Baghmanli, Z., Wei, B., Egeland, B. & Cederna, P. Long term stability of regenerative peripheral nerve interfaces (RPNI). Plastic Reconstruct. Surg. 127, 86. https://doi.org/10.1097/01.prs.0000406317.25436.00 (2011).
Makin, T., Vignemont, F. D. & Faisal, A. Neurocognitive barriers to the embodiment of technology. Nat. Biomed. Eng. 1, 0014. https://doi.org/10.1038/s41551-016-0014 (2017).
Brånemark, R., Brånemark, P.-I., Rydevik, B. & Myers, R. Osseointegration in skeletal reconstruction and rehabilitation: A review. J. Rehabilit. Res. Develop. 38, 175–182 (2001).
Ortiz-Catalan, M., Håkansson, B. & Brånemark, R. An Osseointegrated Human-Machine Gateway for long-term sensory feedback and motor control of artificial limbs. Sci. Transl. Med. 6, 257re6. https://doi.org/10.1126/scitranslmed.3008933 (2014).
Srinivasan, S. et al. Agonist-antagonist Myoneural Interface amputation preserves proprioceptive sensorimotor neurophysiology in lower limbs. Sci. Transl. Med. 12, eabc5926, https://doi.org/10.1126/scitranslmed.abc5926 (2020).
Graczyk, E. et al. Clinical applications and future translation of somatosensory neuroprostheses. J. Neurosci. https://doi.org/10.1523/JNEUROSCI.1237-24.2024 (2024).
Taffler, S. & Kyberd, P. Differences in the activity of the muscles in the forearm of individuals with a congenital absence of the hand. IEEE Trans. Biomed. Eng. 54, 1514–1519. https://doi.org/10.1109/TBME.2007.900817 (2007).
Swanson, A. A classification for congenital limb malformations. J. Hand Surg. 1, 8–22. https://doi.org/10.1016/S0363-5023(76)80021-4 (1976).
Goodwin, G., McCloskey, D. & Matthews, P. The contribution of muscle afferents to keslesthesia shown by vibration induced illusionsof movement and by the effects of paralysing joint afferents. Brain 95, 705–748. https://doi.org/10.1093/brain (1972).
Fortier, S. & Basset, F. The effects of exercise on limb proprioceptive signals. J. Electromyogr. Kinesiol. 22, 795–802. https://doi.org/10.1016/j.jelekin.2012.04.001 (2012).
Cordo, P., Gurfinkel, V., Brumagne, S. & Flores-Vieira, C. Effect of slow, small movement on the vibration-evoked kinesthetic illusion. Exp. Brain Res. 167, 324–334. https://doi.org/10.1007/s00221-005-0034-x (2005).
Izumizaki, M., Tsuge, M., Akai, L., Proske, U. & Homma, I. The illusion of changed position and movement from vibrating one arm is altered by vision or movement of the other arm. J. Physiol. 588, 2789–2800. https://doi.org/10.1113/jphysiol.2010.192336 (2010).
Lackner, J. Some proprioceptive influences on the perceptual representation of body shape and orientation. Brain 111, 281–297. https://doi.org/10.1093/brain/111.2.281 (1988).
Rabin, E. & Gordon, A. Influence of fingertip contact on illusory arm movements. J. Appl. Physiol. 96, 1555–1560. https://doi.org/10.1152/japplphysiol.01085.2003 (2004).
Naito, E. et al. Dominance of the right hemisphere and role of area 2 in human kinesthesia. J. Neurophysiol. 93, 1020–1034. https://doi.org/10.1152/jn.00637.2004 (2005).
Rinderknecht, M. Device for a novel hand and wrist rehabilitation strategy for stroke patients based on illusory movements induced by tendon vibration. In 2012 16th IEEE Mediterranean Electrotechnical Conference, 926–931, https://doi.org/10.1109/MELCON.2012.6196579 (IEEE, 2012).
Gay, A. et al. Proprioceptive feedback enhancement induced by vibratory stimulation in complex regional pain syndrome type i: An open comparative pilot study in 11 patients. Joint Bone Spine 74, 461–466. https://doi.org/10.1016/j.jbspin.2006.10.010 (2007).
DiZio, P. & Lackner, J. Proprioceptive adaptation and aftereffects. In Handbook of Virtual Environments, 791–812, https://doi.org/10.1201/9780585399102 (CRC Press, 2002).
Leonardis, D., Frisoli, A., Barsotti, M., Carrozzino, M. & Bergamasco, M. Multisensory feedback can enhance embodiment within an enriched virtual walking scenario. Presence 23, 253–266. https://doi.org/10.1162/PRES_a_00190 (2014).
Fusco, G., Tieri, G. & Aglioti, S. M. Visual feedback from a virtual body modulates motor illusion induced by tendon vibration. Psychol. Res. 85, 926–938. https://doi.org/10.1007/s00426-020-01366-5 (2020).
Le Franc, S. et al. Influence of virtual reality visual feedback on the illusion of movement induced by tendon vibration of wrist in healthy participants. Plos One 15, e0242416. https://doi.org/10.1371/journal.pone.0242416 (2020).
Ferrari, F., Clemente, F. & Cipriani, C. The preload force affects the perception threshold of muscle vibration-induced movement illusions. Exp. Brain Res. 237, 111–120. https://doi.org/10.1007/s00221-018-5402-4 (2019).
Petroni, A., Carbajal, M. & Sigman, M. Proprioceptive body illusions modulate the visual perception of reaching distance. Plos One 10, e0131087. https://doi.org/10.1371/journal.pone.0131087 (2015).
Burrack, A. & Brugger, P. Individual differences in susceptibility to experimentally induced phantom sensations. Body Image 2, 307–313. https://doi.org/10.1016/j.bodyim.2005.04.002 (2005).
Schofield, J., Dawson, M., Carey, J. & Hebert, J. Characterizing the effects of amplitude, frequency and limb position on vibration induced movement illusions: Implications in sensory-motor rehabilitation. Technol. Health Care 23, 129–141. https://doi.org/10.3233/THC-140879 (2015).
Roll, J. et al. Inducing any virtual two-dimensional movement in humans by applying muscle tendon vibration. J. Neurophysiol. 101, 816–823. https://doi.org/10.1152/jn.91075.2008 (2009).
Tidoni, E. et al. Illusory movements induced by tendon vibration in right-and left-handed people. Exp. Brain Res. 233, 375–383. https://doi.org/10.1007/s00221-014-4121-8 (2015).
Taylor, M., Taylor, J. & Seizova-Cajic, T. Muscle vibration-induced illusions: Review of contributing factors, taxonomy of illusions and user’s guide. Multisensory Res. 30, 25–63. https://doi.org/10.1163/22134808-00002544 (2017).
Mann, R. Design criteria, development and pre-and post-fitting amputee evaluation of an emg controlled, force sensing, proportional-rate, elbow prosthesis with cutaneous kinesthetic feedback. IFAC Proc. Volumes 2, 579–586. https://doi.org/10.1016/S1474-6670(17)68904-3 (1968).
Mann, R. & Reimers, S. Kinesthetic sensing for the emg controlled “boston arm’’. IEEE Trans. Man-Machine Syst. 11, 110–115. https://doi.org/10.1109/TMMS.1970.299971 (1970).
Simpson, D. & Smith, J. An externally powered controlled complete arm prosthesis. J. Med. Eng. Technol. 1, 275–277. https://doi.org/10.3109/03091907709162194 (1977).
Gow, D., Dick, T., Draper, E., Loudon, I. & Smith, P. The physiologically appropriate control of an electrically powered hand prosthesis. In International Society of Prosthetics and Orthotics 4th World Congress (1983).
Doubler, J. & Childress, D. Design and evaluation of a prosthesis based on the concept of extended physiological proprioception. J. Rehabilit. Res. Develop. 21, 19–31 (1984).
Benz, H. et al. Upper extremity prosthesis user perspectives on unmet needs and innovative technology. In 2016 38th Annual International Conference of the IEEE Engineering in Medicine and Biology Society (EMBC), 287–290, https://doi.org/10.1109/EMBC.2016.7590696 (IEEE, 2016).
Marasco, P. et al. Illusory movement perception improves motor control for prosthetic hands. Sci. Transl. Med. 10, eaao6990. https://doi.org/10.1126/scitranslmed.aao699 (2018).
Shehata, A. et al. Skin stretch enhances illusory movement in persons with lower-limb amputation. In 2019 IEEE 16th International Conference on Rehabilitation Robotics (ICORR), 1233–1238, https://doi.org/10.1109/ICORR.2019.8779477 (IEEE, 2019).
Melzack, R. The McGill Pain Questionnaire: Major properties and scoring methods. Pain. 1, 277–299. https://doi.org/10.1016/0304-3959(75)90044-5 (1975).
Faivre, N., Arzi, A., Lunghi, C. & Salomon, R. Consciousness is more than meets the eye: A call for a multisensory study of subjective experience. Neurosci. Consciousness. 2017, nix003 (2017).
Pons, T. et al. Massive cortical reorganization after sensory deafferentation in adult macaques. Science 252, 1857–1860. https://doi.org/10.1126/science.1843843 (1991).
Makin, T. & Lab, T. L. P. Phantom limbs and brain plasticity in amputees. In Oxford Research Encyclopedia of Neuroscience https://doi.org/10.1093/acrefore/9780190264086.013.50 (Oxford University Press (2020).
Schone, H. R. et al. Stable cortical body maps before and after arm amputation. Nat. Neurosci. https://doi.org/10.1038/s41593-025-02037-7 (2025).
Brugger, P. et al. Beyond re-membering: Phantom sensations of congenitally absent limbs. Proc. Natl. Acad. Sci. 97, 6167–6172. https://doi.org/10.1073/pnas.100510697 (2000).
Kyberd, P. The influence of control format and hand design in single axis myoelectric hands: Assessment of functionality of prosthetic hands using the Southampton Hand Assessment Procedure. Prosthetics Orthotics Int. 35, 283–291. https://doi.org/10.1177/0309364611418554 (2011).
Dietrich, C. et al. Sensory feedback prosthesis reduces phantom limb pain: proof of a principle. Neurosci. Lett. 507, 97–100. https://doi.org/10.1016/j.neulet.2011.10.068 (2012).
Enoka, R. Neuromechanics of human movement (Human kinetics, 2002).
Frumento, S. et al. Unconscious multisensory integration: behavioral and neural evidence from subliminal stimuli. Front. Psychol. https://doi.org/10.3389/fpsyg.2024.1396946 (2024).
Leskovar, R. et al. An investigation of proprioception illusion using a stimulator with feedback control. In 2022 International Conference on Rehabilitation Robotics (ICORR), 1–6, https://doi.org/10.1109/ICORR55369.2022.9896564 (IEEE, 2022).
Leskovar, R. Investigating kinaesthetic illusions induced by cutaneous vibrations in people with upper limb differences. Ph.D. thesis, School of Energy and Electronic Engineering (2025).
Kito, T., Hashimoto, T., Yoneda, T., Katamoto, S. & Naito, E. Sensory processing during kinesthetic aftereffect following illusory hand movement elicited by tendon vibration. Brain Res. 1114, 75–84. https://doi.org/10.1016/j.brainres.2006.07.062 (2006).
Acknowledgements
The authors wish to thank the volunteers for their time and patience and clinicians in the rehab centres for enabling the experiments and recruiting participants.
Funding
This work was supported by the Promobilia Foundation and the Portsmouth University scholarship scheme.
Author information
Authors and Affiliations
Contributions
R.L. and P.K. conceived the experiment, R.L. conducted the experiments, R.L., J.M., T.E. C.O. and P.K. analysed the results. All authors reviewed the manuscript and contributed to the revisions.
Corresponding authors
Ethics declarations
Competing interests
The authors declare no competing interests.
Additional information
Publisher’s note
Springer Nature remains neutral with regard to jurisdictional claims in published maps and institutional affiliations.
Rights and permissions
Open Access This article is licensed under a Creative Commons Attribution-NonCommercial-NoDerivatives 4.0 International License, which permits any non-commercial use, sharing, distribution and reproduction in any medium or format, as long as you give appropriate credit to the original author(s) and the source, provide a link to the Creative Commons licence, and indicate if you modified the licensed material. You do not have permission under this licence to share adapted material derived from this article or parts of it. The images or other third party material in this article are included in the article’s Creative Commons licence, unless indicated otherwise in a credit line to the material. If material is not included in the article’s Creative Commons licence and your intended use is not permitted by statutory regulation or exceeds the permitted use, you will need to obtain permission directly from the copyright holder. To view a copy of this licence, visit http://creativecommons.org/licenses/by-nc-nd/4.0/.
About this article
Cite this article
Leskovar, R., Kyberd, P.J., Moore, J.M. et al. The proprioception illusion can simulate limb movement in persons with limb difference. Sci Rep 16, 3897 (2026). https://doi.org/10.1038/s41598-025-30687-x
Received:
Accepted:
Published:
Version of record:
DOI: https://doi.org/10.1038/s41598-025-30687-x






