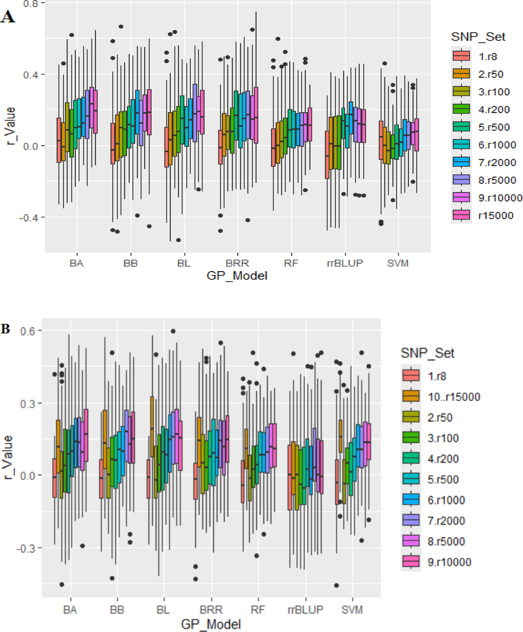
Fig. 8
From: Genome-wide study of salt tolerance in USDA tomato germplasm at seedling stage

Prediction accuracy (PA) for RST_C (A) and LIS (leaf injury, B) of salt tolerance using 10 different SNP sets, ranging from 8 to 15,000 randomly selected SNPs (r8 to r15000), evaluated using genomic prediction (GP) models by cross-population prediction was performed with a 5-fold cross-validation scheme, where four subsets served as the training population and one subset as the validation population. PA is represented as the correlation coefficient (r-value) between predicted genomic estimated breeding values (GEBVs) and observed phenotypic values across seven GP models: Bayes A (BA), Bayes B (BB), Bayesian LASSO (BL), Bayesian Ridge Regression (BRR), ridge regression BLUP (rrBLUP), Random Forest (RF), and Support Vector Machine (SVM).