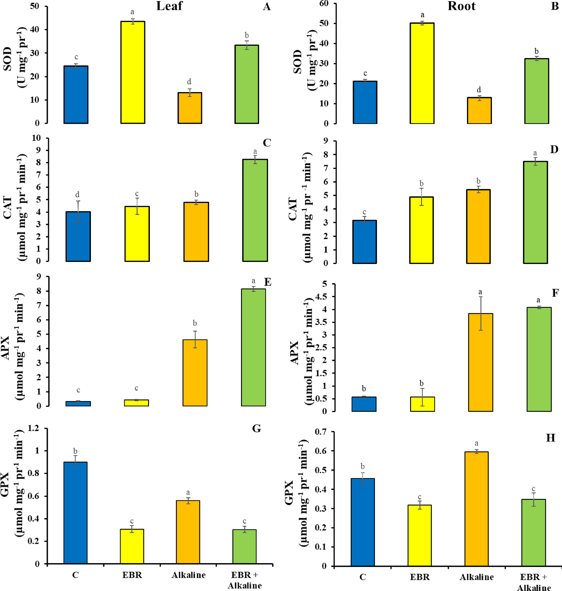
Fig. 4

Effect of seed priming with 24-EBR (10− 8M) on SOD, CAT, APX, and GPX enzyme activity in the leaves and roots of Lallemantia iberica plants under 48 h exposure to alkaline stress. Different letters indicate significance among treatments with Duncan’s test at a 5% probability level. C (control), EBR (10− 8 M 24-epibrassinolide), Alkaline (15 mM Na2CO3), and EBR + Alkaline (10− 8M 24-epibrassinolide + 15 mM Na2CO3).