Abstract
Alkaline stress is one of the most important environmental factors limiting the production of crops. The current research was conducted in a completely randomized design to investigate the alleviative role of 24-epibrassinolide (24-EBR) seed priming on biochemical and physiological parameters of Lallemantia iberica Spp plant under 48 h of simulation with 15 mM Na2CO3 (pH = 10.84). The 24-EBR significantly moderated the harmful effects of high pH imposition through diminishing the generation of MDA (43% and 55%), H2O2 (51% and 68%), proline (41% and 22%), and soluble sugar (31% and 39%) contents in leaves and roots, respectively. The hormonal presoaking also led to the higher activity of superoxide dismutase (SOD), catalase (CAT), ascorbate peroxidase (APX), and phenylalanine ammonia-lyase (PAL) under exposure to alkaline stress. The findings provide evidence of 24-EBR as a versatile and valuable tool to improve plant resilience against alkaline stress due to the neutralization of oxygen-free radicals and improvement of antioxidant status. The study also shares information regarding biochemical insights to improve soil alkaline stress tolerance in dragonhead plants by alleviating ROS accumulation damage.
Introduction
Alkaline-saline stress is known as abiotic stress and is a major limiting factor for crop production in global agriculture1,2. Alkaline soil endangers more than 434 million hectares of the world’s land, with no effective measures to control its spread3,4. Nevertheless, soil alkaline conditions are increasing due to the release of soluble salts (human manipulation and nature), deposition of salts (wind and rain), and irrigation (NaCl-contaminated water)2. Alkaline stress is defined as elevated pH values and the excess of alkaline salts (NaHCO3, Na2CO3) in the soil medium, which has negative impacts on plant growth and development 1, 4, 2. The stress is considered more severe than salinity due to the association of detrimental effects of osmotic stress and high pH4. High pH interferes with intracellular ion balance in plants by disrupting ion uptake and causing oxidative and osmotic stresses in plant cells, leading to the limitation of photosynthesis and consequently plant death2,4. However, in exposure to environmental intensities, plants will program defense responses. They will be equipped through the synthesis of suitable osmolytes, and enhancing the antioxidant enzymes’ activity to be better protected from reactive oxygen species (ROS)2,5,6.
Seed priming is a technique through which plant seeds are physiologically and biochemically prepared through the activation of stress-responsive genes and the accumulation of protective molecules like antioxidants, osmolytes, and heat shock proteins during the priming process7. This early advantage translates into stronger and more vigorous seedlings that are better equipped to withstand environmental stresses during later growth stages9. Seed priming can induce epigenetic changes such as DNA methylation and histone modifications, which alter gene expression patterns leading to long-lasting effects on plant growth and stress responses, providing a form of stress memory that enhances performance throughout the plant’s life cycle10.
Epibrassinolides regulate various developmental and physiological processes in plants, such as cell division, vascular development, floral transition, seed germination, vascular differentiation, photomorphogenesis, plant reproduction and senescence, elongation of stigma, plant architecture, thermo-tolerance, proton transport, tiller number, leaf angle, and leaf size11. In addition, these compounds protect plants during various stresses such as drought8,9, salinity12,13 as well as pesticides14,15, and heavy metals16,17. The ability of the hormone to modulate various aspects and pathways provides a multifaceted defense mechanism against stress conditions. Moreover, its application does not pose risks of harmful residues or adverse environmental impacts16,18.
Lallemantia iberica, known as “balangue shahri” in Persian, is one of the medicinal plants belonging to the Lamiaceae family with a distribution range in Southwest Asia and Europe19. The plant is also called with the synonym names of Lallemantia sulphurea and Dracocephalum ibericum (M. Bieb.)20. The species has great ecological flexibility in various climates and is considered one of Iran’s most important genetic reserves. The plant treats neurological, liver, dry cough, and kidney disorders19, constipation, heartburn, heart pain, and anti-flatulence21. In addition to pharmaceutical and health properties, the leaves and seeds of dragonhead plants are utilized in the food industry due to the presence of protein, oil, fiber, polysaccharides, and secondary metabolites19.
Considering the deleterious effects of low soil Na + concentrations and high soil pH conditions (alkaline stress) on many metabolic processes in plants, and also the considerable economic value of dragonhead species, developing an efficient approach to increasing the adaptation and productivity of this medicinal plant as a source of essential oil is of great importance. Unlike some chemical treatments, 24-EBR is a naturally occurring compound in plants, making it an environmentally friendly and safe option for stress mitigation. Hence, we aimed to study the physiological and biochemical responses of Lallemantia iberica plants during short-term imposition of alkaline stress. (1) To delve into the mechanisms of high pH-induced damage and tolerance to identify key factors that contribute to plant tolerance, and (2) To elucidate the physiological and biochemical impacts of 24-EBR seed priming modulation under alkaline stress. Our goal is to provide detailed insights into the modulatory effects of EBR and its potential to enhance plant stress tolerance. Our data will contribute to improving knowledge of the rational utilization of alkaline lands and breeding alkaline-tolerant plants for developing sustainable agriculture.
Results
MDA, other aldehydes, and H2O2 contents
Upon high pH imposition, the MDA level displayed 44% higher accumulation compared to the control state. However, EBR seed-primed leaves appeared with a significant reduction of MDA content (42.85%) in EBR + Alkaline plants in comparison to the alkaline group (Fig. 1A). In roots, exposure to alkaline stress elevated MDA content, showing 64% more content compared to non-stressed roots, whereas the EBR + alkaline plant group experienced a sharp drop in lipid peroxidation (55%) in comparison to alkaline-treated plants (Fig. 1B).
High alkaline administration triggered a substantial rise in other aldehyde content of leaves (116%) and roots (59%) compared to the controls, while EBR pre-soaking application resulted in a drastic decrease of 57% and 62% in leaf and underground tissues of EBR + Alkaline plants, respectively, compared to un-primed EBR alkaline plants (Figs. 1C and D).
As shown in Fig. 1E and F, the highest production of H2O2 was obtained upon alkaline stress in leaves, while the lowest H2O2 generation belonged to leaves and roots of EBR + Alkaline-treated plants, respectively, with a significant reducing trend of 51.27% and 67.62% compared to corresponding high pH exposed plants.
Effect of 24-EBR on MDA, other aldehydes, and H2O2 contents in the leaves and roots of Lallemantia iberica plants under 48 h exposure to alkaline stress. Different letters indicate significance among treatments with Duncan’s test at a 5% probability level. C (control), EBR (10− 8 M 24-epibrassinolide), Alkaline (15 mM Na2CO3), and EBR + Alkaline (10− 8M 24-epibrassinolide + 15 mM Na2CO3).
Proline and soluble sugar contents
Plants subjected to alkaline stress exhibited 60% more proline content than non-stressed leaves. As compared to alkaline-exposed plants, EBR administration led to a substantial decrease of 41% in the proline level of leaves (Fig. 2A). In roots, EBR + Alkaline-treated plants appeared with a 22.23% decrement compared to the Alkaline group (Fig. 2B).
As illustrated in Fig. 2C and D, 48 h struggling with high pH resulted in a remarkable rise in soluble sugar content of leaves (57.14%) and roots (58.17%) compared to their controls. At the same time, EBR seed pre-soaking led to a significant reduction in the leaves (31%) and in the roots (39%) of EBR + alkaline-treated plants compared to high pH stressed groups.
Effect of 24-EBR(10− 8M) seed priming on proline and soluble sugar contents in the leaves and roots of Lallemantia iberica plants under 48 h exposure to alkaline stress. Different letters indicate significance among treatments with Duncan’s test at a 5% probability level. C (control), EBR (10− 8 M 24-epibrassinolide), Alkaline (15 mM Na2CO3), and EBR + Alkaline (10− 8M 24-epibrassinolide + 15 mM Na2CO3).
Total phenolic and total flavonoid contents
Alkaline-subjected plants revealed an increase of 28.84% (leaf) and 25.78% (root) in the phenolic content compared to non-stress conditions (Table S1). The application of EBR seed priming resulted in a further insignificant increment (4.18% leaf) and decrement (7.73% root), ascertaining that EBR administration did not have any positive or negative impact on the total phenolic content against high pH imposition.
The significantly higher accumulation of flavonoid content was evaluated in the leaves of EBR, Alkaline, and EBR + Alkaline-treated plants, displaying 74.4%, 91.2%, and 84.4% rises in comparison to the control group, respectively (Table S1). However, no significant alterations were discovered in root tissues among plant groups. This observation implies that neither the harmful effects of high alkaline stress nor the alleviative impacts of EBR are mediated via alteration in the total flavonoid contents.
Ferric reducing antioxidant power (FRAP) and 2,2-diphenyl-1-picryl-hydrazyl-hydrate (DPPH) radical scavenging capacity
Imposition of alkaline stress significantly enhanced the FRAP antioxidant power of the leaves (62.83%) compared to the control dragonhead plants (Fig. 3A). However, our data indicated that the endeavor of 24-EBR to improve FRAP reducing antioxidant power has been unsuccessful in the EBR + Alkaline plant group. In underground tissues, EBR seed-primed plants not only showed no desire to participate in elevating FRAP antioxidant capacity but also displayed a 24.22% decline in the EBR + Alkaline group compared to the alkaline stressed plants (Fig. 3B). Exposure to high pH led to a significant rise in DPPH radical scavenging capacity of the alkaline exposed leaves (85%) compared to the control. Although seed pre-soaking with 24-EBR even further accelerated DPPH radical scavenging activity to a higher level in EBR + Alkaline-treated plants, this enhancement was detected as insignificant compared to the alkaline stress state (Fig. 3C). As illustrated in Fig. 3D, DPPH radical scavenging declined (42.29%) in the roots of alkaline-stressed plants in comparison to the control. The DPPH radical scavenging capacity did not show any significant difference among roots of the EBR, Alkaline, and EBR + Alkaline plant groups, revealing that exogenous EBR application did not make any contribution to improve DPPH antioxidant capacity.
Effect of seed priming with 24-EBR (10− 8M) on DPPH and FRAP antioxidant capacities in the leaves and roots of Lallemantia iberica plants under 48 h exposure to alkaline stress. Different letters indicate significance among treatments with Duncan’s test at a 5% probability level. C (control), EBR (10− 8 M 24-epibrassinolide), Alkaline (15 mM Na2CO3), and EBR + Alkaline (10− 8M 24-epibrassinolide + 15 mM Na2CO3).
Soluble protein content and antioxidant enzyme activity
The dragonhead plants exposed to alkaline stress showed increments in soluble protein content of the leaf (43.63%) and root (32.74%) compared to the control states (Fig. S1). EBR pre-treatment diminished the total soluble protein level in both leaves and roots of EBR + Alkaline plants compared to the alkaline-exposed plants. However, this diminution was only detected as significant in leaves (21%).
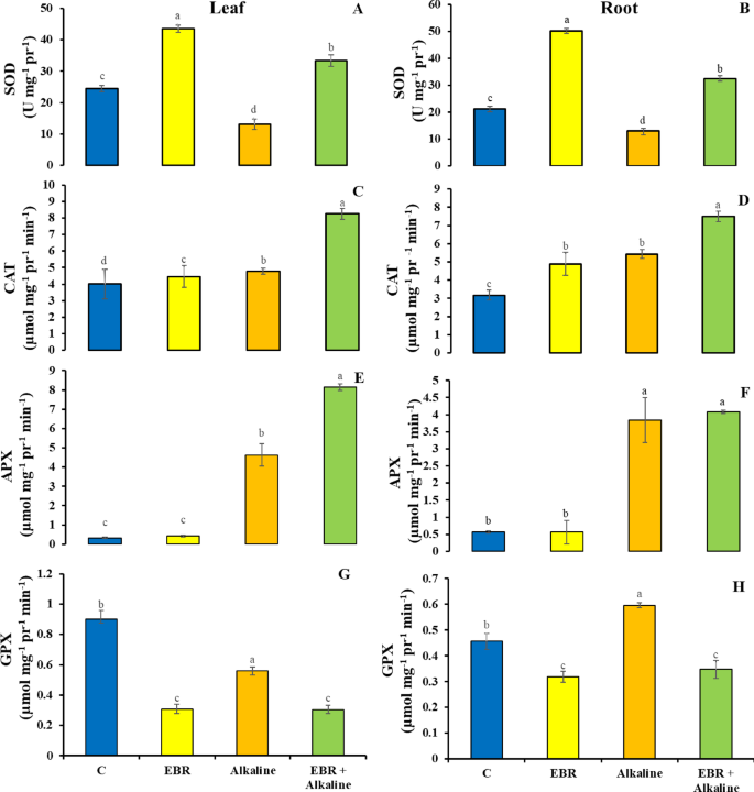
High alkaline stress caused a decrement in the activity of SOD enzyme both in the leaf (46.53%) and in the root (38%) tissues compared to the controls (Fig. 4A and B). Interestingly, seed pre-soaking with 24-EBR introduced remarkable enhancement in SOD enzymatic activity (254% in leaf) and (249.32% in root) under alkaline stress imposition compared to the alkaline-stressed plant group.
Upon high pH stress, the Lallemantia iberica plants displayed a significant (18%) and strong (71%) rise in CAT activity of the leaf and the root tissues, respectively, compared to the non-stressed plants (Fig. 4C and D). The CAT enzymatic activity showed the elevation of 51.39% (leaves) and 38.30% (roots) under alkaline stress in exogenously subjected EBR plants compared to the unprimed alkaline groups.
A remarkable increase of 1400% in leaves and 677% in roots was observed in the APX antioxidant enzymatic activity of the alkaline-treated plants compared to the controls (Fig. 4E and F). However, only the leaves of EBR + alkaline dragonhead plants showed a significant increase of 95.95% in APX enzymatic activity relative to the alkaline-treated plants. High pH application significantly decreased GPX activity in the leaves (37%) while increasing its enzymatic activity in the roots (30%) compared to the control plants (Fig. 4G and H). Interestingly, 24-EBR seed priming significantly reduced GPX activity in both leaves (45%) and roots (41%) of EBR + alkaline-exposed plants compared to the alkaline condition.
Effect of seed priming with 24-EBR (10− 8M) on SOD, CAT, APX, and GPX enzyme activity in the leaves and roots of Lallemantia iberica plants under 48 h exposure to alkaline stress. Different letters indicate significance among treatments with Duncan’s test at a 5% probability level. C (control), EBR (10− 8 M 24-epibrassinolide), Alkaline (15 mM Na2CO3), and EBR + Alkaline (10− 8M 24-epibrassinolide + 15 mM Na2CO3).
PAL enzymatic activity and anthocyanin content
An escalation of 266% and 274% was detected in the activity of PAL enzyme in the leaf and the root tissues of alkaline exposed plants compared to non-alkaline stressed plants (Fig. 5). However, the PAL enzymatic activity was elevated in response to EBR seed pre-soaking (10% leaves) and (21% roots) under alkaline stress compared to the plants being only exposed to an alkaline condition.
High alkaline stress imposition significantly decreased anthocyanin (21%) levels of leaves compared to the control, while EBR + Alkaline treated plants displayed 46% higher accumulation than the un-primed alkaline stressed group (Fig. 5).
Effect of seed priming with 24-EBR (10− 8M) on PAL enzymatic activity (leaves and roots) and anthocyanin content (leaves) of Lallemantia iberica plants under 48 h of alkaline stress. Different letters indicate significance among treatments with Duncan’s test at a 5% probability level. C (control), EBR (10− 8 M 24-epibrassinolide), Alkaline (15 mM Na2CO3), and EBR + Alkaline (10− 8M 24-epibrassinolide + 15 mM Na2CO3).
Photosynthetic pigments content
Alkaline-exposed dragonhead plants displayed a significant reduction in chlorophyll a (56%), chlorophyll b (17.6%), and increment in carotenoid (123%) contents compared to the control plants, respectively (Table S2). However, 24-EBR seed pre-treatment protected chlorophyll levels and led to a significant recovery in chlorophyll a (63%) and a non-significant rise in chlorophyll b and carotenoid contents in EBR + Alkaline groups compared to the alkaline-exposed plants.
Discussion
Malondialdehyde is a natural product of lipid peroxidation, which is traditionally used as an indicator of cell membrane damage22. Lipid peroxidation enhances the production and accumulation of ROS, harming fats, proteins, carbohydrates, and nucleic acids22. Aldehydes are derivatives of lipids and contribute to various aspects of plants’ physiological and biological processes, including abiotic stresses, such as light, drought, heat, and nutrient deficiency. They are also considered biomarkers revealing the health status of plants. Certain aldehydes have been shown to activate antioxidant responses to promote defense mechanisms23. Hydrogen peroxide is produced as a result of the conversion of superoxide radical (O2−) by the SOD enzyme, which leads to the formation of highly active hydroxyl radical (OH−)24. Excess H2O2 causes chloroplast and peroxisome autophagy and subsequently programmed cell death. The H2O2 will oxidize thiol groups of cysteine residues in target proteins to modify enzymes, receptor kinases, and transcription factors25. However, the MDA, other aldehydes, and H2O2 generations declined in the leaves and roots of seed-primed plants exposed to alkaline stress. This phenomenon manifests maintenance of cell membrane integrity and mitigation of oxidative damage due to the induction of antioxidant enzymes activity including SOD (prevention of (O2−) conversion into H2O2 and O2), CAT (conversion of H2O2 to water and oxygen) and APX (suppression of ROS accumulation by ascorbate-glutathione cycle) in both tissues and ROS scavenging14,23.
Plants overcome the detrimental impacts of high pH stress on ion balance via increments in osmolyte concentration, such as proline and soluble sugar26. Alkaline stress led to an enhancement in the amount of proline (a proteinogenic amino acid). Among the soluble amino acids, proline displays distinct roles in plants not only as a stabilizer of membranes under unfavorable environmental conditions but also as a free radical scavenger to increase the anti-stress ability of plants27. Proline diminishes oxidative stress damage and membrane injury and enhances antioxidant enzymes, leaf water content, and photosynthesis under stress28. The 24-EBR priming reduced the overproduction of proline, revealing lower oxidative stress levels29 against highly imbalanced osmotic potential. The EBR degradation of proline has been reported to be via induction in proline oxidation through the activity of proline dehydrogenase (ProDH; EC 1.5.5.2) and P5C dehydrogenase (P5CDH; EC 1.2.1.88) enzymes in the mitochondria30.
As an osmotic regulator, sugar plays an important role in reducing damage under stress by augmenting intracellular solute concentration as well as maintaining osmotic balance to adjust cell turgor and suppress protoplast dehydration1. They are considered energy suppliers (being utilized in respiration processes), scavengers of ROS, and involved in the synthesis of secondary metabolites (a defense mechanism to protect macromolecules)31. In the present study, high pH imposition interfered with sugar levels within plant cells, both in the leaves and in the roots, which can perfectly justify their higher accumulation under alkaline stress. Sugars affect enzymatic activity, protein stability, transcription, and translation, alongside being functional as an activator of multiple HXK-dependent and HXK-independent pathways, calcium-dependent protein kinases (CDPKs), Snf1-related kinases (SnRKs), the mitogen-activated protein kinase (MAPK) cascade, specific protein phosphatases (PPs), and phytohormones32. The addition of EBR under alkaline conditions significantly attenuated soluble sugar content in Lallemantia iberica plants. This observation manifests (1) the ameliorative role of EBR to adjust osmotic balance via excessive production of soluble sugars is no longer needed, and (2) the improvement of the physiological status of the plant against imposed ion toxicity. The reduction in soluble sugar content following EBR treatment appears to be associated with the downregulation of key sucrose-cleaving enzymes, including sucrose synthase (SUSY) and invertase (INV). This suggests that EBR may modulate sugar metabolism by limiting sucrose hydrolysis, thereby redirecting carbon flux toward stress-responsive pathways such as phenylpropanoid and anthocyanin biosynthesis34. The concomitant decrements in proline and soluble sugar contents in EBR + Alkaline plants align with a previous report on the interaction between the metabolism of proline and soluble sugars35.
DPPH is a free radical compound and has been extensively used to examine antioxidant compounds for their ability to scavenge free radicals36. This compound is considered one of the first lines of defense against biotic/abiotic stresses at the onset of plant response by coupling unpaired electrons or hydrogen radicals37. FRAP assay is also another approach to evaluate the ability of compounds as free-radical scavengers to determine the free-radical scavenging potential36. The imposition of high pH exerted different behavior in terms of free radical scavenging activity using DPPH and FRAP in leaves (augmentation) and roots (attenuation). However, the data manifests a complete association with phenolic compound levels in these tissues38. Surprisingly, the 24-EBR priming did not show any participation in changing antioxidant capacities under alkaline stress. It seems the ameliorative effects of EBR on ROS destruction are not modulated through enhancement in DPPH and FRAP radical scavenging activities, leading to no need for higher antioxidant capacities. The data do not support our previous findings regarding the substantial rise in DPPH and FRAP radical scavenging capacities by 24-EBR under pesticides14,15, and arsenic heavy metal16.
Phenolic compounds are the largest metabolites and powerful antioxidants that play crucial physiological roles in response to stress. They mediate the scavenging of harmful reactive oxygen species (ROS) in plants under various abiotic stressors and are biosynthesized through a shikimate/phenylpropanoid pathway, which is activated upon environmental assaults such as drought, extreme temperatures, salinity, heavy metal pollution, and ultraviolet radiation40. Flavonoids are also the largest family of natural secondary metabolites with polyphenolic structure and low molecular weight, functioning as reducers of oxidative stress through the scavenging of free radicals. They play a role in plant physiological function to detoxify ROS against biotic and abiotic stresses16. In this study, the leaf tissues appeared with higher production of phenolics and flavonoids facing alkaline stress, reflecting their roles in minimizing oxidative stress and enhancing cell protection against osmotic imbalance. Notably, EBR exerted no modification in the total phenolic and flavonoid contents in both tissues compared to corresponding plants exposed to high pH levels. This observation unveils that EBR’s alleviatory impact to remove ROS does not occur via changes in the quantity of these two biochemical parameters. Moreover, the effectiveness of other enzymes and metabolites in reducing oxidative stress lowers the demand for these antioxidants. Further investigations on phenolics and flavonoids profiles will clarify this phenomenon. The induction of the phenylpropanoid pathway and alteration of polyphenol levels were attributed to the diminution of arsenate toxicity by EBR application in Oryza sativa39 and in Zea mays16. Proteins contribute to vital metabolic processes of growth and development via cellular metabolism, transportation of organic and inorganic solutes, water transport, balancing redox and hormones, cell division, cell enlargement, and osmoregulation41. In the conducted study, both tissues of alkaline stressed plants exhibited a pattern of significant rise in the protein status compared to the normal conditions, possibly due to the demand in the synthesis of antioxidant enzymes, enzymes which break down insoluble sugars, as well as the synthesis of proteins and lipids involved in the cell’s defense system against ions (Metallothionein and phytochelatins and heat shock proteins (HSP)42. Furthermore, abiotic stress could cause alteration in the degradation or configuration of some proteins, leading to an elevation in soluble protein content as an effective response to osmotic stress43. Hence, the salt-tolerant cultivars accumulate more total soluble proteins than salt-sensitive cultivars44. In addition, protein expression level changes involve posttranscriptional and post-translational processes45. Interestingly, despite discovering the accumulation of more soluble protein under the application of EBR, aiding in the attainment of tolerance against stresses46, leaf tissues of L. iberica seed-primed plants experienced a drastic decline in the protein content under 24-EBR. However, the protein fate turned out differently in roots of EBR + alkaline-exposed plants, with no significant change compared to high alkaline conditions. This phenomenon manifests that no further protection of cellular constituents and macromolecules is necessary against alkaline stress. However, the type and quality of soluble proteins are more important than their quantity44. The decline in proline, soluble sugar, and soluble protein contents with EBR treatment suggests that EBR might be enhancing other protective mechanisms, reducing the need for high levels of osmolytes, and offering a novel perspective on how EBR functions under alkaline stress in dragonhead plants.
There are a variety of enzymatic antioxidants in plants to scavenge ROS and maintain ROS homeostasis, such as SOD, CAT, APX, and GPX47. EBR has been shown to significantly enhance the antioxidant system by modulating the activities of key antioxidant enzymes such as SOD, CAT, and peroxidases, leading to reduced lipid peroxidation and improved stress tolerance47. SOD (EC 1.15.1.1) is a metalloenzyme and known as the first line of plant antioxidant defense machinery against ROS. During abiotic stress, ROS production will enhance, and as a result, H2O2 is produced due to the dismutation of O2 catalyzed by SOD. However, plants react differently in terms of total SOD activity facing stresses, as with some plant species increasing, while others decrease, or no alteration occurs. This phenomenon indicates inter- or intra-specific functionality of the enzyme48. CAT, an oxidoreductase with a heme group in its structure, causes the decomposition of H2O2 to water and oxygen molecules through an oxidation-reduction reaction with the help of iron ions48. Augmentation in CAT activity is considered a plant adaptive response to declining H2O2 assaults, which subsequently diminishes tissue metabolic damage14,16. In the present study, high alkaline status introduced a severe inhibitory effect on SOD enzymatic activity both in the leaf and in the root tissues. This observation is in contrast to the investigations conducted by Wang and Chen (202349and Zhao et al. (2023)50, who correlated the elevation in stress resistance to the increase in SOD activity under stress. However, EBR seed priming augmented the activity of SOD and CAT enzymes in Lallemantia iberica alkaline-stressed plants, uncovering the positive impact of EBR hormone pretreatment on the elimination of stress-induced ROS production14. High pH administration led to higher activity of APX and GPX enzymes in both tissues of dragonhead plants. Ascorbate peroxidase is a heme-containing peroxidase with the oxidative function of a wide spectrum of organic compounds48. The enzyme is one of the important peroxidases found in the cytosol and chloroplasts, and is known as the key regulator in sustaining the steady-state levels of H2O2 in plant cells51. APX has a higher affinity for H2O2 than CAT and catalyzes the reduction of H2O2 to water using ascorbate (ASC) as an electron donor in various subcellular compartments52. Moreover, the enzyme is more involved in the final regulation of signals and transmission of cell messages during stress53. The elevation in APX activity under EBR administration indicates the role of enzymes in reducing oxidative stress and protecting cellular structures from damage54.
Guaiacol peroxidase (GPX) is one of the enzymes of the antioxidant system in plants, which is in the second line of defense, after the activity of enzymes such as CAT and SOD. The GPX enzyme converts the H2O2 produced by these enzymes into water and oxygen54. In this study, alteration in GPX anti-oxidative activity in both tissues was accompanied by being higher under alkaline stress and lower upon EBR seed presoaking. The data confirms the record considering GPX enzyme as a secondary in the anti-oxidative defense line. The higher activity of the GPX enzyme under alkaline stress conditions has also been reported in red rice54. EBR seed-primed plants displayed a reduction in GPX activity under high pH. Apparently, elevated levels of SOD, CAT, and APX are sufficient to manage ROS, reducing the need for high GPX activity.
Our data align with previous research demonstrating the beneficial effects of EBR on the alleviation of alkaline stress in cucumbers by modulating photosynthetic performance and elevation in the expression of key antioxidant genes30. Furthermore, Torabi and Rahmani (2025) discussed the role of EBR in inducing the mitigation of arsenic toxicity in maize by improving various metabolic processes16. Although our study focused on alkaline stress, the underlying mechanisms of EBR’s protective effects are similar to those observed in studies on other abiotic stresses.
Phenylalanine ammonia lyase (PAL) is a key enzyme in the biosynthesis of phenolic compounds, which function as antioxidants, ROS scavengers, and enhancers of cell wall structural integrity27,39. In this study, the activity of PAL was elevated in leaves to overcome the harmful effects of alkaline stress by increasing the phenolic and flavonoid contents. Interestingly, while PAL activity increased under alkaline conditions, anthocyanin levels were reduced. This suggests that PAL alone may not be sufficient to drive anthocyanin biosynthesis under stress, as anthocyanin production involves multiple downstream enzymes and regulatory genes, including CHS (chalcone synthase), CHI (chalcone isomerase), F3H (flavanone 3-hydroxylase), DFR (dihydroflavonol 4-reductase), and ANS (anthocyanidin synthase). These genes are transcriptionally activated by a complex of regulatory proteins such as MYB, bHLH, and WD40 TFs. The coordinated expression of these genes is essential for anthocyanin accumulation, especially under abiotic stress conditions55. Upon application of EBR under alkaline stress, both PAL activity and anthocyanin content were significantly enhanced. This indicates that EBR may upregulate not only PAL but also the structural and regulatory genes involved in anthocyanin biosynthesis, thereby restoring anthocyanin levels and improving the plant’s oxidative status. Anthocyanins, as stress-induced secondary metabolites, play a crucial role in protecting plants by neutralizing free radicals and preventing biomolecular oxidation56.
Elevated activity of PAL without a corresponding increase in phenolics and flavonoids may reflect PAL’s role as a preparatory or signaling enzyme, rather than a direct driver of metabolite accumulation. This phenomenon suggests that PAL activation under certain conditions, such as stress or developmental transitions, might serve to prime the phenylpropanoid pathway or redirect metabolic flux toward the synthesis of other compounds like lignins, coumarins, or stilbenes, rather than flavonoids or anthocyanins specifically57. These increases in anthocyanin and PAL enzymatic activity reduce the need for high levels of other osmolytes and antioxidants, leading to observed declines in proline, sugar, protein, phenolic, and flavonoid contents as well as DPPH and FRAP antioxidant activities.
The reduced contents of chlorophylls upon alkaline conditions can be explained as the consequence of chlorophyllase enzyme activity enhancement and damage to the photosynthetic apparatus58. The external application of 24-EBR improved the chlorophyll synthesis under alkaline stress conditions by maintaining the photosystem stability. However, the carotenoid content appeared at a higher level in alkaline-stressed plants compared to the non-stressed condition. Carotenoids are known as light-harvesting pigments that are essential for photosynthesis and photoprotection. They serve as plant growth regulator and respond to changing environmental and developmental conditions. Carotenoids also play a role in the biosynthesis of abscisic acid (ABA) and strigolactones59.
EBR improved photosynthetic performance and chlorophyll content by boosting antioxidant enzyme activity (SOD, CAT, APX), which helps mitigate ROS-induced damage to chlorophyll molecules under stress60. The EBR hormone enhances the expression of genes involved in photosystem II, chlorophyll biosynthesis, and light-harvesting complexes, leading to improved photosynthetic efficiency61. In the present work, the application of EBR positively regulated the chlorophyll a biosynthesis during alkaline stress to augment photosynthetic competence facing adverse environmental conditions. EBR could also delay the breakdown of chlorophyll a by stabilizing chloroplast membranes and reducing oxidative damage62.
BRs balance environmental assaults through activation of BR signaling via elevation of osmoprotectants production63, triggering machinery of antioxidant generation64, direct or indirect interaction with stress-related transcription factors (TFs)65, and cross-talk with other phytohormones66. EBR can influence the levels and signaling of other plant hormones such as abscisic acid (ABA)67, salicylic acid (SA), and jasmonic acid (JA)65. They can modulate the signaling pathways of other hormones, leading to synergistic or antagonistic interactions that fine-tune the plant’s response to stress. For example, EBR has been reported to interact with the ethylene signaling pathway to cope with abiotic stress68. Additionally, brassinosteroids play a diverse and vital role in regulating plant metabolism because of their synergy with other plant hormones such as auxin, cytokinins (CK), ethylene, polyamines (PA), gibberellins (GA), SA, JA, and ABA69. They bring back the normal growth process and confer adaptive response. They adopt mechanisms to positively alleviate abiotic stress by involving the negative regulator BIN2, prominent TFs BZR1/BES163, and potential transcription factors such as DREB, WRKY, MYB/MYC, GRAS, bZIP, NAC, NPR, etc. (Fig. 6). The expression of BR-associated genes is triggered via the phosphorylation of the BSU1 protein and the proteasome-mediated degradation of BIN2 proteins64. EBRs are recognized by a protein complex that includes receptor kinases such as the leucine-rich repeat encoded by BRASSINOSTEROID-INSENSITIVE 1 (BRI1) and BRI1-associated receptor kinase (BAK1)64. Brassinosteroids are thought to induce structural changes in the cytoplasmic regions of BRI1 and BAK1 by interacting with their extracellular binding sites70,71. To transmit stress signals into the cell, BRI1 initiates phosphorylation processes which include BSK1 (BR-Signaling Kinase1) and CDG1 (Constitutive Differential Growth1), activating specific protein phosphatases such as BSU1 (bri1 suppressor1) and BSU1-Like1-3 (BSL 1–3)72 which in turn phosphorylated BSU1/BSLs deactivate BIN2 (Brassinosteroid-Insensitive2) that is part of the GSK3-like kinase family73. After dephosphorylation, BIN2 binds to KIB1 (an F-box E3 ubiquitin ligase), leading to its ubiquitination and subsequent degradation by the proteasome74. Following the deactivation of BIN2, BZR1 (Brassinazole-resistant 1) and BES1 (bri1-EMS suppressor 1) undergo dephosphorylation rapidly by PP2A (protein phosphatase 2 A) proteins, resulting in their accumulation in the nucleus and regulation of BR-responsive genes75.
This study demonstrates that the ameliorative role of EBR in removing oxidative damage caused by alkaline stress is exerted through improving the activity of SOD, CAT, APX antioxidant enzymes, and PAL enzyme, as well as the synthesis of anthocyanin in Lallemantia iberica plants (Fig. 6). Seed priming with EBR is a cost-effective and scalable method that can be easily implemented in large-scale agricultural practices. Field trials have demonstrated that EBR priming can significantly improve crop resilience under various stress conditions. The simplicity of the seed priming process ensures that it can be adopted by farmers with minimal additional resources, making it an accessible technology for improving crop performance. Seed priming requires a relatively small amount of EBR, making it an economical option for farmers. Additionally, enhanced stress tolerance can lead to increased profitability. Integrating EBR into agricultural practices aligns with sustainable farming principles by reducing the dependency on chemical fertilizers and soil amendments. The insights gained from this study can inform crop breeding programs aimed at developing stress-tolerant varieties.
Proposed regulatory model illustrating the possible mechanism of 24-EBR on alleviation of alkaline stress in Lallemantia iberica plants. Abbreviations: CAT (Catalase), SOD (Superoxide dismutase), APX (Ascorbate peroxidase), PAL (Phenylalanine Ammonia-Lyase), CHS (chalcone synthase), CHI (chalcone isomerase), F3H (flavanone 3-hydroxylase), DFR (dihydroflavonol 4-reductase), ANS (anthocyanidin synthase), proline dehydrogenase (ProDH) and P5C dehydrogenase (P5CDH), Sucrose Synthase (SUSY), and Invertase (INV).
Conclusion
Alkaline soil poses significant challenges to agricultural productivity by causing nutrient availability issues and inducing physiological and biochemical stresses. Our findings demonstrate that EBR treatment effectively mitigates the adverse impacts of alkaline stress by modulating various physiological and biochemical parameters. Specifically, EBR administration resulted in a substantial reduction in MDA and H2O2 levels, indicating a decrease in lipid peroxidation and oxidative stress. Additionally, the levels of proline, soluble sugar, and soluble protein, which are typically elevated in response to stress, were lowered in EBR-treated plants. These reductions suggest an enhanced stress tolerance mechanism facilitated by EBR. This can open new avenues for exploring the use of EBR in other crops under alkaline stress. It seems EBR manages ameliorative impacts by boosting activity of the key antioxidant enzymes (SOD, CAT, and APX) and promoting the synthesis of anthocyanin in the dragon head plant. This comprehensive antioxidant defense system helps the dragonhead plant cope with stress more effectively, reducing the need for other osmolytes and antioxidants. In conclusion, the application of EBR seed priming presents a viable and cost-effective strategy to enhance the resilience of Lallemantia plants under alkaline stress. Our study paves the way for further research into the application of EBR in different crops and soil types. Future research should focus on optimizing the application methods and exploring the broader implications of EBR to maximize its benefit for agricultural practices.
Materials and methods
Plant materials and growth conditions
Dragonhead seeds were obtained from the Agricultural and Natural Resources Research Center of Urmia (West Azerbaijan province, Iran). Uniform-sized seeds were randomly divided into two groups. The seeds of the first group were soaked in distilled water (1µL of ethanol was added due to dissolving EBR in ethanol), and the second group was immersed in 24-EBR (10− 8M) (obtained from the Sigma-Aldrich CAS Number: 78821-43-9) for 24 h14. The 24-EBR (10− 8M) was obtained by diluting a stock solution of 10− 3M in mQ water. The immersed seeds were washed with distilled water three times, transferred into the pots filled with perlite, and cultured with half-strength Hoagland’s solution. Pots were placed in the growth chamber at temperatures of 25 °C/20°C ± 2 °C day/night, and a 16 h photoperiod with 70% humidity and 420 mmol m− 2 s− 1 light intensity14. Four-week-old plants were treated with and without 15 mM Na2CO3 (pH = 10.84) for 48 h76. The experiment was conducted in quadruplicate, and each replicate contained two pots. Each pot consisted of 4 plants (16 plants in each treatment group). To ensure randomization, the plants of each group (-EBR and + EBR) were randomly divided into two groups, including those with and without alkaline treatments. Within each treatment group, plants were arranged randomly in the growth chamber to minimize any positional effects. Additionally, the treatments were applied in a randomized order to further ensure unbiased results. Leaves and roots were harvested and kept in a −30 °C freezer for further analyses.
MDA, other aldehydes, and H2O2 assays
Lipid peroxidation was assessed by measuring MDA content using thiobarbituric acid (TBA) according to the method of77 with slight modifications. To prepare the required extract, 0.2 g of tissue was well-ground in 5 mL of 1% TCA solution (this step was performed in an ice bath), and then the obtained extract was centrifuged at 10,000 g for 5 min. Then, 4 mL of a solution containing (0.5% thiobarbituric acid (TBA) and 20% trichloroacetic acid (TCA)) was added to 1 mL of the supernatant extract, and the resulting solution was placed in a hot water bath at 95 °C for half an hour. Immediately after cooling on ice for 10 min, centrifugation was performed at 10,000 g. The absorbance of the resulting colored solution was measured at 532 nm (MDA) and 455 nm (other aldehydes such as 1-propanal, 1-butanal, 1-hexanal, 1-heptanal, 1-propanal-dimethylacetal). Moreover, in order to eliminate non-specific absorptions, the absorbance of the samples was read at 600 nm and subtracted from the absorbance of the samples. The extinction coefficients of 1.56 × 105 Mcm− 1and 0.457 × 105 Mcm− 1 were used to calculate the contents of MDA and other aldehydes, respectively. To measure H2O2 content, 0.5 g of fresh plant tissue was ground with 1.5 mL of 0.1% TCA and then centrifuged at 10,000 g and 4 °C for 15 min. Then 0.5 mL of 10 mM potassium phosphate buffer with pH = 7, 1 mL of 1 M potassium iodide (KI), and 500 µL of plant extract were added and kept in the dark for 1 h at 25 °C. The absorbance was read at 390 nm, and the H2O2 content was calculated with a standard curve and reported in terms of µmol g− 1 FW78.
Proline and soluble sugar contents
The method of Paquin & Lechasseur (1979) was employed to measure proline content79. To prepare the ninhydrin reagent, 1.25 g of ninhydrin was dissolved in 30 mL of glacial acetic acid and heated gently at 60 °C. Then, 20 mL of 6 M phosphoric acid was added and mixed thoroughly. This solution is stable at 4 °C for 24 h. The alcoholic extract (preparation of extract: 0.5 g of leaf tissue was crushed in a mortar with 5 mL of 95% ethanol at 25 °C was used to measure the proline content. Thus, 200 µL of alcoholic extract was mixed with 2 mL of distilled water, 1 mL of ninhydrin, and 1 mL of glacial acetic acid using a vortex, then placed in a hot water bath at 100 °C for 45 min. After removing from the hot water bath, 2 mL of benzene (precooled at 4 °C) was added to allow proline to enter the benzene phase, vortexing was performed again, and we allowed it to stand at ambient temperature for 30 min. After that, the supernatant was removed, and its absorbance was read at a wavelength of 515 nm by a spectrophotometer. The proline content was calculated in µmolg− 1FW.
To determine the total soluble sugar content, the method of80 was employed. The alcoholic extract (preparation of extract: 0.5 g of leaf tissue was crushed in a mortar with 5 mL of 95% ethanol at room temperature) was used to measure the sugar content. The obtained extract was centrifuged at 3500 g for 5 min at 4 °C, and 50 µL of ethanol extract was added to 3 mL of freshly prepared anthrone (0.0675 g of anthrone + 45 mL of 72% sulfuric acid). Then the test tubes were placed in a hot water bath for 10 min to form a colored substance. After the samples were cooled to room temperature, the absorbance was read at a wavelength of 625 nm by a spectrophotometer. The sugar content was calculated in mg g− 1FW.
Total phenol and flavonoid contents
To measure total phenolic content, 125 µL of polyphenolic extract, 1.5 mL of distilled water, and 125 µL of Folin-Ciocalteu reagent were mixed at room temperature, and after 6 min, 1.25 mL of sodium carbonate solution (7%) was added to the resulting mixture, and the solutions were kept in the dark for 90 min. Then, their absorbance was read at a wavelength of 760 nm using a spectrophotometer. The measurement of all samples was done with four independent repetitions, and the amount of total phenol in each sample was calculated with the help of the equation obtained from the standard curve of gallic acid81. To measure total flavonoids, 0.5 mL of polyphenol extract, 50 µL of 33% acetic acid, and 100 µL of freshly prepared 10% aluminum chloride solution were mixed, and the final volume of the solution was adjusted to 2.5 mL using ethanol. After 30 min, their absorbance was read at a wavelength of 414 nm using a spectrophotometer. The measurement of all samples was done with three independent repetitions, and the amount of total flavonoid in each sample was calculated with the help of the equation obtained from the quercetin standard curve33.
DPPH and FRAP assessments
1,1-diphenyl-2-picryllydrazyl radical (DPPH•) was used to evaluate the activity of natural antioxidants in scavenging free radicals. In this study, the obtained extract was mixed with a methanol solution containing 3 mM (DPPH•), prepared and stored at 4 °C until use. For each sample, 28 µL of the extract was mixed with 28 µL of DPPH solution and 944 µL of absolute methanol. The antioxidant activity of the samples was read after the resulting solutions were exposed to the dark at room temperature for 10 min using a spectrophotometer at a wavelength of 515 nm. The antioxidant content was calculated by the following method82.
DPPH• = percentage of radical inhibition ([(A0-A1)/A0] *100 A0 = absorbance of blank solution (DPPH•) A1 = absorbance of the extract.
In order to measure the antioxidant content by the FRAP method, first, several different solutions were prepared and mixed together in order, and then the measurement was performed. The first step was to prepare the acetate buffer; 0.62 g of sodium acetate was dissolved in 200 mL of distilled water, and the pH of the solution was adjusted to about 2.3 with glacial acetic acid. The second step was to prepare 20 mM ferric chloride: 0.1082 g of ferric chloride was dissolved in 20 mL of distilled water. The third step was to prepare 40 mM HCL: 0.292 mL of HCL was dissolved in distilled water, and then the volume was brought to 200 mL. Step 4: Preparation of TPTZ: 0.062 g of TPTZ was dissolved in 20 mL of HCl (40 mM) (Wrapped in foil and placed in an ice bath of 0–4 °C). Step 5: Preparation of FRAP solution: 200 mL of acetate buffer was taken, and 20 mL of ferric chloride was added to it. Then 20 mL of TPTZ and 24 mL of distilled water were added, and the FRAP solution was obtained. Finally, 2.85 mL of FRAP solution was taken and mixed with 150 µL of extract. The samples were read 10 min later using a spectrophotometer at a wavelength of 593 nm83.
Protein content and antioxidant enzyme activity assays
In order to prepare the protein extract, 0.5 g of plant tissue was weighed and ground on ice (0–4 °C) with 5 mL of extraction buffer to obtain a completely homogeneous extract. The extraction buffer consisted of the following ingredients: (potassium phosphate (K2HPO4 and KHPO4) 50 mM, pH = 7.5, EDTA 1mM, PVP 1%). Then, the resulting homogenate was centrifuged at 12,000 g at 4 °C for 20 min using a refrigerated centrifuge. The supernatant was carefully separated from the sediment and transferred to clean vials. At the end of the centrifugation step, the vials were slowly removed from the device, and the supernatant was distributed into several small vials. The resulting protein extract was used immediately or stored at 4 °C to measure the total protein concentration and to investigate the activities of the CAT, SOD, APX, GPX, and PAL enzymes.
To measure the amount of soluble protein, the Bradford (1976) method was used. 100 µL of protein extract (kept on ice at 0–4 °C) was added to 3 mL of Bradford reagent, poured into a Falcon, mixed by hand or vortex, and then observed at 595 nm. Using the standard curve formula, the amount of total protein in each sample was calculated in mg g− 1 FW tissue weight. Preparation of Bradford reagent: 0.01 g of Coomassie Blue G250 was dissolved in 5 mL of 95% ethanol using a magnet. Then, 10 mL of 85% orthophosphoric acid was added dropwise until completely dissolved. Finally, the total volume of the solution was brought to 100 mL. To remove suspended particles, the solution was filtered several times with Whatman filter paper until its color turned light brown, then poured into a dark container and kept in the refrigerator at 4 °C for measuring soluble protein84.
To determine SOD activity, 3 mL of 50 mM potassium phosphate buffer with pH = 7.8, 13 mM methionine, 75 µM nitrobutyronine, 4 µM riboflavin, and 0.1 mM EDTA were mixed and stored in the dark at a temperature of 4 °C. The 2.5 mL of the above solution was mixed with 100 µL of enzyme extract and placed at a distance of 15 cm from the light source. After 15 min, the light was turned off, and absorption of the samples was performed with a spectrophotometer at a wavelength of 260 nm85.
The extract prepared for soluble protein determination (stored at 4 °C) was used for the measurement of the CAT enzyme. 2.5 mL of 50 mM phosphate buffer (pH = 7), and 20 µL of 3% H2O2 were mixed with 20 µL of the plant extract. The absorption of the samples was performed at a wavelength of 240 nm using a spectrophotometer within 1 min86.
To assess the activity of ascorbate peroxidase enzyme (APX), 2 mL of 0.05 M phosphate buffer, 0.2 mL of 3% hydrogen peroxide, and 0.2 mL of 50 µM ascorbate were mixed in an ice bath (0–4 °C), and immediately, 100 µL of enzyme extract was added. The absorbance change curve at 290 nm wavelength was read by a spectrophotometer87.
To assess the guaiacol peroxidase activity (GPX), 2.5 mL of 0.05 M phosphate buffer, 20 µL of 3% hydrogen peroxide, and 100 µL of 28 mM guaiacol were mixed in an ice bath (0–4 °C). Then, 50 µL of enzyme extract was added. Immediately, the absorption changes were checked by a spectrophotometer at the wavelength of 420 nm for 1 min88.
To measure PAL enzyme, 1 mL of reaction solution was prepared, including reaction buffer (50 mM potassium phosphate buffer, pH = 7.5, containing 1% PVP and 1 mM EDTA), 0.5 mL of 10 mM phenylalanine, 0.4 mL of double-distilled water, and 100 µL of enzyme extract in a final volume of 1 mL. Then, it was kept at 40 °C for 60 min. Finally, 50 µL of 6 M hydrochloric acid (pre-cooled to 0–4 °C) was added to the above solution to stop the reaction of cinnamic acid production from phenylalanine. Finally, enzyme activity was reported at a wavelength of 260 nm based on the rate of cinnamic acid production in nmol mg− 1 pr− 1 min− 189.
Evaluation of anthocyanin content
Anthocyanin content was measured using the described protocol90. 0.1 g of leaf samples were extracted at room temperature in 1 mL of 1% (v/v) hydrochloric acid in methanol for 1 day. The mixture was centrifuged at 13,000×g for 10 min, and the absorbance of the supernatant was read at 530 and 657 nm. Anthocyanin contents were calculated using the following formula:
Photosynthetic pigments measurement
The measurement of chlorophylls and carotenoid pigments was carried out by the method of Arnon et al. (1949)91. For this purpose, 0.05 g of the leaf tissue was weighed and rubbed with 80% acetone, then smoothed using filter paper (Whatman 1). The final volume of acetone was 2 mL. In the end, the optical absorption of the obtained extract was read by a spectrophotometer at wavelengths 470, 645, and 663 nm. The content of chlorophyll a and b and carotenoid was calculated using the following formulas, in terms of mg g− 1 FW.
Statistical analyses
The present experiment was conducted as a factorial design based on a completely randomized design with four replications. Data analysis was performed using SAS 9.2 software. The mean comparison was performed based on One-way ANOVA, running Post hoc Duncan’s test at the probability level of P ≤ 0.05. Graphs were drawn based on average data and standard error.
Data availability
The datasets generated during and/or analyzed during the current study are available from the corresponding author on reasonable request.
References
Wang, W. et al. Alkaline salt inhibits seed germination and seedling growth of Canola more than neutral salt. Front. Plant. Sci. 13, 814755 (2022).
Ma, C. et al. IAA plays an important role in alkaline stress tolerance by modulating root development and ROS detoxifying systems in rice plants. Int. J. Mol. Sci. 23, 14817 (2022).
Fang, S., Hou, X. & Liang, X. Response mechanisms of plants under saline-alkali stress. Front. Plant. Sci. 12, 667458 (2021).
Sagervanshi, A., Geilfus, C. M., Kaiser, H. & Mühling, K. H. Alkali salt stress causes fast leaf apoplastic alkalinization together with shifts in ion and metabolite composition and transcription of key genes during the early adaptive response of Vicia Faba L. Plant. Sci. 319, 111253 (2022).
Choudhary, S. et al. Cellular responses, osmotic adjustments, and role of osmolytes in providing salt stress resilience in higher plants: polyamines and nitric oxide crosstalk. J. Plant. Growth Regul. 42, 539–553 (2023).
Kumar, P. et al. Osmolytes as stress sensors in plants in Acclimatizing Plants Under Stress Conditions. (eds Singh, L. R. & Dar, T. A. Kumari, K.)199–210 (Springer, 2024).
Khan, T. A. et al. Investigating the influence of selenium and Epibrassinolide on antioxidant activity, proline accumulation, and protein expression profiles in wheat plants experiencing heat and drought stress. Front. Plant. Sci. 15, 1441483 (2024).
Zeng, G. et al. 24-epibrassinolide enhances drought tolerance in grapevine (Vitis vinifera L.) by regulating carbon and nitrogen metabolism. Plant. Cell. Rep. 43, 219 (2024).
Singh, D., Singla-Pareek, S. L. & Pareek, A. Two-component signaling system in plants: interaction network and specificity in response to stress and hormones. Plant. Cell. Rep. 40, 2037–2046 (2021).
Liu, X., Quan, W. & Bartels, D. Stress memory responses and seed priming correlate with drought tolerance in plants: an overview. Planta 255, 45 (2022).
Manghwar, H., Hussain, A., Ali, Q. & Liu, F. Brassinosteroids (EBLs) role in plant development and coping with different stresses. Int. J. Mol. Sci. 23, 1012 (2022).
Hasanuzzaman, M. & Nahar, K. (eds.) Abiotic stress in crop plants. In Ecophysiological Responses and Molecular Approaches (Intech Open, 2024).
Gupta, P. & Seth, C. S. 24-Epibrassinolide regulates functional components of nitric oxide signaling and antioxidant defense pathways to alleviate salinity stress in Brassica juncea L. cv. Varuna. J. Plant. Growth Regul. 42, 4207–4222 (2023).
Mehrian, S. K., Karimi, N. & Rahmani, F. 24-Epibrassinolide alleviates Diazinon oxidative damage by escalating activities of antioxidant defense systems in maize plants. Sci. Rep. 13, 19631 (2023).
Mehrian, S. K., Karimi, N. & Rahmani, F. Detrimental impacts of concomitant application of cadmium and pesticides are ameliorated by 24-epibrassinolide through alteration in oxidative status and CYP genes expression in Zea Mays L. Rhizosphere 29, 100872 (2024).
Torabi, S. & Rahmani, F. 24-epibrassinolide promotes resilience against arsenic stress via modulating amino acid profiles and mRNA abundance of CYP450 and MRP genes in Zea Mays L. Plant. Physiol. Biochem. 221, 109631 (2025).
Shafi, Z. et al. The exogenous application of 24-epibrassinolide (24-EBL) increases the cd and Pb resilience in Zea Mays (L.) by regulating the growth and physiological mechanism. Appl. Biochem. Biotechnol. 196 (7), 3949–3973 (2024).
Maia Junior, S. de O., Andrade, J. R., Silva, P. C., Aguiar, D. L. & Pinheiro, F. A. S. Soybean seed priming with brassinosteroids mitigates the effects of drought stress. J. Plant Growth Regul. 125, 2944–2958 (2025).
Javanmard, A. et al. Optimizing phytochemical and physiological characteristics of Balangu (Lallemantia iberica) by foliar application of Chitosan nanoparticles and myco-root inoculation under water supply restrictions. Horticulturae 8 (8), 695 (2022).
Khosravi Dehaghi, N., Gohari, A. R., Sadat-Ebrahimi, S. S., Naghdi Badi, H. & Amanzadeh, Y. Phytochemistry and antioxidant activity of Lallemantia iberica aerial parts. Res. J. Pharmacogn. 3 (3), 27–34 (2016).
Amanzadeh, Y., Khosravi Dehaghi, N., Gohri, A. R., Esfahani, H. R. & Ebrahimi, S. Antioxidant investigation of essential oil (Lallemantia iberica) in the flowering and post-flowering stage. J. Biol. Sci. Res. 6 (1), 119–117 (2013). (In Persian).
Hnilickova, H., Kraus, K. & Vachova, Hnilicka, F. Salinity stress affects photosynthesis, malondialdehyde formation, and proline content in Portulaca Oleracea L. Plants 10 (5), 845 (2021).
Liang, X. et al. Lipid-Derived aldehydes: new key mediators of plant growth and stress responses. Biology (Basel). 11 (11), 1590 (2022).
Abdoli, M. et al. Synergistic effects of melatonin and 24-epibrassinolide on Chickpea water deficit tolerance. BMC Plant. Biol. 24, 671 (2024).
Smirnoff, N. & Arnaud, D. Hydrogen peroxide metabolism and functions in plants. New Phytol. 221, 1197–1214 (2019).
Li, J. & &Yang, Y. How do plants maintain pH and ion homeostasis under saline-alkali stress? Front. Plant. Sci. 14, 1217193 (2023).
Yin, T. et al. Comparative analysis of the PAL gene family in nine citruses provides new insights into the stress resistance mechanism of citrus species. BMC Genom. 25, 1020 (2024).
Spormann, S. et al. Accumulation of proline in plants under contaminated soils—are we on the same page? Antioxidants 12, 666 (2023).
Zhang, X. et al. Analysis of anthocyanin accumulation and related gene expression during Fig fruit development. Plant. Mol. Biol. Rep. 41, 317–332 (2023).
Nie, W., He, Q., Ma, J., Guo, H. & Shi, Q. Exogenous 2,4-epibrassinolide alleviates alkaline stress in cucumber by modulating photosynthetic performance. Plants 14 (1), 54 (2025).
Afzal, S., Chaudhary, N. & Singh, N. K. Role of soluble sugars in metabolism and sensing under abiotic stress. In Plant Growth Regulators (eds. Aftab, T. & Hakeem K. R.) 305–334 (Springer, 2021).
Jeandet, P., Formela-Luboinska, M., Labudda, M. & Morkunas, I. The role of sugars in plant responses to stress and their regulatory function during development. Int. J. Mol. Sci. 23, 5161 (2022).
Xu, Z., Wang, J., Zhen, W., Sun, T. & Hu, X. Abscisic acid alleviates harmful effect of saline-alkaline stress on tomato seedlings. Plant. Physiol. Biochem. 15 (175), 58–67 (2022).
Luo, S. et al. Regulatory role of exogenous 24-epibrassinolide on tomato fruit quality. BMC Plant. Biol. 25, 703 (2025).
Gurrieri, L., Merico, M., Trost, P., Forlani, G. & Sparla, F. Impact of drought on soluble sugars and free proline content in selected Arabidopsis mutants. Biology 9, 367 (2020).
Baliyan, S. et al. Determination of antioxidants by DPPH radical scavenging activity and quantitative phytochemical analysis of Ficus religiosa. Molecules 27 (4), 1326 (2022).
Iwaniuk, P & Lozowicka, B. Biochemical compounds and stress markers in lettuce upon exposure to pathogenic Botrytis cinerea and fungicides inhibiting oxidative phosphorylation. Planta. 255(3), 61 (2022).
Sethi, S. et al. Significance of FRAP, DPPH, and CUPRAC assays for antioxidant activity determination in Apple fruit extracts. Eur. Food Res. Technol. 246, 591–598 (2020).
Shabab, Z. & Sarada, D. V. L. 24-Epibrassinolide mitigates arsenate stress in seedlings of Oryza sativa (IR-20) via the induction of phenylpropanoid pathway. Plant. Physiol. Biochemi. 215, 109023 (2024).
Yamini, T., Gautam, C., Kumar, R. & Kaur, M. Phenolic Biosynthesis and Metabolic Pathways To Alleviate Stresses in Plants in Plant Phenolics in Abiotic Stress Management 63–87 (Springer Nature, 2023).
Athar, H. R. et al. Salt stress proteins in plants: an overview. Front. Plant. Sci. 13, 999058 (2022).
Çatav, Ş. S., Genç, T. O., Oktay, M. K. & Küçükakyüz, K. Cadmium toxicity in wheat: impacts on element contents, antioxidant enzyme activities, oxidative stress, and genotoxicity. Bull. Environ. Contam. Toxicol. 104 (1), 71–77 (2020).
Wang, G. et al. The effect of neutral salt and alkaline stress with the same Na ± concentration on root growth of soybean (Glycine max (L.) Merr.) seedlings. Agronomy 12 (11), 2708 (2022).
Dabravolski, S. A. & Isayenkov, S. V. The role of anthocyanins in plant tolerance to drought and salt stresses. Plants (Basel). 5 (12(13), 2558 (2023).
Jha, S. Proteome responses of Pearl millet genotypes under salinity. Plant. Gene. 29, 100347 (2022).
Mu, D. W. et al. Physiological mechanism of exogenous Brassinolide alleviating salt stress injury in rice seedlings. Sci. Rep. 12 (1), 20439 (2022).
Nie, W., He, Q., Ma, J., Guo, H. & Shi, Q. Exogenous 2,4-epibrassinolide alleviates alkaline stress in cucumber by modulating photosynthetic performance. Plants. 14(1), 54 (2025).
Mishra, N. et al. Achieving abiotic stress tolerance in plants through antioxidative defense mechanisms. Front. Plant. Sci. 14, 2023 (2023).
Wang, N. & Chen, H. Effect of saline–alkaline stresses on the interspecific competition between Aegilops Tauschii and Triticum aestivum. Can. J. Soil. Sci. 103 (3), 462–470 (2023).
Zhao, B. et al. Saline–alkaline stress resistance of cabernet sauvignon grapes grafted on different rootstocks and rootstock combinations. Plants 12 (15), 2881 (2023).
Nawaz, M., Anjum, S. A., Ashraf, U., Azeem, F. & Wang, Z. Springer Nature,. Antioxidant defense system and reactive oxygen species (ROS) interplay in plants under drought condition in Handbook of climate change management (eds. Luetz, J.M., Ayal, D) 93–117 (Springer Nature, 2021)
Li, Z. & Ahammed, G. J. Plant stress response and adaptation via anthocyanins: A review. Plant. Stress. 10, 100230 (2023).
Zaid, A., Mohammad, F. & Fariduddin, Q. Plant growth regulators improve growth, photosynthesis, mineral nutrient, and antioxidant system under cadmium stress in menthol mint (Mentha arvensis L). Physiol. Mol. Biol. Plants. 26 (1), 25–39 (2020).
Sharma, M. et al. Paclobutrazol improves the chlorophyll content and antioxidant activities of red rice in response to alkaline stress. J Soil. Sci. Plant Nutr. 23 (4), 6429–6444 (2023).
Buitrago, S., Yang, X., Wang, L., Pan, R. & Zhang, W. Evolutionary analysis of anthocyanin biosynthetic genes: insights into abiotic stress adaptation. Plant. Mol. Biol. 16 (1), 6 (2024).
Marin-Recinos, M. F. & Pucker, B. Genetic factors explaining anthocyanin pigmentation differences. BMC Plant. Biol. 24, 627 (2024).
Medda, S., Dessena, L. & Mulas, M. Monitoring of the PAL enzymatic activity and polyphenolic compounds in leaves and fruits of two Myrtle cultivars during maturation. Agriculture 10 (9), 389 (2020).
Trifunović-Momčilov, M. et al. Changes in photosynthetic pigments content in non-transformed and AtCKX Transgenic Centaury (Centaurium erythraeaRafn) leaves grown under salt stress in vitro. Agronomy 1 (10), 2056 (2021).
Sun, T. et al. Plant carotenoids: recent advances and future perspectives. Mol. Hortic. 2, 3 (2022).
Nie, W., Wang, Y. & Liu, H. 24-Epibrassinolide improves photosynthetic performance and chlorophyll content under alkaline stress in cucumber seedlings. Plants 13 (1), 54 (2024).
Santos, T. B., Ribeiro, R. V., Machado, E. C. & Pimentel, C. Brassinosteroids mitigate magnesium deficiency effects on photosynthesis and chlorophyll metabolism in soybean plants. J. Plant. Growth Regul. 42, 105–118 (2023).
Dong, J., Wang, Y., Liu, Y., Zhang, Y. & Liu, Y. Exogenous 24-epibrassinolide alleviates low-temperature stress by enhancing antioxidant defense and photosynthetic capacity in grape seedlings. Front. Plant. Sci. 14, 1187680 (2023).
Fàbregas, N. et al. Overexpression of the vascular brassinosteroid receptor BRL3 confers drought resistance without penalizing plant growth. Nat. Commun. 9, 4680 (2018).
Chaudhuri, A., Halder, K., Abdin, M. Z., Majee, M. & Datta, A. Abiotic stress tolerance in plants: brassinosteroids navigate competently. Int. J. Mol. Sci. 23, 14577 (2022).
Cao, X., Wei, Y., Shen, B., Liu, L. & Mao, J. Interaction of the transcription factors BES1/BZR1 in plant growth and stress response. Int. J. Mol. Sci. 25, 6836 (2024).
Gao, Y. et al. Brassinolides signaling pathway: tandem response to plant hormones and regulation under various abiotic stresses. Hortic. Adv. 2, 27 (2024).
Dong, T., Hao, T., Hakeem, A., Ren, Y. & Fang, J. Synergistic variation in abscisic acid and Brassinolide treatment signaling component alleviates fruit quality of ‘Shine muscat’ grape during cold storage. Food Chem. 464, 141584 (2025).
Shahzadi, I. et al. Brassinosteroid and ethylene-mediated cross talk in plant growth and development in Brassinosteroids signaling (eds. Khan, M.T.A., Yusuf, M., Qazi, F., Ahmad, A) 117–136 (Springer, 2022).
Kour, J. et al. Brassinosteroid signaling, crosstalk and, physiological functions in plants under heavy metal stress. Front. Plant. Sci. 12, 608061 (2021).
Mao, J., Shen, B., Li, W., Liu, L. & Li, J. Post-translational regulation of BRI1-EMS suppressor 1 and brassinazole-resistant 1. Plant. Cell. Physiol. 65 (10), 1544–1551 (2024).
Mühlenbeck, H., Tsutsui, Y., Lemmon, M., Bender, K. & Zipfel, C. Allosteric activation of the co-receptor BAK1 by the EFR receptor kinase initiates immune signaling. Elife 12, RP92110 (2024).
Liu, F. et al. Arabidopsis protein S-acyl transferases positively mediate BR signaling through S-acylation of BSK1. Proc. Natl. Acad. Sci. 121 (7), e2322375121 (2024).
Guo, B., Kim, E., Zhu, Y., Wang, K. & Russinova, E. Shaping brassinosteroid signaling through scaffold proteins. Plant. Cell. Physiol. 65 (10), 1608–1617 (2024).
Zhang, S. et al. Phosphorylation of the transcription factor SlBIML1 by SlBIN2 kinases delays flowering in tomato. Plant Physiol. 196 (4), 2583–25989 (2024).
Mao, J. & Li, J. Regulation of three key kinases of brassinosteroid signaling pathway. Int. J. Mol. Sci. 21, 4340 (2020).
Zhang, H. Root damage under alkaline stress is associated with reactive oxygen species accumulation in rice (Oryza sativa L). Front. Plant. Sci. 8, 1580 (2017).
Heath, R. L. &Packer, L. Photoperoxidation in isolated chloroplast. I. kinetics and stoichiometry of fatty acid peroxidation. Arch. Biochem. Biophys. 125, 189–198 (1969).
Velikova, V., Yordanov, I. & Edreva, A. Oxidative stress and some antioxidant systems in acid rain-treated bean plants. Plant. Sci. 151, 59–66 (2000).
Paquin, R. & Lechasseur, P. Observations on measurement method of free proline in extracts from plants. Can. J. Bot. 57, 1851–1854 (1979).
Irigoyen, J. J., Emerich, D. W. & Sanchez-Diaz, M. Water stress induced changes in concentration of proline and total soluble sugars in nodulated alfalfa (Medicago sativa L). Plant. Physiol. 84, 55–60 (1992).
Alam, P. et al. 24-epibrassinolide (EBL) confers tolerance against NaCl stress in soybean plants by up-regulating antioxidant system, ascorbate-glutathione cycle, and glyoxalase system. Biomol 9, 640 (2019).
Hatamnia, A. A., Abbaspour, N. & Darvishzadeh, R. Antioxidant activity and phenolic profile of different parts of Bene (Pistacia Atlantica subsp. kurdica) fruits. Food Chem. 145, 306–311 (2014).
Li, D. et al. ABA and UV-C effects on quality, antioxidant capacity, and anthocyanin contents of strawberry fruit (Fragaria Ananassa Duch). Postharvest Bio Technol. 90, 56–62 (2014).
Bradford, M. M. A rapid and sensitive method for the quantitation of microgram quantities of protein utilizing the principle of protein–dye binding. Anal. Biochem. 72, 248–254 (1976).
Giannopolitis, C. N.&Ries, S. K. Superoxide dismutases: I. Occurrence in higher plants. Plant physiol. 59 (2), 309–314 (1977).
Aebi, H. Catalase in vitro. Methods Enzymol. 105, 121–126 (1984).
Nakano, Y. & Asada, K. Hydrogen-peroxide is scavenged by ascorbate-specific peroxidase in spinach-chloroplasts. Plant. Cell. Physiol. 22, 867–880 (1981).
Beauchamp, C. & Fridovich, I. Superoxide dismutase: improved assays and an assay applicable to acrylamide gels. Anal. Biochem. 44, 276–287 (1971).
Beaudoin-Eagan, L. D. & &Thorpe, T. A. Tyrosine and phenylalanine ammonia lyase activities during shoot initiation in tobacco callus cultures. Plant. Physiol. 78, 438–441 (1985).
Meir, S. & Philosoph-Hadas, S. &Aharoni, N. Ethylene-increased accumulation of fluorescent lipid-peroxidation products detected during senescence of parsley by a newly developed method. J. Am. Soc. Hortic. Sci. 117 (1), 128–132 (1992).
Arnon, D. I. Copper enzymes in isolated chloroplasts. Polyphenoloxidase in Beta vulgaris. Plant. Physiol. 24, 1–15 (1949).
Acknowledgements
The authors have special thanks to Dr. Sepideh Hatami from Agricultural Research, Education and Extension Organization (AREEO)/Iran for providing seeds.
Author information
Authors and Affiliations
Contributions
Mahsa Allahverdian: Writing- Original draft preparation, Investigation, Software; Fatemeh Rahmani: Conceptualization, Methodology, Data Curation, Writing- Reviewing and Editing, Supervision, Validation.
Corresponding author
Ethics declarations
Competing interests
The authors declare no competing interests.
Additional information
Publisher’s note
Springer Nature remains neutral with regard to jurisdictional claims in published maps and institutional affiliations.
Supplementary Information
Below is the link to the electronic supplementary material.
Rights and permissions
Open Access This article is licensed under a Creative Commons Attribution-NonCommercial-NoDerivatives 4.0 International License, which permits any non-commercial use, sharing, distribution and reproduction in any medium or format, as long as you give appropriate credit to the original author(s) and the source, provide a link to the Creative Commons licence, and indicate if you modified the licensed material. You do not have permission under this licence to share adapted material derived from this article or parts of it. The images or other third party material in this article are included in the article’s Creative Commons licence, unless indicated otherwise in a credit line to the material. If material is not included in the article’s Creative Commons licence and your intended use is not permitted by statutory regulation or exceeds the permitted use, you will need to obtain permission directly from the copyright holder. To view a copy of this licence, visit http://creativecommons.org/licenses/by-nc-nd/4.0/.
About this article
Cite this article
Allahverdian, M., Rahmani, F. Epibrassinolide seed priming alleviates alkaline stress by enhancing antioxidant defense in dragonhead plants. Sci Rep 16, 1137 (2026). https://doi.org/10.1038/s41598-025-30763-2
Received:
Accepted:
Published:
Version of record:
DOI: https://doi.org/10.1038/s41598-025-30763-2





