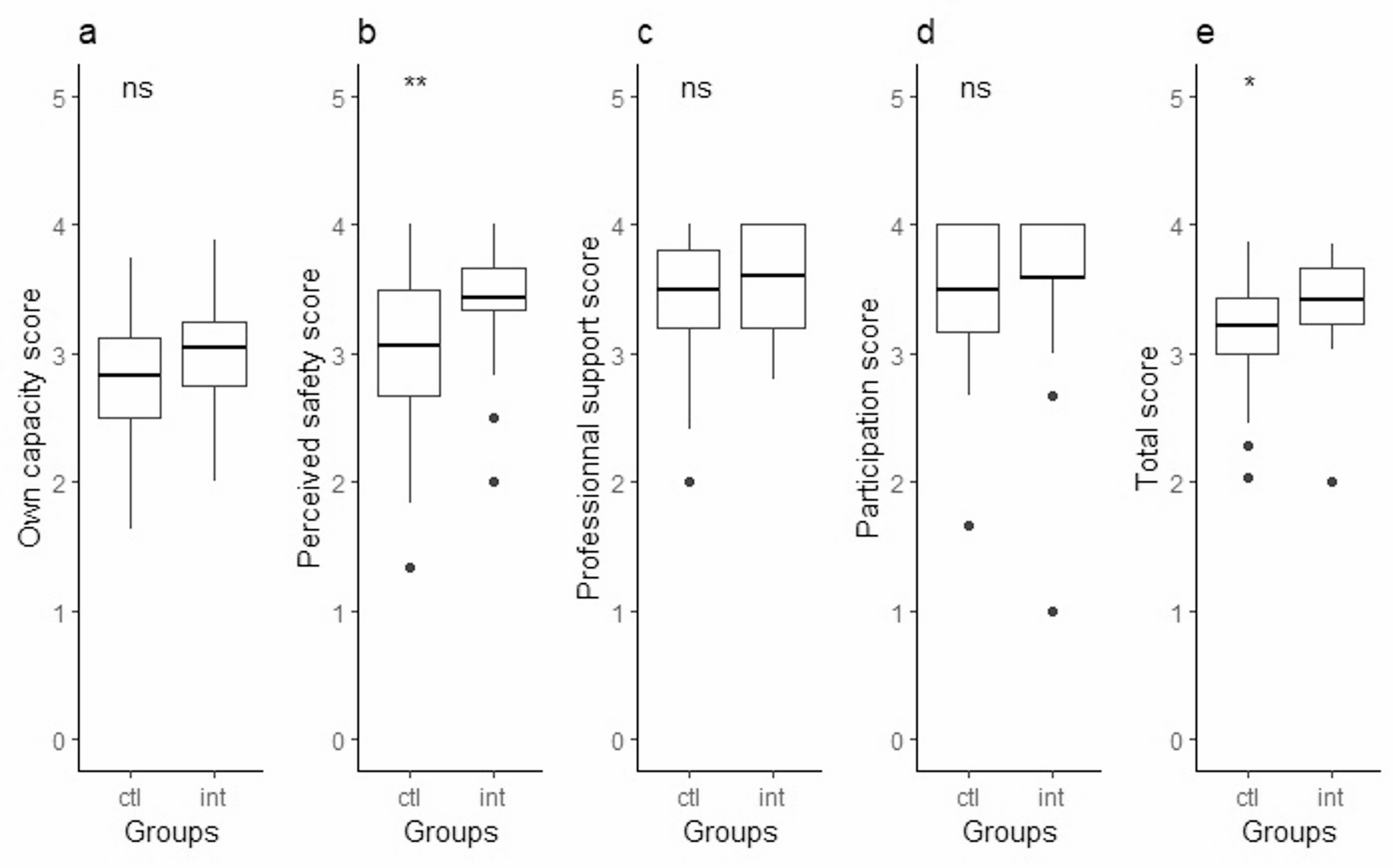
Fig. 3

Primary outcome. There is a significant difference for the childbirth experience total score and the “perceived safety” subscale between the intervention and the control group, indicating a better childbirth experience and a higher sense of safety in the intervention group. ctl: control group, intervention group, ns: non-significant, *: significant result with a small effect size, **: significant result with a medium effect size.