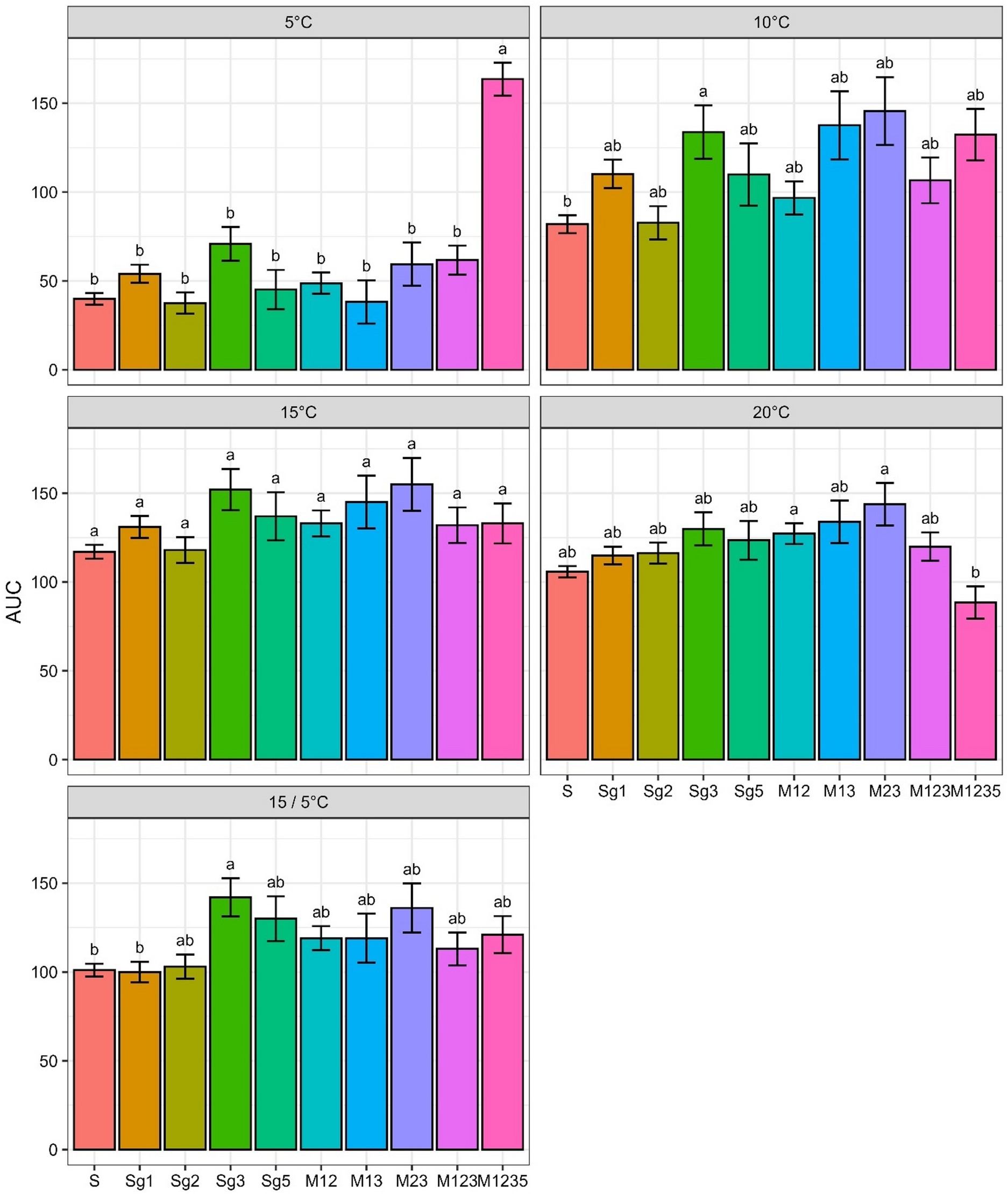
Fig. 3

Germination dynamics of silky windgrass (Apera spica-venti) biotypes expressed as area under the germination curve (AUC) across five temperatures (5 °C, 10 °C, 15 °C, 20 °C, and alternating 15/5°C). Bars represent mean ± SE (n = 4). Different letters indicate statistically significant differences among temperature treatments within each resistance group (Tukey’s HSD, p < 0.05). Resistance groups (X-axis): S – susceptible; Sg – single-resistant; M – multiple-resistant; 1, 2, 3, 5 – HRAC/WSSA groups.