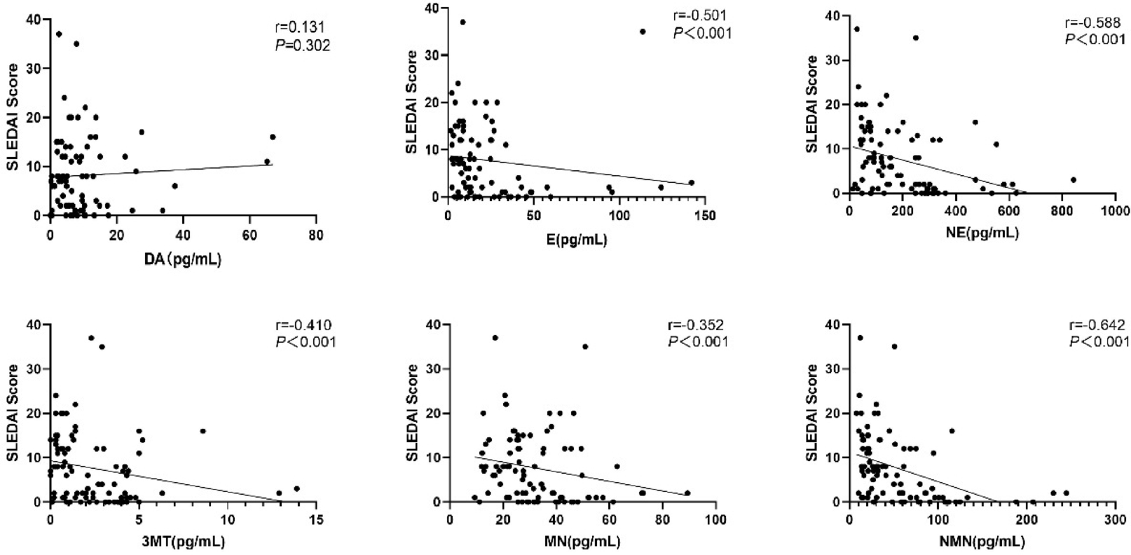
Fig. 7

Correlation analysis of plasma catecholamine metabolites with SLEDAI score in SLE patients. The Spearman correlation coefficient (r) and the associated P-value for each correlation are indicated on each plot. A regression line is included to visualize the trend of the relationship.