Abstract
Systemic lupus erythematosus (SLE) presents diagnostic and disease monitoring challenges due to its heterogeneity and variable activity. In this cross-sectional study, we investigated the association of plasma catecholamine (CA) metabolites with SLE status and disease activity. Plasma samples from 88 SLE patients and 64 healthy controls were analyzed using targeted liquid chromatography-tandem mass spectrometry to quantify dopamine (DA), epinephrine (E), norepinephrine (NE), 3-methoxytyramine (3MT), metanephrine (MN), and normetanephrine (NMN). Significant alterations in CA metabolites levels were observed in SLE patients compared to controls, independent of glucocorticoid treatment. Orthogonal partial least squares-discriminant analysis (OPLS-DA) suggested distinct metabolic profiles in active SLE. NE, NMN, MN, and E showed notable group differences and correlations with inflammatory markers, clinical features, complement levels, and SLE Disease Activity Index (SLEDAI) scores. Receiver operating characteristic analysis demonstrated strong diagnostic performance for individual CA biomarkers, while combined plasma CA metabolites assessment yielded superior predictive capability for SLE activity (AUC: 0.866, 95% CI: 0.785–0.947). These findings highlight the potential of plasma CA metabolites, particularly NE and NMN, are associated with SLE disease activity and may serve as potential associative biomarkers. Further validation in independent and longitudinal cohorts is warranted.
Introduction
Systemic lupus erythematosus (SLE) is a complex autoimmune disease characterized by a breakdown in immune tolerance and the production of autoantibodies1. The resulting circulating immune complexes elicit significant inflammatory responses, ultimately leading to multi-organ damage. Organs commonly affected include the skin, joints, kidneys, central nervous system, and cardiovascular system2,3. Over the past decade, both the incidence and prevalence of SLE have increased. Recent epidemiological data report a global prevalence of 43.7 cases per 100,000 individuals (ranging from 15.87 to 108.92), impacting approximately 3.41 million people worldwide, with 400,000 new cases identified annually4,5. SLE disproportionately affects women and remains one of the leading causes of death among young females6. The disease often has an insidious onset and, once activated, can lead to irreversible organ damage7. Previous studies have indicated that SLE patients had double the risk of developing cardiovascular diseases compared to the general population8,9,10. Organ damage, along with elevated risks of infection, malignancy, and complications associated with prolonged glucocorticoid therapy11,12,13,14,15, contributes to increased disability and all-cause mortality rates in these patients16. Due to the challenges of achieving a complete cure, the primary clinical objectives in SLE management focus on controlling disease activity and preventing organ damage12,17. Thus, early diagnosis, precise disease activity classification, and accurate flare prediction are essential for timely intervention, optimal medication management, and ongoing disease monitoring, all of which are crucial for enhancing patients’ quality of life and survival outcomes.
Given the heterogeneous nature of SLE, reliance on a single diagnostic marker is not feasible18. Accurate evaluation requires a comprehensive assessment of clinical manifestations, as well as laboratory indicators of immune and inflammatory responses19. Despite years of refinement, the commonly used diagnostic criteria remain limited by incomplete symptom coverage, subjective and time-consuming evaluations, and insufficient sensitivity to changes in disease activity20,21. Serological markers, including decreased levels of complement proteins C3 and C4, have been incorporated into the classification criteria established by the European League Against Rheumatism (EULAR) and the American College of Rheumatology (ACR)22. However, these markers lack sufficient sensitivity for evaluating SLE and often fail to reliably reflect disease activity12,23. Additionally, widely used immunological markers frequently do not provide the sensitivity or specificity required to predict disease flares or to assess organ-specific activity in all patients12,21,24,25,26. These limitations underscore the urgent need to develop robust, pathogenesis-based biomarkers that enable timely diagnosis and effective disease monitoring.
In the 1990 s, the concept of the neuro-immune regulatory network was formally introduced, highlighting the potential interactions between the immune and nervous systems27. Neurotransmitters and their receptors act as central mediators within this network, enabling physiological adaptation to internal and external environmental stimuli28. Subsequent studies have identified various neuropeptides, such as neuropeptide Y (NPY), neurotensin (NT), and calcitonin gene-related peptide (CGRP), as modulators of immune cell function and contributors to SLE pathogenesis29,30,31. Exploration of additional neurotransmitter involvement in SLE may yield further insights into neuroimmune mechanisms. Notably, dopamine (DA), a key neurotransmitter in central nervous system regulation32, is synthesized by immune cells, including T cells, B cells, and dendritic cells33. These cells also synthesize other catecholamines, including adrenaline (E) and noradrenaline (NE). Activated lymphocytes have been shown to exhibit increased tyrosine hydroxylase (TH) expression and catecholamine synthesis. Under specific stimuli, these catecholamines are released in elevated concentrations, modulating both innate and adaptive immune responses through autocrine and paracrine mechanisms34. Clinical evidence indicates that bromocriptine, a dopamine receptor agonist, provided therapeutic benefits for patients with mild to moderate SLE by reducing serum immunoglobulin and anti-DNA antibody levels, and disease activity has been reported to rebound after discontinuation of the treatment35. This suggests that dysregulated catecholamine metabolism may play a pivotal role in SLE pathogenesis. However, research on alterations in plasma CA levels in SLE patients remains limited. Nakajima et al. first reported elevated circulating dopamine (DA), epinephrine (E), and norepinephrine (NE) in SLE patients compared to healthy controls in a case study36. Subsequently, Wu et al. conducted a cross-sectional study and reported similar findings37. In contrast, another study has reported significantly lower average plasma levels of E and NE in SLE patients compared to controls, whether in the supine or upright position38. These discrepancies may result from the chemical instability of catecholamines, variability in detection methods, incomplete profiling of their metabolites, and heterogeneity across patient cohorts. A systematic and comprehensive evaluation of catecholamine metabolic changes in SLE remains insufficient.
Therefore, this study aims to investigate the levels of CA metabolites in SLE patients across different stages of disease activity. Given the inherent chemical instability of plasma catecholamines, the focus was placed on intermediate metabolic products-3-methoxytyramine (3MT), normetanephrine (MN), and normetanephrine (NMN)- which are considered more stable and reliable indicators of CA turnover. Using a reliable and accurate liquid chromatography-tandem mass spectrometry (LC-MS/MS) method, we quantified the levels of six CA metabolites. This study sought to characterize alterations in plasma CA metabolism among SLE patients and to examine their associations with disease activity, thereby identifying potential candidate biomarkers that may aid in understanding disease pathophysiology.
Result
Baseline characteristics of participants
This study included a total of 152 participants, comprising 64 healthy controls and 88 patients with SLE. The SLE group was further divided into inactive (n = 41) and active (n = 47) subgroups based on SLEDAI scores. As shown in Table 1, there was no statistically significant difference in gender among the three groups (P > 0.05); however, the age of the healthy control group was higher than that of the inactive and active SLE subgroups. The inflammatory marker ESR was significantly elevated in the SLE-active group compared to the inactive group, while CRP levels showed no significant differences. Compared to the inactive subgroup, patients in the active subgroup had significantly lower levels of complement proteins C3 and C4, while IgG levels were comparable between the two groups. Additionally, the levels of total protein (TP), albumin (ALB), total bilirubin (TBIL), and direct bilirubin (DBIL) in SLE patients were lower than those in the healthy control group, with further reductions in TP and ALB observed in the active subgroup compared to the inactive subgroup. In terms of renal function markers, active SLE patients had higher urea levels than healthy controls, although creatinine (Cr) and uric acid (UA) levels showed no significant differences. The serum lipid profiles were also assessed, revealing that both active and inactive SLE patients had lower cholesterol (CHOL) and high-density lipoprotein (HDL) levels compared to the healthy control group. In addition, a supplementary demographic table (Table S1) that includes additional information on factors potentially influencing catecholamine metabolite levels has been provided.
Comparison of catecholamine metabolite levels
This study employed LC-MS/MS to measure the plasma levels of catecholamines and their metabolites in all participants, assessing a total of six substances. The results indicated that compared to healthy controls, the plasma dopamine DA levels were elevated in both inactive and active SLE patients, although no significant differences were observed between the SLE subgroups. Conversely, the levels of E and NE were significantly lower in the active SLE group compared to both the healthy controls and the inactive SLE group. Among the metabolites of catecholamines, only the levels of 3MT were elevated in the SLE-inactive patients compared to healthy controls, while no significant changes were noted in SLE-active patients. Furthermore, both SLE subgroups exhibited lower levels of MN and NMN compared to the healthy control group, with the active SLE subgroup showing significantly decreased levels of these metabolites compared to the inactive subgroup (see Table 2; Fig. 1).
Comparisons of catecholamine and metabolites in three groups. Statistical significance was determined by the Kruskal-Wallis H test, followed by post-hoc multiple comparisons: *P < 0.05; *P < 0.01; ***P < 0.001 compared with the control group. #P < 0.05; ##P < 0.01; ###P < 0.001 compared with the SLE-inactive group.
Impact of glucocorticoid dosage on plasma CA metabolites in SLE
Medication regimens for SLE patients are often complex, with glucocorticoids serving as a cornerstone in disease management. To evaluate the effect of glucocorticoid dosage on catecholamine levels, we stratified participants into three groups based on disease activity: inactive (SLEDAI 0–4), low disease activity (SLEDAI 5–14), and high disease activity (SLEDAI ≥ 15). Catecholamine levels were compared within these groups under varying doses of methylprednisolone. As shown in Fig. 2, no significant differences in plasma catecholamine levels across all three subgroups were observed (P > 0.05).
Comparison of CA metabolites levels under different methylprednisolone dosages. Patients were stratified into three SLEDAI categories (0–4, 5–14, and ≥ 15), and within each category, by glucocorticoid (GC) dose: ≤20 mg/day, 20–40 mg/day, and >40 mg/day. Each dot represents an individual patient; horizontal lines denote the mean ± SD for each subgroup. Sample sizes for each subgroup were as follows: SLEDAI 0–4:≤20 mg/day (n = 11), 20–40 mg/day (n = 5); SLEDAI 5–14: ≤20 mg/day (n = 17), 20–40 mg/day (n = 11); SLEDAI ≥ 15:≤20 mg/day (n = 6), 20–40 mg/day (n = 9), >40 mg/day (n = 4).
OPLS-DA analysis
The Orthogonal Partial Least Squares Discriminant Analysis (OPLS-DA) score plot indicated that CA metabolites can effectively distinguish between SLE-active patients and healthy controls, demonstrating good predictive capability without overfitting (Q² = 0.682) (see Fig. 3 and Figure S1). However, the model based on these six metabolites did not adequately differentiate between SLE-inactive patients and healthy controls, nor between active and inactive SLE patients (Q² < 0.5) (data not shown). Using the OPLS-DA model, we identified potential biomarkers by applying the criteria of VIP > 1, P < 0.05, and fold change (FC) > 1.5 or < 0.67 (Table S2). The selected potential biomarkers included E (VIP = 1.16, P < 0.001, FC = 0.38, 95%CI:0.24–0.59), NE (VIP = 1.17, P < 0.001, FC = 0.46, 95%CI:0.37–0.56), MN (VIP = 1.17, P < 0.001, FC = 0.53, 95%CI:0.44–0.61), and NMN (VIP = 1.30, P < 0.001, FC = 0.32, 95%CI:0.27–039.27) (see Fig. 4).
Orthogonal partial least squares discriminant analysis score plot for SLE-active.
VIP_FC values of catecholamine metabolites. The x-axis represents the log2 fold change (log2FC) values for each metabolite, with point size indicating the VIP values of the substances. Red points denote upregulated metabolites, while blue points indicate downregulated metabolites. Asterisks (*) are used to signify the significance of the expression levels.
Correlation analysis of CA metabolites, laboratory parameters, clinical manifestations and SLEDAI
The Spearman correlation analysis, visualized in the heatmap (Fig. 5), highlighted relationships between CA metabolites, and clinical indicators in SLE patients. In SLE patients, E and MN exhibited a negative correlation with the inflammatory marker CRP, while 3MT showed a positive correlation. Additionally, NE and NMN were positively correlated with C4, and E had a moderate positive correlation with IgG.
Correlation heatmap of catecholamines and laboratory parameters in SLE patients. The color intensity and size of the circles indicate the strength of the correlation, with red representing a positive correlation and blue representing a negative correlation. The numerical values within each circle represent the correlation coefficient.
We further analyzed plasma CA metabolites concentrations in relation to specific clinical manifestations. No significant differences were observed in CAs levels when comparing patients with and without fever (Table S3). However, E and MN concentrations were significantly lower in SLE patients with arthritis and serositis. Similarly, NE and NMN levels were markedly reduced in patients presenting with malar rash and nephritis (both P < 0.001). Additionally, an increase in plasma DA levels was observed in patients with serositis, whereas 3MT levels were decreased in patients with nephritis (see Fig. 6).
Comparison of plasma CAs levels in the presence or absence of certain manifestations in SLE patients. (-) and (+) indicate the absence and presence of the respective clinical manifestations.
Successively, our analysis revealed significant negative correlations between SLEDAI scores and several catecholamines and their metabolites, including E (P < 0.01, r = −0.501), NE (P < 0.01, r = −0.588), 3MT (P < 0.01, r = −0.401), MN (P = 0.02, r = −0.352), and NMN (P < 0.01, r = −0.642) (see Fig. 7). However, no significant correlation was observed for DA (P = 0.302, r = 0.131). After adjusting for age using Spearman partial correlation analysis, the association between CA levels and SLEDAI remained statistically significant (P<0.05, Table S4). These findings suggest that CA metabolites may serve as potential markers of disease activity in SLE patients.
Correlation analysis of plasma catecholamine metabolites with SLEDAI score in SLE patients. The Spearman correlation coefficient (r) and the associated P-value for each correlation are indicated on each plot. A regression line is included to visualize the trend of the relationship.
Analysis of risk factors for SLE and disease activity
This study utilized clinical data from 64 healthy individuals and 88 SLE patients to explore the risk factors for SLE through univariate and multivariate logistic regression analyses. Variables identified as statistically significant (P < 0.05) in the univariate logistic analysis were further included in the multivariate logistic regression model. The final logistic regression results, adjusted for age, TP, ALB, TBIL, Urea, CHOL and HDL, indicated that among the catecholamine metabolites, low NE and low TBIL were independent risk factors for SLE patients with an odds ratio of 0.992 (95% CI: 0.986–0.998, P = 0.012) (Table 3). Similarly, in the multivariate regression model (Supplementary Table S5), NMN was identified as an independent risk factor for active SLE, with significant effects of TP and C4 also observed.
Diagnostic and stratification performance of plasma catecholamine indicators in SLE
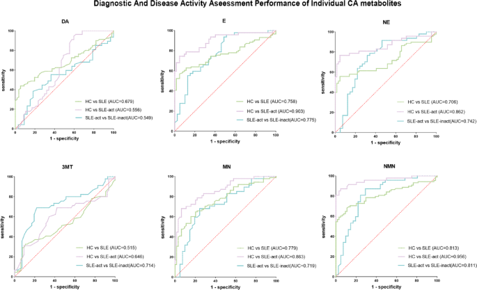
To further confirm the diagnostic efficacy of single catecholamine indicators in the diagnosis and stratification of disease activity in SLE patients, we conducted an ROC analysis (Fig. 8). The areas under the ROC curves (AUC) for 64 healthy participants compared to 88 SLE patients were as follows: 0.679 for DA, 0.758 for E, 0.706 for NE, 0.515 for 3MT, 0.779 for MN, and 0.813 for NMN (see Table S6). Additionally, in line with the OPLS-DA biomarker identification, NMN demonstrated the best diagnostic capability for distinguishing active-SLE patients from healthy controls, with a cut-off value of 54.10 ng/ml, achieving a sensitivity of 0.872 and specificity of 0.956 (see Table S7). Likewise, the discriminatory performance of catecholamine showed that the plasma levels of five catecholamine indicators (E, NE, MN, 3MT, MN and NMN) can be used to distinguish inactive and active SLE patients, with the AUCs of all diagnostic markers greater than 0.7 (except for DA, whose AUC was 0.562) (see Table S8).
Diagnostic performance of CA metabolites in predicting SLE and assessing disease activity by ROC analysis. Each subplot shows three distinct comparisons: Healthy Controls vs. overall SLE patients (HC vs. SLE, green line), Healthy Controls vs. active SLE patients (HC vs. SLE-act, purple line), and active SLE patients vs. inactive SLE patients (SLE-act vs. SLE-inact, light blue line).
Diagnostic efficacy of clinical indicators and catecholamine combinations in stratifying SLE activity
Subsequently, we assessed the diagnostic efficacy of the commonly used clinical indicators for identifying SLE-active (n = 40) and inactive subgroups (n = 36) (Fig. 9). The AUCs were as follows: 0.737 for ESR (95% CI: 0.628–0.846), 0.757 for C3(95% CI: 0.649–0.865) and 0.757 for C4(95% CI: 0.645–0.869). Notably, although the combination of MNs and clinical indicators exhibited a satisfactory ability, they failed to outperform the combination testing of CAs (0.866, 95% CI: 0.785–0.947).
Comparison and combination of diagnostic performance of CA metabolites in distinguishing SLE active and inactive patients. (Left) ROC curves for commonly used clinical indicators (ESR, C3, C4, and their combination) in identifying active SLE. (Middle) ROC curves for combinations of plasma CA metabolites in distinguishing active and inactive SLE. (Right) ROC curves for combinations of clinical indicators and CA metabolites in stratifying SLE activity.
Discussion
In this study, a targeted LC–MS/MS approach was employed to simultaneously quantify plasma catecholamines and their catechol-O-methyltransferase (COMT)-derived metabolites in SLE patients stratified according to disease activity. While previous studies have suggested a potential association between catecholamines and SLE, our work provides several novel insights. Most notably, this is the first study to concurrently assess both parent catecholamines and their metabolites in a clinically stratified SLE cohort, enabling a more integrated view of catecholaminergic metabolism in a disease context. We identified NE and NMN as negatively correlated with SLEDAI scores, with their levels varying in relation to specific clinical manifestations. Furthermore, ROC analyses showed that catecholamine metabolites could reliably distinguish between healthy controls and SLE patients, as well as differentiate among varying disease activity states. Collectively, these findings suggest that plasma CA metabolites may reflect underlying immunometabolic alterations in SLE and could serve as potential biomarkers associated with disease activity, warranting validation in larger, longitudinal studies.
Disruptions in catecholamine metabolism were observed in SLE patients. Importantly, compared to previous studies, we accounted for the inherent instability of catecholamines, which are susceptible to fluctuations caused by storage conditions, posture, trauma, stress and other external factors39,40. To mitigate these pre-analytical variations, we ensured patients rested supine for 30 min before blood collection and maintained samples at 4 °C during transport. These stringent measures minimized variability and provided robust evidence of true alterations in plasma catecholamine metabolism in SLE patients. Additionally, glucocorticoids, a cornerstone of SLE management, are known to directly influence the superior cervical ganglia or stimulate phenylethanolamine N-methyltransferase (PNMT) synthesis, thereby enhancing E and NE production41,42. However, no significant overall effect of GCs on catecholamine metabolite levels was observed in the preliminary stratification analysis. In the subgroup with high disease activity, NE levels exhibited a nonsignificant decreasing trend with increasing GC doses (P > 0.05). This observation may reflect the limited sample size and requires validation in larger, well-designed clinical cohorts.
NE and NMN exhibited great potential as differential metabolites among CA metabolites, with low levels of both being identified as risk factors for SLE and disease activity. The correlation heatmap revealed a positive relationship between NMN and reduced complement C4 level. Complement deficiency has been linked to clinical manifestations such as nephritis, malar rash, and arthritis23,43,44. In line with these findings, decreased NE and NMN levels were observed in patients exhibiting these features. Furthermore, the correlation between NE, NMN, and nephritis suggests that kidney metabolism may influence plasma NMN levels and raises important questions about the role of CA metabolites in lupus nephritis; However, this aspect was not explored in depth in the present study. Importantly, both NE and NMN exhibited moderate to strong negative correlations with SLEDAI, suggesting that their plasma levels are closely associated with overall disease activity and may provide useful indicators for assessing disease status. ROC curve analysis demonstrated that NMN showed the best diagnostic performance as a single marker. Additionally, unlike NE, NMN production and secretion are continuous and independent, making it a more reliable screening marker45. Moreover, plasma NMN levels are unaffected by medications such as GCs, β-blockers, diuretics, or angiotensin-converting enzyme inhibitors, eliminating the need to stop these drugs before testing46. Overall, the combination of NE and NMN provided complementary information for evaluating SLE status and showed a numerically higher AUC than C3 and C4 in distinguishing disease activity levels. Given their biochemical stability and the feasibility of measurement using standardized assays, NE and NMN may represent practical and reliable biochemical markers for assessing disease activity in SLE.
Although E and MN have demonstrated good correlations with disease activity and exceptional diagnostic performance, logistic regression analysis did not indicate their reduced levels could emerge as risk factors for the onset of SLE. A possible explanation for this is the chronic, relapsing nature of SLE, where current CA metabolomic data provide only a snapshot of the physiological state and do not predict disease progression. Studies in multiple sclerosis (MS) have suggested that lower supine E levels are an independent risk factor for relapse47, highlighting the potential value of E and MN in monitoring the progression of autoimmune diseases. Therefore, detailed documentation of disease activity and period in prospective studies will provide a more comprehensive and valuable assessment for the development of CA biomarkers in SLE.
In the present study, although plasma DA and 3MT were significantly elevated in SLE patients compared to healthy controls, they failed to meet the prespecified VIP and fold-change thresholds as diagnostic candidates. Considering that DA exhibits a unique distribution pattern in the brain, plasma, and other tissues, circulating DA may be suitable as a biomarker for discrimination of SLE without central nervous system involvement39. To further explore this, we further categorized participants in another SLE cohort into NPSLE and non-NPSLE groups. Our findings indicated a trend of increased plasma DA levels in the NPSLE group, although no statistically significant difference was observed (Figure S2, P = 0.866). Nevertheless, these negative diagnostic results should not be interpreted as evidence that DA is biologically irrelevant to SLE. On the contrary, an increasing body of work implicates dopaminergic signaling in immune regulation. For instance, recent work has demonstrated altered expression of DRD family members in immune cells from SLE patients and suggested that DRD-mediated pathways may contribute to disease pathogenesis37. Given the low abundance, analytical lability and tissue-specific distribution of DA, plasma DA/3MT appears better suited as indicators for mechanistic investigation or context-specific studies (e.g., neuropsychiatric involvement) rather than as general diagnostic assays. Accordingly, future work should prioritize standardized pre-analytical handling, richer covariate capture, CNS-enriched matrices (e.g., CSF), and longitudinal sampling to clarify the context-specific clinical and mechanistic relevance of DA and 3-MT.
Although CA metabolites showed promising potential as diagnostic biomarkers for SLE, their role in the pathogenesis and progression of the disease remains unclear. However, emerging evidence highlights the significant involvement of the sympathetic nervous system (SNS). In the absence of sympathetic innervation, the severity of experimental autoimmune diseases has been found to increase48. Similarly, rheumatoid arthritis (RA) patients exhibited significant loss of sympathetic nerve fibers in the synovial tissues of joints and spleen, which correlated with more severe inflammatory responses49,50,51. Interestingly, studies on collagen-induced arthritis (CIA) suggested that while sympathetic nerves exacerbate disease symptoms during the early stages, they may help alleviate joint inflammation in the later stages52,53. Based on these findings, we hypothesize that the observed decrease in E and NE levels in SLE may reflect changes over the course of the disease. Furthermore, reduced sympathetic nervous activity may contribute to the maintenance of the disease state.
Apart from SNS, accumulating evidence has highlighted the immune-tuning role of CA metabolites. CAs have been proven to influence the transport, circulation, and proliferation of lymphocytes, as well as regulate cytokine production and functional activity of various lymphocyte subpopulations by binding to DRD or adrenergic receptors54, with T cells receiving particular attention. Overall speaking, DA can not only act as a chemokine but also induce resting T cells to adhere to fibronectin, initiating their migration, homing, extravasation, and infiltration, thus playing a significant role in tissue damage55,56. Moreover, Th17/Tregs imbalance is believed to be related to the pathogenesis of SLE57. DA promotes interleukin-6 (IL-6) production in a concentration-dependent manner and IL-6 has been found to drive naive CD4 + T cells to differentiate into pathogenetic Th17 cells and inhibit TGF-β-induced Treg differentiation58,59. NE, however, could exert anti-inflammatory effects by activating β2-adrenergic receptors, which inhibit the production of pro-inflammatory IL-17 by pathogenic Th17 cells in MS and EAE60. Numerous studies have reported that stimulation of β₂-adrenergic receptors increases intracellular cAMP and PKA signaling, suppresses NF-κB activity, and reduces pro-inflammatory cytokines such as TNF-α, IL-6, and IL-8, while promoting IL-10 production in macrophages and monocytes63,64. Current research has reported a positive correlation between MN levels and the number of circulating Tregs65. In addition, in stroke patients treated with reperfusion therapy, elevated NMN levels have been associated with increased populations of Tregs and B cells66. Apart from the Th17/Tregs diagram, previous studies have indicated that elevated DA levels in SLE patients may promote the differentiation of Tfh cells, which could release stored DA to enhance B cells interaction and accelerate germinal center output26,67. Further investigation is required to elucidate the effects of CAs on key immune cell subtypes, such as Th1/Th2 diagram and macrophage, and to clarify the specific mechanisms involved in the onset and progression of SLE.
This study has certain limitations. First, although we focused on the overall alterations in plasma catecholamine metabolites in SLE patients, we did not explore the underlying molecular mechanisms through functional experiments. Second, this was a single-center, cross-sectional study that compared SLE patients with healthy controls. Therefore, the diagnostic specificity of catecholamine metabolites relative to other autoimmune or clinically overlapping diseases could not be fully evaluated. Larger, multi-center, and disease-comparator cohorts are required to further validate and extend the clinical applicability of these biomarkers. Additionally, although adjustments were made for age and medication dosage, and comorbidities, as well as renal function indicators were statistically considered, the influence of certain potential confounders cannot be completely excluded. Future studies should incorporate more comprehensive data collection and adopt more rigorous adjustment strategies to better account for potential confounding factors.
Conclusion
In summary, catecholamine metabolites, particularly NE and NMN, are associated with disease activity and specific clinical manifestations in SLE. Owing to their biochemical stability, standardized detection methods, and relative independence from glucocorticoid treatment, these metabolites may serve as potential biomarkers that contribute to more precise evaluation and stratification of disease activity in SLE.
Methods
Study population
The diagnosis of SLE was based on the 1997 American College of Rheumatology (ACR) criteria. As shown in Fig. 1, patients were excluded if they: (1) had other autoimmune, infectious, or inflammatory diseases; or (2) had taken medications affecting catecholamine levels within 1–2 weeks before testing. This study recruited 88 SLE patients from Xiangya Second Hospital between June and December 2023, along with 64 healthy controls (HCs) from the Health Management Center (see Fig. 10). The research was approved by the Ethics Committee of Xiangya Second Hospital, Central South University (No. Z0168, date:2023/3/7), and all participants provided informed consent. This study was performed in accordance with the Declaration of Helsinki.
A flow diagram for the enrollment of SLE patients.
Definitions of SLE disease activity
The SLE Disease Activity Index (SLEDAI) is among the commonly used scoring standards in clinical practice for dividing SLE activity. This index incorporates the physician’s comprehensive evaluation and consists of 24 descriptors, each assigned a distinct score reflecting its specific significance68. Patients with a SLEDAI score ≤ 4 were classified into the inactive group, while those with a score > 4 were assigned to the active group. To investigate the relationship between glucocorticoid dose and circulating CA concentrations, study participants were stratified into three clinically relevant subgroups according to disease activity levels: quiescent phase (SLEDAI score ≤ 4), mild-moderate activity (SLEDAI 5–14), and severe activity (SLEDAI ≥ 15).
Laboratory measurements
Basic demographic parameters, medical history, clinical diagnoses, and treatment information for all subjects were obtained from the medical record system. A total of 3 mL of residual serum samples was collected from all study participants, briefly stored at 4 °C, aliquoted, and then immediately frozen at −80 °C to prevent repeated freeze-thaw cycles during the experimental process. Laboratory tests for erythrocyte sedimentation rate (ESR), serum high-sensitivity C-reactive protein (CRP), complement components C3 and C4, as well as immunoglobulin G (IgG), were conducted. Additionally, routine biochemical indicators, including alanine aminotransferase (ALT), aspartate aminotransferase (AST), total protein (TP), albumin (ALB), globulin (Glo), hemoglobin (HGB), total bilirubin (TBIL), direct bilirubin (DBIL), total cholesterol (TC), triglycerides (TG), high-density lipoprotein cholesterol (HDL), and low-density lipoprotein cholesterol (LDL), were analyzed using a conventional automatic analyzer (Hitachi 7180). The results of ESR and autoantibodies are obtained in the medical record system.
Plasma sample collection
Blood samples were collected after patients fasted and rested in a supine position for 30 min. A venous cannula was placed 30 min before blood collection to minimize physiological increases in pain-related stimuli during venipuncture. This study utilized EDTA anticoagulant tubes to collect 2–3 mL of whole blood from all subjects, which was thoroughly mixed and briefly stored at 4 °C for transport. The samples were then centrifuged at 1000–1500 g for 15 min to separate the plasma, which was subsequently stored at −80 °C for future catecholamine assays. All procedures were completed within three hours post-venipuncture.
Catecholamine metabolites measurement by LC-MS/MS
ACQUITY UPLC I-Class/Xevo TQ-S micro IVD System (Waters, USA) was used to perform the LC-MS/MS analysis. Spiral oscillator (Kylin Bell, China) was used to mix the solution thoroughly. Positive Pressure-96 Processor (Waters, USA) and 96-well plate nitrogen blowing instrument (Agela & Phenomenex, China) were used for sample preparation. Before analysis, samples and quality control samples were thawed at room temperature and thoroughly vortexed. 25 µL mixed IS solution and 150 µL water containing 0.1% ammonium acetate were added to 250 µL of the samples. A 410 µL aliquot of the sample mixture was transferred to the pre-activated 96-well SPE plate, which was then washed twice with an elution solution containing formic acid, acetonitrile, and water. The combined eluates (200 µL) were evaporated under nitrogen to dryness. The residue was reconstituted with 100 µL of 10% methanol in water containing 0.1% formic acid. After vortexing the reconstituted samples at 1500 rpm for 3 min, the samples were used for LC-MS/MS analysis. The injection volume was 10 µL. The chromatographic separation was performed on a C18 column (3.0*100 mm, 3.5 μm). Mobile phase A: 0.1%formic acid in water; Mobile phase B: 0.1%formic acid in methanol; Column temperature: 40 ℃, flow rate: 0.5 ml/min, gradient elution. Mass spectrometer detection employed the multiple reaction monitoring (MRM) mode and positive electrospray ionization. The LC-MS/MS method employed in this study was validated in accordance with the Clinical Laboratory Standards Institute (CLSI) guideline C62-A. The total analysis time for the LC-MS/MS method was 5 min per sample. The assay demonstrated excellent analytical performance, including linear calibration curves (r > 0.99), high sensitivity, good accuracy (recovery: 97.22%–114.08%), and robust precision (intra- and inter-assay CVs < 15%) (see Table S9). Quality control (QC) samples (lot number 20220608, Health Biotech) were analyzed throughout the runs to monitor instrument performance and ensure data reliability. The limits of quantification (LOQ) values with the S/N ratio of > 10:1 for DA, E, NE, 3MT, MN, and NMN were 1.83, 2.01, 2.05, 1.3, 1.76, and 1.7 pg/mL, all CVs ≤ 20%.
Sample size calculation
This study utilized G*Power 3.1 for sample size estimation. A one-way ANOVA was selected as the analysis method, with the alpha error probability (α) set at 0.05 and the power (1-beta error probability) set at 0.8. The effect size was designated as 0.3, and the number of groups was set to 3, resulting in a total sample size of 111.
Statistical analysis
Statistical analysis of the clinical data was conducted using SPSS software version 26.0 (Chicago, United States). Categorical variables were expressed as frequencies (percentages). Continuous variables were first subjected to normality tests. Non-normally distributed variables are reported as medians (Q1, Q3). Chi-square test was used for comparison of percentages for categorical variables. For continuous variables, one-way ANOVA was applied when the data were normally distributed and had equal variances, followed by Bonferroni’s post hoc test for multiple comparisons between groups. If the data did not meet the assumptions of normality and/or homogeneity of variance, the Kruskal–Wallis H test was used instead, followed by Dunn’s multiple comparisons test with Bonferroni adjustment for pairwise comparisons. A two-tailed P-value < 0.05 was considered statistically significant. OPLS-DA analysis was performed using Metware Cloud, a free online platform for data analysis (https://cloud.metware.cn). The correlation heatmap was generated using R software (v.4.2.2) with the “corrplot” (v.0.92) and “ggplot2” (v3.4.2) packages through Hiplot Pro (https://hiplot.com.cn/), a comprehensive web service for biomedical data analysis and visualization. ROC curve analysis was conducted using GraphPad Prism 9.0 and MedCalc 22.0 software to evaluate the diagnostic efficacy of relevant indicators, with the optimal cutoff values determined by calculating the Youden index, along with corresponding sensitivity and specificity values reported.
Ethics approval
This study was approved by the ethics committee of the Second Xiangya Hospital of Central South University, number 2023-Z0168. Informed consent forms were signed by all subjects.
Data availability
All data are available in the manuscript or supplementary documents. Raw data can be provided as necessary (The contact email is [libinghui8366@163.com](mailto: libinghui8366@163.com)).
References
Pan, L., Lu, M. P., Wang, J. H., Xu, M. & Yang, S. R. Immunological pathogenesis and treatment of systemic lupus erythematosus. World J. Pediatr. 16, 19–30. https://doi.org/10.1007/s12519-019-00229-3 (2020).
Tsokos, G. C. Systemic lupus erythematosus. N Engl. J. Med. 365, 2110–2121. https://doi.org/10.1056/NEJMra1100359 (2011).
Tsokos, G. C., Lo, M. S., Reis, C., Sullivan, K. E. & P. & New insights into the Immunopathogenesis of systemic lupus erythematosus. Nat. Rev. Rheumatol. 12, 716–730. https://doi.org/10.1038/nrrheum.2016.186 (2016).
Rees, F., Doherty, M., Grainge, M. J., Lanyon, P. & Zhang, W. The worldwide incidence and prevalence of systemic lupus erythematosus: a systematic review of epidemiological studies. Rheumatol. (Oxford). 56, 1945–1961. https://doi.org/10.1093/rheumatology/kex260 (2017).
Fatoye, F., Gebrye, T. & Mbada, C. Global and regional prevalence and incidence of systemic lupus erythematosus in low-and-middle income countries: a systematic review and meta-analysis. Rheumatol. Int. 42, 2097–2107. https://doi.org/10.1007/s00296-022-05183-4 (2022).
Yen, E. Y. & Singh, R. R. Brief report: Lupus-An unrecognized leading cause of death in young females: A Population-Based study using nationwide death Certificates, 2000–2015. Arthritis Rheumatol. 70, 1251–1255. https://doi.org/10.1002/art.40512 (2018).
Golder, V. & Tsang, A. S. M. W. P. Treatment targets in SLE: remission and low disease activity state. Rheumatol. (Oxford). 59, v19–v28. https://doi.org/10.1093/rheumatology/keaa420 (2020).
Schoenfeld, S. R., Kasturi, S. & Costenbader, K. H. The epidemiology of atherosclerotic cardiovascular disease among patients with SLE: a systematic review. Semin Arthritis Rheum. 43, 77–95. https://doi.org/10.1016/j.semarthrit.2012.12.002 (2013).
Yazdany, J. et al. Systemic lupus erythematosus; stroke and myocardial infarction risk: a systematic review and meta-analysis. RMD Open. https://doi.org/10.1136/rmdopen-2020-001247 (2020).
Bello, N., Meyers, K. J., Workman, J., Hartley, L. & McMahon, M. Cardiovascular events and risk in patients with systemic lupus erythematosus: systematic literature review and meta-analysis. Lupus 32, 325–341. https://doi.org/10.1177/09612033221147471 (2023).
Wang, L. R., Barber, C. E., Johnson, A. S. & Barnabe, C. Invasive fungal disease in systemic lupus erythematosus: a systematic review of disease characteristics, risk factors, and prognosis. Semin Arthritis Rheum. 44, 325–330. https://doi.org/10.1016/j.semarthrit.2014.06.001 (2014).
Yuan, Q., Xing, X., Lu, Z. & Li, X. Clinical characteristics and risk factors of infection in patients with systemic lupus erythematosus: A systematic review and meta-analysis of observational studies. Semin Arthritis Rheum. 50, 1022–1039. https://doi.org/10.1016/j.semarthrit.2020.06.004 (2020).
Molooghi, K. et al. Central nervous system infections in patients with systemic lupus erythematosus: a systematic review and meta-analysis. Lupus Sci. Med. https://doi.org/10.1136/lupus-2021-000560 (2022).
Kiriakidou, M. & Ching, C. L. Systemic lupus erythematosus. Ann. Intern. Med. 172, ITC81–ITC96. https://doi.org/10.7326/AITC202006020 (2020).
Keeling, S. O. et al. Measuring disease activity and damage with validated metrics: A systematic review on mortality and damage in systemic lupus erythematosus. J. Rheumatol. 45, 1448–1461. https://doi.org/10.3899/jrheum.171310 (2018).
Lee, Y. H., Choi, S. J., Ji, J. D. & Song, G. G. Overall and cause-specific mortality in systemic lupus erythematosus: an updated meta-analysis. Lupus 25, 727–734. https://doi.org/10.1177/0961203315627202 (2016).
van Vollenhoven, R. F. et al. Treat-to-target in systemic lupus erythematosus: recommendations from an international task force. Ann. Rheum. Dis. 73, 958–967. https://doi.org/10.1136/annrheumdis-2013-205139 (2014).
Wess, J. A. & Petro, T. M. Modulation of murine peyer’s patch Immunoglobulin A response by enterotoxigenic Escherichia coli. Infect. Immun. 55, 1085–1089. https://doi.org/10.1128/iai.55.5.1085-1089.1987 (1987).
Thanou, A., Jupe, E., Purushothaman, M., Niewold, T. B. & Munroe, M. E. Clinical disease activity and flare in SLE: current concepts and novel biomarkers. J. Autoimmun. 119, 102615. https://doi.org/10.1016/j.jaut.2021.102615 (2021).
Kim, J. W. et al. S100A8 in Serum, Urine, and saliva as a potential biomarker for systemic lupus erythematosus. Front. Immunol. 13, 886209. https://doi.org/10.3389/fimmu.2022.886209 (2022).
Yu, H., Nagafuchi, Y. & Fujio, K. Clinical and immunological biomarkers for systemic lupus erythematosus. Biomolecules https://doi.org/10.3390/biom11070928 (2021).
Aringer, M. et al. European league against rheumatism/American College of Rheumatology classification criteria for systemic lupus erythematosus. Arthritis Rheumatol 71, 1400–1412. https://doi.org/10.1002/art.40930(2019) (2019).
Ayano, M. & Horiuchi, T. Complement as a biomarker for systemic lupus erythematosus. Biomolecules https://doi.org/10.3390/biom13020367 (2023).
Kavanaugh, A. F. & Solomon, D. H. American college of rheumatology ad hoc committee on Immunologic Testing, G. Guidelines for Immunologic laboratory testing in the rheumatic diseases: anti-DNA antibody tests. Arthritis Rheum. 47, 546–555. https://doi.org/10.1002/art.10558 (2002).
Frodlund, M. et al. Longitudinal anti-nuclear antibody (ANA) seroconversion in systemic lupus erythematosus: a prospective study of Swedish cases with recent-onset disease. Clin. Exp. Immunol. 199, 245–254. https://doi.org/10.1111/cei.13402 (2020).
Kleer, J. S. et al. Epitope-Specific Anti-C1q autoantibodies in systemic lupus erythematosus. Front. Immunol. 12, 761395. https://doi.org/10.3389/fimmu.2021.761395 (2021).
Blalock, J. E. The syntax of immune-neuroendocrine communication. Immunol. Today. 15, 504–511. https://doi.org/10.1016/0167-5699(94)90205-4 (1994).
Savino, W. & Dardenne, M. Immune-neuroendocrine interactions. Immunol. Today. 16, 318–322. https://doi.org/10.1016/0167-5699(95)80144-8 (1995).
Wang, D. C. et al. Neuropeptide Y, a potential marker for lupus, promotes lupus development. Int. Immunopharmacol. 126, 111272. https://doi.org/10.1016/j.intimp.2023.111272 (2024).
Harle, P. et al. Increase of sympathetic outflow measured by neuropeptide Y and decrease of the hypothalamic-pituitary-adrenal axis tone in patients with systemic lupus erythematosus and rheumatoid arthritis: another example of uncoupling of response systems. Ann. Rheum. Dis. 65, 51–56. https://doi.org/10.1136/ard.2005.038059 (2006).
Bracci-Laudiero, L., Aloe, L., Lundeberg, T., Theodorsson, E. & Stenfors, C. Altered levels of neuropeptides characterize the brain of lupus prone mice. Neurosci. Lett. 275, 57–60. https://doi.org/10.1016/s0304-3940(99)00737-5 (1999).
Berke, J. D. What does dopamine mean? Nat. Neurosci. 21, 787–793. https://doi.org/10.1038/s41593-018-0152-y (2018).
Channer, B. et al. Dopamine, Immunity, and disease. Pharmacol. Rev. 75, 62–158. https://doi.org/10.1124/pharmrev.122.000618 (2023).
Cosentino, M. & Marino, F. Adrenergic and dopaminergic modulation of immunity in multiple sclerosis: teaching old drugs new tricks? J. Neuroimmune Pharmacol. 8, 163–179. https://doi.org/10.1007/s11481-012-9410-z (2013).
Peeva, E., Grimaldi, C., Spatz, L. & Diamond, B. Bromocriptine restores tolerance in estrogen-treated mice. J. Clin. Invest. 106, 1373–1379. https://doi.org/10.1172/JCI10420 (2000).
Nakajima, A. et al. Acute sympathetic hyperfunction in overlapping syndromes of systemic lupus erythematosus and polymyositis. J. Rheumatol. 25, 1638–1641 (1998).
Wu, F. et al. Abnormally high expression of D1-like dopamine receptors on lupus CD4(+) T cells promotes Tfh cell differentiation. Lupus Sci. Med. https://doi.org/10.1136/lupus-2023-000943 (2023).
Hogarth, M. B. et al. Cardiovascular autonomic function in systemic lupus erythematosus. Lupus 11, 308–312. https://doi.org/10.1191/0961203302lu194oa (2002).
Wang, K. et al. Study of stability and interference for catecholamines and metanephrines, 3-methoxytyramine: key point of an accurate diagnosis for pheochromocytoma and paraganglioma. Scand. J. Clin. Lab. Invest. 81, 564–572. https://doi.org/10.1080/00365513.2021.1980901 (2021).
Gu, S., Wang, W., Wang, F. & Huang, J. H. Neuromodulator and emotion biomarker for stress induced mental disorders. Neural Plast 2016, 2609128. https://doi.org/10.1155/2016/2609128(2016) (2016).
Nagaiah, K., MacDonnell, P. & Guroff, G. Induction of tyrosine hydroxlase synthesis in rat superior cervical ganglia in vitro by nerve growth factor and dexamethasone. Biochem. Biophys. Res. Commun. 75, 832–837. https://doi.org/10.1016/0006-291x(77)91457-7 (1977).
Stachowiak, M. K., Rigual, R. J., Lee, P. H., Viveros, O. H. & Hong, J. S. Regulation of tyrosine hydroxylase and phenylethanolamine N-methyltransferase mRNA levels in the sympathoadrenal system by the pituitary-adrenocortical axis. Brain Res. 427, 275–286. https://doi.org/10.1016/0169-328x(88)90050-2 (1988).
Reynolds, J. A. et al. Cytokine profiling in active and quiescent SLE reveals distinct patient subpopulations. Arthritis Res. Ther. 20, 173. https://doi.org/10.1186/s13075-018-1666-0 (2018).
Iwasaki, T. et al. Phenotypic landscape of systemic lupus erythematosus: an analysis of the Kyoto lupus cohort. Mod. Rheumatol. 32, 571–576. https://doi.org/10.1093/mr/roab020 (2022).
Lipsic, E. et al. Epinephrine producing pheochromocytoma. Is the secretory pattern decisive for the clinical manifestation? J. Endocrinol. Invest. 27, 691–694. https://doi.org/10.1007/BF03347506 (2004).
Osinga, T. E. et al. No influence of antihypertensive agents on plasma free metanephrines. Clin. Biochem. 49, 1368–1371. https://doi.org/10.1016/j.clinbiochem.2016.06.004 (2016).
Krbot Skoric, M. et al. Autonomic symptom burden can predict disease activity in early multiple sclerosis. Mult Scler. Relat. Disord. 28, 250–255. https://doi.org/10.1016/j.msard.2019.01.005 (2019).
Lorton, D. & Bellinger, D. L. Molecular mechanisms underlying beta-adrenergic receptor-mediated cross-talk between sympathetic neurons and immune cells. Int. J. Mol. Sci. 16, 5635–5665. https://doi.org/10.3390/ijms16035635 (2015).
Harle, P., Mobius, D., Carr, D. J., Scholmerich, J. & Straub, R. H. An opposing time-dependent immune-modulating effect of the sympathetic nervous system conferred by altering the cytokine profile in the local lymph nodes and spleen of mice with type II collagen-induced arthritis. Arthritis Rheum. 52, 1305–1313. https://doi.org/10.1002/art.20987 (2005).
Flierl, M. A. et al. Phagocyte-derived catecholamines enhance acute inflammatory injury. Nature 449, 721–725. https://doi.org/10.1038/nature06185 (2007).
Miller, L. E., Justen, H. P., Scholmerich, J. & Straub, R. H. The loss of sympathetic nerve fibers in the synovial tissue of patients with rheumatoid arthritis is accompanied by increased norepinephrine release from synovial macrophages. FASEB J. 14, 2097–2107. https://doi.org/10.1096/fj.99-1082com (2000).
Levine, J. D., Dardick, S. J., Roizen, M. F., Helms, C. & Basbaum A. I. Contribution of sensory afferents and sympathetic efferents to joint injury in experimental arthritis. J. Neurosci. 6, 3423–3429. https://doi.org/10.1523/JNEUROSCI.06-12-03423.1986 (1986).
Lubahn, C. L., Schaller, J. A., Bellinger, D. L., Sweeney, S. & Lorton, D. The importance of timing of adrenergic drug delivery in relation to the induction and onset of adjuvant-induced arthritis. Brain Behav. Immun. 18, 563–571. https://doi.org/10.1016/j.bbi.2004.02.004 (2004).
Parazzoli, C. et al. Inflammation-based scores in patients with pheochromocytoma. J. Clin. Endocrinol. Metab. https://doi.org/10.1210/clinem/dgae284 (2024).
Levite, M. & Dopamine Cells: dopamine receptors and potent effects on T cells, dopamine production in T cells, and abnormalities in the dopaminergic system in T cells in autoimmune, neurological and psychiatric diseases. Acta Physiol. (Oxf). 216, 42–89. https://doi.org/10.1111/apha.12476 (2016).
Watanabe, Y. et al. Dopamine selectively induces migration and homing of Naive CD8 + T cells via dopamine receptor D3. J. Immunol. 176, 848–856. https://doi.org/10.4049/jimmunol.176.2.848 (2006).
Shan, J., Jin, H., Xu, Y. T. & Cell Metabolism A new perspective on Th17/Treg cell imbalance in systemic lupus erythematosus. Front. Immunol. 11, 1027. https://doi.org/10.3389/fimmu.2020.01027 (2020).
Wang, D. et al. The regulation of the Treg/Th17 balance by mesenchymal stem cells in human systemic lupus erythematosus. Cell. Mol. Immunol. 14, 423–431. https://doi.org/10.1038/cmi.2015.89 (2017).
Venkatadri, R., Sabapathy, V., Dogan, M. & Sharma, R. Targeting regulatory T cells for therapy of lupus nephritis. Front. Pharmacol. 12, 806612. https://doi.org/10.3389/fphar.2021.806612 (2021).
Boyko, A., Melnikov, M., Zhetishev, R. & Pashenkov, M. The role of biogenic amines in the regulation of interaction between the immune and nervous systems in multiple sclerosis. Neuroimmunomodulation 23, 217–223. https://doi.org/10.1159/000449167 (2016).
Vujnovic, I. et al. Noradrenaline through beta-adrenoceptor contributes to sexual dimorphism in primary CD4 + T-cell response in DA rat EAE model? Cell. Immunol. 336, 48–57. https://doi.org/10.1016/j.cellimm.2018.12.009 (2019).
Yang, P. et al. Epinephrine production in Th17 Cells and Experimental Autoimmune Encephalitis. Front. Immunol. https://doi.org/10.3389/fimmu.2021.616583 (2021).
Thoppil, J., Mehta, P., Bartels, B., Sharma, D. & Farrar, J. D. Impact of norepinephrine on immunity and oxidative metabolism in sepsis. Front. Immunol. 14, 1271098. https://doi.org/10.3389/fimmu.2023.1271098 (2023).
Chavan, S. S., Pavlov, V. A. & Tracey, K. J. Mechanisms and therapeutic relevance of Neuro-immune communication. Immunity 46, 927–942. https://doi.org/10.1016/j.immuni.2017.06.008 (2017).
Elenkov, I. J., Wilder, R. L., Chrousos, G. P. & Vizi, E. S. The sympathetic nerve–an integrative interface between two supersystems: the brain and the immune system. Pharmacol. Rev. 52, 595–638 (2000).
Miro-Mur, F. et al. Adrenal hormones and Circulating leukocyte subtypes in stroke patients treated with reperfusion therapy. Brain Behav. Immun. 70, 346–353. https://doi.org/10.1016/j.bbi.2018.03.018 (2018).
Papa, I. et al. T(FH)-derived dopamine accelerates productive synapses in germinal centres. Nature 547, 318–323. https://doi.org/10.1038/nature23013 (2017).
Bombardier, C., Gladman, D. D., Urowitz, M. B., Caron, D. & Chang, C. H. Derivation of the SLEDAI. A disease activity index for lupus patients. The committee on prognosis studies in SLE. Arthritis Rheum. 35, 630–640. https://doi.org/10.1002/art.1780350606 (1992).
Acknowledgements
We would like to thank Metware Cloud and Hiplot platforms for providing valuable convenience in data analysis. The authors have no conflicts of interest to declare.
Funding
This work was supported by the National Natural Science Foundation of China (No.82302586), Graduate Research and Innovation Project of Central South University (Independent exploration) (No. 2022ZZTS0886), the Scientific Research Launch Project for new employees of the Second Xiangya Hospital of Central South University, the National Natural Science Foundation of China (No. 82502192), the Youth Science Foundation of Xiangya Hospital (No. 2024Q17) and the Hunan Research Project of Hunan Provincial Health Commission (grant number: 20256933).
Author information
Authors and Affiliations
Contributions
Binghui Li contributed to the conceptual framework of the study, sample collecting, data analysis and the writing of the original manuscript draft. Junpeng Zhao contributed to refining the study hypothesis and study design. Zhenni Liu Reviewed and edited the manuscript drafts, offering suggestions for improvement in content and structure. Bingchu Li conducted catecholamine metabolite quantification. Zhiyang Chen assisted with experimental setup and sample collection. Ziyang Li helped in the recruitment of participants and sample collection from SLE patients and healthy controls. Xing Lyu participated in the editing process, ensuring the manuscript was clear and logically structured. Zhe Guo provided resources for experimental equipment and supplies. Weimin Wu contributed to the creation of figures and graphical representations of data for the manuscript. Li Tan assisted in coordinating research activities and managing timelines. Min Hu secured funding for the project and ensured the financial support needed for the study and contributed to the overall research design. Qichen Long provided guidance on the study’s direction and focus as well as access to necessary resources, including laboratory equipment and facilities for data analysis. Both Min Hu and Qichen Long supervised the first author and other team members during data collection and analysis, offering mentorship and guidance.
Corresponding authors
Ethics declarations
Competing interests
The authors declare no competing interests.
Additional information
Publisher’s note
Springer Nature remains neutral with regard to jurisdictional claims in published maps and institutional affiliations.
Supplementary Information
Below is the link to the electronic supplementary material.
Rights and permissions
Open Access This article is licensed under a Creative Commons Attribution-NonCommercial-NoDerivatives 4.0 International License, which permits any non-commercial use, sharing, distribution and reproduction in any medium or format, as long as you give appropriate credit to the original author(s) and the source, provide a link to the Creative Commons licence, and indicate if you modified the licensed material. You do not have permission under this licence to share adapted material derived from this article or parts of it. The images or other third party material in this article are included in the article’s Creative Commons licence, unless indicated otherwise in a credit line to the material. If material is not included in the article’s Creative Commons licence and your intended use is not permitted by statutory regulation or exceeds the permitted use, you will need to obtain permission directly from the copyright holder. To view a copy of this licence, visit http://creativecommons.org/licenses/by-nc-nd/4.0/.
About this article
Cite this article
Li, B., Zhao, J., Liu, Z. et al. Plasma catecholamine metabolites are associated with disease activity and pathophysiological features in systemic lupus erythematosus using targeted LC–MS/MS. Sci Rep 16, 1611 (2026). https://doi.org/10.1038/s41598-025-31031-z
Received:
Accepted:
Published:
Version of record:
DOI: https://doi.org/10.1038/s41598-025-31031-z









