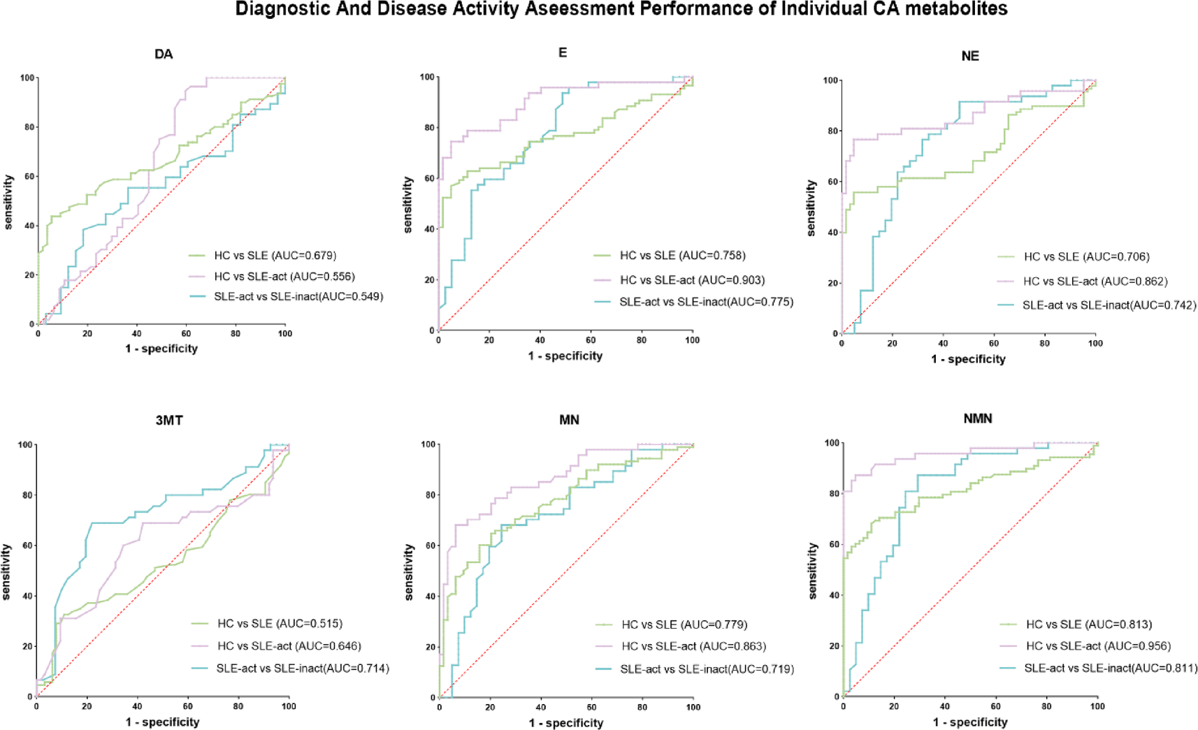
Fig. 8

Diagnostic performance of CA metabolites in predicting SLE and assessing disease activity by ROC analysis. Each subplot shows three distinct comparisons: Healthy Controls vs. overall SLE patients (HC vs. SLE, green line), Healthy Controls vs. active SLE patients (HC vs. SLE-act, purple line), and active SLE patients vs. inactive SLE patients (SLE-act vs. SLE-inact, light blue line).