Abstract
Radiotherapy is administered to 70% of breast cancer patients, but late complications such as breast fibrosis remain a significant clinical concern. Individual variability significantly influences radiosensitivity, underscoring the need for predictive biomarkers suitable for clinical application. We evaluated five assays using blood samples from 22 matched pairs of treated breast cancer patients, including one female who developed fibrosis grade II or higher and a female who did not. Matching was performed accounting for treatment type, tumor characteristics, and other variables. The assays included γ-H2AX detection, radiation-induced apoptosis evaluation, and cytogenetic analysis by chromosomal instability testing, and assessment of radiation-induced damage in G0- and G2- phase lymphocytes. The results indicated that patients who developed fibrosis presented significantly lower values in the G2 assay and higher values in the chromosomal instability test. The G2 assay evaluates the integrity of the G2/M checkpoint, while the chromosomal instability test measures chromosomal instability through crosslink sensitivity. In contrast, the other evaluated tests did not discriminate between groups. Considering the cohort and the variability in all tests, our results suggest that G2 assay and chromosomal instability test would be robust predictors of radiotherapy-induced breast fibrosis. Validation in a larger retrospective or prospective study is necessary.
Similar content being viewed by others
Introduction
Radiotherapy (RT) is a common treatment for cancer patients, used in nearly 50% of all cancer cases1. In the case of breast cancer, this figure can rise to as much as 70% of treated patients2. The primary objective of the treatment is to eradicate tumor cells by inducing cell death and inhibiting their proliferation3. While RT can be used alone, it is often combined with chemotherapy, hormone therapy, or immunotherapy to enhance therapeutic efficacy. Despite the numerous benefits of the RT, it can also affect non-tumor tissues. Nowadays, technological advances have made it possible to improve the therapy by maximizing locoregional irradiation directed to the tumor, minimizing damage to normal tissue and thus reducing side effects4. Nonetheless, RT patients still experience side effects in normal tissues in 5–10% of the cases, with a detrimental impact on their quality of life5.
These side effects can be classified into acute and late effects of radiation toxicity. Acute side effects are related to inflammatory processes or early tissue damage; late side effects include fibrosis, vascular damage, necrosis, or even secondary neoplasia, which are usually irreversible6,7. Late toxicity, the most severe form, can appear months or even years after the end of treatment, and appears in 15% of treated patients5,8,9. Individual radiosensitivity influences the response to treatment, including the occurrence of acute and late radiotoxic effects10. Differences in radiosensitivity have been observed among cancer patients, even when they receive similar treatments11. These differences may be related to various clinical factors, such as age at the time of treatment, total radiation dose, and additional treatments such as chemotherapy, hormone therapy, or immunotherapy. Additionally, comorbidities and lifestyle factors, such as tobacco use, diabetes mellitus, or obesity, may contribute to differential radiosensitivity. Although genetic factors are estimated to account for approximately 80% of the variability in individual radiosensitivity12,13,14, the underlying mechanisms responsible for this variability remain unclear.
Identifying patients with high radiosensitivity prior to the initiation of RT could enable clinicians to design more personalized treatment plans by adjusting the total radiation dose, irradiated volume, or even considering alternative approaches, thereby enhancing the quality of life of cancer patients.
Given the challenge of predicting individual radiosensitivity in the context of personalized medicine, several studies have proposed potential biomarkers to support the development of more tailored RT treatments5,15,16,17,18. Most of these studies are based on the hypothesis that cellular radiosensitivity assessed ex vivo can be extrapolated to reflect a patient’s intrinsic radiosensitivity, thereby reinforcing the relevance of investigating these potential biomarkers13,19,20,21,22. Although many studies have evaluated different biomarkers, the findings remain controversial, and no reliable method for estimating the individual radiosensitivity has been clearly established to date5,10. Therefore, the aim of this study is to evaluate five biomarkers with strong potential to differentiate between patients who are more susceptible to developing side effects from RT from those who are not. These biomarkers include: the γ-H2AX assay to assess DNA damage induction and repair, radiation-induced apoptosis, the diepoxybutane (DEB) chromosome instability test, and cytogenetic analysis of radiation-induced chromosomal aberrations following irradiation at G0 and G2 cell cycle phases.
Results
In this study, 22 pairs of patients were evaluated. However, for some tests, the number of metaphases was insufficient, or the results were clearly invalid. When this happened, the paired patient was also removed from the analysis. For this reason, the number of patient pairs may vary between tests.
Radiation-induced damage: dicentric assay
The yield of dicentric chromosomes was evaluated in 21 pairs of matched patients in non-irradiated and irradiated samples. In the fibrosis group, the background frequency ranged from 0 to 0.1 dicentrics per cell, with a mean of 0.026 ± 0.006 (mean ± standard deviation). Similar results were obtained in the non-fibrosis group, with dicentric yield ranging from 0 to 0.09, with a mean of 0.026 ± 0.005. No correlation was observed between the elapsed time from the end of RT to sample collection and the frequency of dicentrics. The frequency of radiation-induced dicentrics was also evaluated after 2 Gy irradiation of G0 lymphocytes. For this assay, 13 matched patient pairs were analyzed. For the fibrosis group, the frequency of dicentrics per cell ranged from 0.35 to 0.71, and the mean frequency was 0.47 ± 0.03, and in the non-fibrosis group, the frequencies ranged from 0.23 to 0.67, and the mean was 0.43 ± 0.03. No statistical differences between the two groups of patients were observed with these data. To address the potential confounding effect of those dicentrics remaining from the RT, G0 lymphocyte radiosensitivity for each patient was calculated by subtracting the baseline dicentric frequency from that observed after 2 Gy irradiation (Fig. 1). For the fibrosis group, the frequency of dicentrics per cell ranged from 0.33 to 0.66, with a mean of 0.45 ± 0.03. In the non-fibrosis group, the frequency ranged from 0.22 to 0.63, with a mean of 0.40 ± 0.03, values slightly lower but not statistically different to the one observed in the fibrosis group (p = 0.17, Mann-Whitney test).
Frequency of radiation-induced dicentrics, obtained by subtracting the basal level of dicentrics from those observed after 2 Gy irradiation. Open circles represent individual values in the fibrosis group, with a mean (± SE) of 0.45 ± 0.03; the coefficient of variation for this group was 20.71%. Grey circles represent individual values in the non-fibrosis group, with a mean (± SE) of 0.40 ± 0.03; the coefficient of variation for this group was 29.55%.
Radiation-induced damage: G2 assay
The effect of radiation was also evaluated by irradiating the lymphocytes in their G2 phase; in this case, the chromosomal aberrations considered were chromatid breaks and gaps. This irradiation was performed to carry out the G2 assay, which consists of subtracting the yield of radiation-induced gaps and breaks in cultures treated with caffeine from those observed in cultures not treated with caffeine23. For this test, a total of 17 matched patient pairs were included. After subtraction, in the fibrosis group, the frequency of breaks and gaps ranged from 0 to 3.38, with a mean of 1.45 ± 0.26. In the non-fibrosis group, the frequencies ranged from 1.14 to 4.32 with a mean of 2.58 ± 0.23 breaks and gaps per cell. When both groups were compared (Fig. 2), statistically significant differences were observed between them (p = 0.003, t-test), indicating that patients with fibrosis presented significantly lower values in the G2 assay.
G2 assay values, obtained by subtracting the frequency of chromatid breaks and gaps observed in caffeine-treated cultures from those observed in untreated cultures. Open circles represent individual values in the fibrosis group, with a mean (± SE) of 1.79 ± 0.26; the coefficient of variation for this group was 75.39%. Grey circles represent individual values in the non-fibrosis group, with a mean (± SE) of 2.58 ± 0.23; the coefficient of variation for this group was 36.26%. Difference between groups: **p < 0.01.
DEB-induced damage: chromosome instability test
As previously described, the chromosome instability test was performed by adding DEB to peripheral blood lymphocyte cultures 24 h after culture set up. The aberrations scored were chromosome and chromatid breaks and gaps. For this assay, a total of 21 matched patient pairs were included. In the non-fibrosis group, the frequency of breaks and gaps per cell ranged from 0 to 0.06. with a mean value of 0.03 ± 0.004. In the fibrosis group, individual values ranged from 0 to 0.16 breaks and gaps per cell, with a mean value of 0.06 ± 0.009. When the two groups were compared (Fig. 3), a significant difference between the two groups was observed (p = 0.006, Mann-Whitney test), indicating that patients with fibrosis presented significantly higher values in the chromosome instability test.
DEB-induced damage. Open circles represent individual values in the fibrosis group, with a mean (± SE) of 0.06 ± 0.01; the coefficient of variation for this group was 73.05%. Grey circles represent individual values in the non-fibrosis group, with a mean (± SE) of 0.03 ± 0.004; the coefficient of variation for this group was 69.55%. Difference between groups: **p < 0.01.
γ-H2AX assay
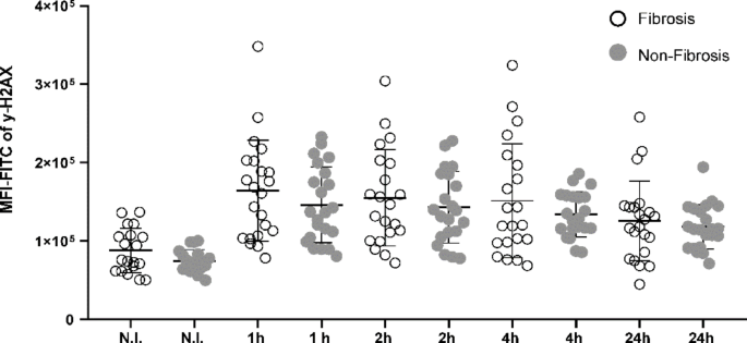
For all 22 matched patient pairs, the γ-H2AX assay was assessed in non-irradiated samples and 1, 2, 4, and 24 h after 2 Gy irradiation. Although a tendency toward increased fluorescence intensity was observed in the fibrosis group in both non-irradiated samples and at all evaluated post-irradiation time points, no significant differences were detected (Fig. 4). When individual values were examined, substantial overlap was observed between the two groups. Additionally, the fibrosis group exhibited greater variability compared with the non-fibrosis group.
Geometric means of the fluorescence intensity (MFI)-FITC of γ-H2AX at non-irradiated (N.I.), and 1, 2, 4 and 24 h post-irradiation with 2 Gy. Open circles represent individual values in the fibrosis group, and grey circles represent individual values in the non-fibrosis group. For the fibrosis and non- fibrosis groups the mean values (± SE) and coefficients of variation were as follows: in the N.I. samples, 8.77 × 104 ± 6.49 × 103 and 32.26%, and 7.46 × 104 ± 3.26 × 103 and 19.08% respectively; at 1 h 1.64 × 105 ± 1.38 × 104 and 39.39%, and 1.46 × 105 ± 1.03 × 104 and 33.05%; at 2 h 1.55 × 105 ± 1.34 × 104 and 39.62%, and 1.43 × 105 ± 9.96 × 103 and 31.93%; at 4 h 1.51 × 105 ± 1.58 × 104 and 47.87%, and 1.34 × 105 ± 6.30 × 103 and 21.57%; and at 24 h 1.26 × 105 ± 1.08 × 104 and 40.44%, and 1.18 × 105 ± 6.05 × 103 and 24.02%.
Radiation-induced apoptosis
For this analysis, a total of 18 matched patient pairs were included in the study. Figure 5 shows the percentage of radiation-induced apoptotic cells obtained by subtracting the background apoptosis values from those observed in the irradiated samples. As shown, significant differences were observed between the two patient groups (p = 0.017, t-test), indicating that patients with fibrosis presented significantly lower values in the radiation-induced apoptosis test. The mean percentages of apoptotic cells were 37.86 ± 4.22 in the fibrosis group and 52.98 ± 4.31 in the non-fibrosis group. Although the difference in mean values between the groups was statistically significant, it is worth noting that the range of apoptotic cell percentages was quite broad: from 7.5% to 60.1% in the fibrosis group, and from 18% to 75.84% in the non-fibrosis group.
Percentage of apoptotic cells observed 48 h post-irradiation. Open circles represent individual values in the fibrosis group, with a mean (± SE) of 37.86 ± 4.22; the coefficient of variation for this group was 47.35%. Grey circles represent individual values in the non-fibrosis group, with a mean (± SE) of 52.98 ± 4.22; the coefficient of variation for this group was 34.49%. Difference between groups: * p < 0.05.
Covariates study
Out of the 20 covariates studied, two showed a statistically significant association with fibrosis. Logistic regression analysis revealed a significant association between tobacco use and post-RT fibrosis (p = 0.02). The estimated coefficient for tobacco use was 1.52, indicating that smoking increases the likelihood of developing fibrosis. The residual deviance (55.04) and the AIC (59.90) suggest a moderate model fit. Obesity was the other covariate significantly associated with fibrosis (p = 0.03); the estimated coefficient of 1.61 suggests that obesity increases the likelihood of fibrosis development. The residual deviance (54.43) and AIC (58.42), indicate a moderate model fit. Additionally, hypertension showed a near-significant association with fibrosis (p = 0.05), with an estimated coefficient of 1.49, suggesting a potential positive relationship.
Binomial logistic regression
Covariates identified as differentially distributed between the two patient groups (tobacco use and obesity) were assessed to determine their contribution to the observed differences in each biomarker. Statistical analysis included a binary logistic regression model for each potential biomarker to evaluate its role in the fibrosis development while accounting for the statistically significant effect of covariates. All results showed no evidence of multicollinearity (VIF < 1.3 and tolerance > 0.7).
In the logistic regression model, the G2 assay demonstrated the ability to discriminate between patients with and without fibrosis after adjusting for covariates, as higher test scores were significantly associated with a higher probability of belonging to the non-fibrosis group (coefficient = 1.33, p = 0.02). The model showed a significant overall fit (χ² = 18.77, df = 3, p < 0.001), with a deviance of 26.95 and an AIC of 34.95, indicating a good fit and appropriate balance between complexity and predictive capacity.
For the chromosome instability test, it was able to discriminate between patients with and without fibrosis after adjusting for tobacco use and obesity, showing a negative coefficient (coefficient = −47.68, p = 0.021). This suggests that higher values of this test are associated with a significantly lower probability of belonging to the non-fibrosis group, that is, a higher risk of fibrosis. The logistic regression model, including the predictor test and the covariates, showed a significant overall fit (χ² = 23.63, df = 3, p < 0.001), with a deviance of 31.82, and an AIC of 39.82, indicating a good fit and relative explanatory power.
The logistic regression model for radiation-induced apoptosis adjusted for covariates, also showed a significant overall fit (χ² = 15.48, df = 3, p < 0.001), although with a lower explanatory power (deviance = 34.43, AIC = 42.43). In this case, the predictive test did not reach statistical significance (coefficient = 0.04, p = 0.16), indicating that this biomarker does not significantly discriminate between the fibrosis and non-fibrosis groups in this model.
Discussion
The individuals analyzed in this study were selected from a larger cohort of breast cancer survivors. In that cohort, using γ-H2AX and apoptosis measurements, we previously suggested that these two biomarkers show a slight negative correlation24. However, the present study focuses more specifically on evaluating whether it is possible to distinguish between patients who developed fibrosis and those who did not. To reduce variability caused by clinical differences, we adopted a homogeneous cohort approach, composed of patient pairs carefully matched according to key covariates, such as irradiated breast volume and treatment type, among others. By matching both the fibrosis and non-fibrosis groups, we aimed to minimize the influence of confounding factors associated with the development of fibrosis after RT.
Among the factors analyzed, we evaluated the frequency of dicentric chromosomes in peripheral blood lymphocytes, both at baseline and after ex vivo irradiation at 2 Gy. The dicentric chromosome test is considered a gold standard for biological dosimetry and has been proposed in several studies as a potential biomarker of clinical radiosensitivity25,26. However, in our study, neither the baseline frequency of dicentric chromosomes nor that observed post-irradiation allowed discrimination between radiosensitive and non-radiosensitive groups. Although a trend towards higher values was observed in the radiosensitive group after exposure, the differences were not statistically significant. These results can be explained by the considerable variability among patients and the relatively small sample size of our cohort, which reduces the statistical power of the analysis. Both fibrosis and non-fibrosis groups exhibited a mean basal frequency of approximately three dicentrics per 100 cells. This value is clearly higher than that widely accepted for the non-exposed population, which is about 0.5–1.5 dicentric per 1000 cells27. Following ex vivo exposure to 2 Gy, and after individual baseline subtraction, the mean radiation-induced dicentric yield was approximately 42 dicentrics per 100 cells. Again, this value is higher than expected; In a previous study conducted by our group on healthy individuals, peripheral blood lymphocytes irradiated with 2 Gy exhibited mean dicentric yields of approximately 31 per 100 cells28. These results are consistent with other studies indicating that cancer patients often exhibit higher frequencies of chromosomal aberrations in G0 lymphocytes after irradiation compared with healthy individuals25,29,30.. This elevated radiosensitivity has been attributed to genetic predisposition or defects in DNA damage repair mechanisms31. Although our results suggest that cancer patients tend to exhibit higher levels of dicentrics, no statistically significant differences were observed between the two evaluated groups. This indicates that the dicentric assay may not be suitable as a biomarker for predicting late toxicity of RT.
Similarly to the elevated radiation sensitivity after G0 exposure, lymphocytes from cancer patients also showed elevated frequencies of chromosomal aberrations after G2 irradiation29,30. In this case, it was also observed that this difference could be exacerbated by abrogating the G2/M checkpoint using caffeine23. Interestingly, our results showed that patients who developed fibrosis after RT tended to have values closer to zero, suggesting that their G2/M checkpoint may not be fully functional in response to cellular damage, corresponding to a higher radiosensitivity. In contrast, non-fibrosis patients exhibited higher values, indicating better functionality of this checkpoint. For this assay, the differences between the two groups were statistically significant, even after adjusting for covariates, reinforcing the potential relevance of this assay as a predictor of adverse effects. Previous studies evaluating different adverse outcomes in breast cancer and neck squamous cell carcinoma patients showed that this assay was associated only with fatigue, but not with dermatitis, pain or pruritus32. In another cohort of breast cancer patients, no correlation was observed between the presence of acute-radiation dermatitis and the values obtained using this assay33. Another important aspect to consider is the considerable overlap between fibrosis and non-fibrosis patients, which limits the discriminatory power of the assay at the individual level. This variability suggests that, although the G2-assay shows promise, its clinical application as a standalone test would require further validation in larger studies, ideally incorporating complementary biomarkers.
The chromosomal instability assay using DEB is a widely used test to detect Fanconi anemia (FA) patients, who exhibit significantly elevated frequencies of chromosomal aberrations. FA patients show defective repair of DNA interstrand crosslinks, which require the FA pathway and homologous recombination (HR) repair mechanisms34,35,36,37. This repair deficiency renders FA patients hypersensitive to RT, while FA heterozygotes may show milder increases in chromosomal aberrations38. Notably, bimodal DEB sensitivity distribution has been observed in healthy donors, suggesting genetic or epigenetic variability in crosslink repair39. Although the DEB test has not yet been used to assess chromosomal instability in breast cancer, it has significant genetic relevance. Several studies have shown that alterations in genes involved in DNA repair such as BRCA1, which participates in HR, not only confer predisposition to breast and ovarian cancer, but are also associated with induced chromosomal fragility or an increased response to genotoxic damage40,41. These studies have reported that biallelic variants in the BRCA1 gene can give rise to a phenotype recognized as complementation group S, clinically situated between FA and Nijmegen syndrome42,43. These findings suggest that patients heterozygous for this gene, even in the absence of overt syndromic manifestations, may present subclinical alterations in DNA damage repair. Therefore, the implementation of ex vivo chromosomal instability assays could be useful for identifying individuals with these characteristics.
In our study, the fibrosis group exhibited nearly a twofold increase in the average level of chromosomal damage compared with the non-fibrosis group in the chromosomal instability test. This difference remained statistically significant after adjusting for covariates. It is interesting to note that three of the patients who developed fibrosis showed chromosomal aberrations values clearly higher than those observed in the rest of the cohort. Considering that these patients did not exhibit extreme values in any of the other assays evaluated, we hypothesize that they may be carriers of mutations affecting the above-mentioned repair pathways. After excluding these three patients and their matched pairs, the comparison between the two groups continued to show a statistically significant difference (p = 0.02). Our results suggest that the observed differences could be due to possible heterozygous defects in the DNA interstrand crosslink repair pathway, as mentioned previously.
Another biomarker evaluated in the present study was the γ-H2AX, a marker of DNA double-strand breaks by immunofluorescence. This marker is widely used in biological dosimetry studies and has also been tested in radiosensitivity studies44,45,46. In our study, the fibrosis group showed non-significantly higher values compared with the non-fibrosis in both non-irradiated samples and samples irradiated in vitro and evaluated at different time points. Chua et al. (2014)47 reported significant differences in radiation response at 24 h post-irradiation among breast cancer patients with adverse effects. In contrast, Brzozowska et al. (2012)8 found no significant differences in γ-H2AX levels between prostate cancer patients with or without side effects at different time points. More recently, a study conducted on pelvic cancer patients found no differences in γ-H2AX levels 1 h after in vitro irradiation; however, at 4 h post-irradiation, patients without adverse effects exhibited significantly lower γ-H2AX levels48. Another recent study involving prostate and gynecological cancer patients observed non-significant trend toward a slower γ-H2AX decline in patients with severe toxicity and concluded that γ-H2AX decay is not a reliable predictor of late toxicity49. This inconsistency may reflect interindividual variability in DNA repair kinetics and the absence of standardized endpoints for γ-H2AX measurement, which may limit its usefulness in discriminating radiosensitive patients. Overall, these findings suggest that γ-H2AX analysis is not a reliable or clinically relevant biomarker of radiation-induced toxicity.
Another biomarker of radiosensitivity evaluated in the present study was the Radiation-Induced Lymphocyte Apoptosis (RILA) assay50. Several studies conducted in small cohorts of breast cancer patients have shown that lower rates of apoptosis are associated with a higher incidence of side effects50,51,52.These findings were later validated in a multicentric trial20. In the present study, our results were consistent with those reported in the literature: the non-fibrosis group exhibited a mean percentage of apoptosis significantly higher than that of the fibrosis group. However, the lack of statistical significance observed in the logistic regression model indicates that the radiation-induced apoptosis test was not able to discriminate between fibrosis and non-fibrosis patients. This may be partially explained by the methodological design of the study, as our cohort was selected based on clinical homogeneity and matching was performed according to specific covariates, such as treatment characteristics and total administered dose. While this strategy improved control of potential confounders, it also reduced intergroup variability and, consequently, the statistical power to detect significant differences. Furthermore, the limited sample size (17 matched pairs) further restricted the power of the analysis and may have contributed to a non-normal distribution of the residuals. In summary, the RILA assay should be evaluated in additional patient cohorts. The literature indicates that the relationship between apoptosis and prognosis or treatment response in breast cancer remains controversial, and the lack of prospective studies limits its clinical application as a robust biomarker. The results at 48 h also showed high interindividual variability in the radiation-induced apoptosis response, highlighting the importance of considering additional molecular or genetic factors to improve our understanding of this process.
Mutations in the ATM gene, as seen in Ataxia Telangiectasia (AT), are associated with low radiation-induced apoptosis and increased radiosensitivity12,53. In addition, some radiosensitive cancer patients show apoptosis rates similar to those observed in AT heterozygotes, suggesting that radiosensitivity could be related to inherited variants in DNA damage response genes, such as ATM, which may contribute to both chromosomal sensitivity and cancer susceptibility54,55. Variants in genes such as ATM, ATR, TP53 or CHEK2, are therefore considered important biomarkers for identifying DNA repair deficiencies16,56,57.
To understand the variability observed across different biomarkers and potential impact of each patient’s clinical characteristics, a reanalysis of the studied covariates was performed. Two of these covariates, tobacco use and obesity, were differentially represented between the fibrosis and non-fibrosis groups. Tobacco use has been described as a contraindicated habit, as it may impair the inflammatory response and tissue healing, and has also been associated with increased breast tissue fibrosis, potentially exacerbating the adverse effect of RT58. Moreover, obesity has been associated with higher likelihood of developing breast fibrosis, as it promotes collagen deposition and increases tissue stiffness, thereby altering the extracellular matrix composition, making it more rigid, which can facilitate tumor progression and worsen RT outcomes59,60.
This study examined radiosensitivity from different perspectives through the simultaneous analysis of several biomarkers, providing a broader view than that offered in previous studies on this topic. Due to the controversy surrounding the results obtained with radiosensitivity tests, particularly in breast cancer, this study was designed using a carefully selected cohort to obtain more reliable and accurate results. Furthermore, since comparisons were made between two groups of cancer patients and no healthy controls were included, we applied a more restrictive statistical approach using a binomial logistic regression model, unlike other studies that used thresholds based on the 90th percentile8. This statistical method allows for more robust results by assessing the association between biomarker outcomes and the development of breast fibrosis, while controlling for potential confounding covariates. When comparing the logistic regression results among the potential radiosensitivity predictive tests, our findings indicate that the G2 assay stands out as the most robust biomarker for discriminating against fibrosis and non-fibrosis patients. This test showed an independent association with the absence of fibrosis, even after adjusting for relevant clinical covariates. The chromosomal instability test also presented a significant association, though with a lower discriminative capacity. In our cohort, radiation-induced apoptosis did not reach statistical significance in the adjusted model, highlighting its limited predictive value.
The limited discriminatory capacity of some tests after adjusting for covariates reflects the inherent complexity of radiosensitivity, a multifactorial trait influenced by diverse biological and clinical factors. Nevertheless, our findings underscore the importance of continuing to explore integrative and multimodal strategies to improve the prediction of late radiation toxicity. Future validation in larger prospective cohorts integrating cytogenetic, molecular, and genomic biomarkers with functional and clinical data, will be essential to develop clinically applicable predictive tools for RT-induced fibrosis, paving the way for more personalized and predictive models in RT.
Materials and methods
Patients
In this study, we evaluated the utility of five biomarkers in a homogeneous cohort consisting of 44 female treated breast cancer patients, forming 22 matched pairs, selected according to clinical criteria (Table 1). Matching was performed based on age, family history of other neoplasms, clinical characteristics of the breast cancer, and treatment received, specifically ensuring that patients followed the same RT, hormonal therapy, and chemotherapy protocols. Additionally, other clinical variables, such as diabetes and obesity were recorded (Table 2). The study cohort included patients aged between 43 and 71 years. All participants were in complete remission, and recruitment took place between 3 and 15 years after therapy in the Radiation Oncology Department at Institut Català d’Oncologia (ICO), Barcelona, Spain. Anonymized clinical data were collected between September 2024 and February 2025. The cohort was divided into two groups: one consisting of patients who developed severe fibrosis (grade 2 or higher), referred to as “fibrosis” group; and the other consisting of patients with grade 1 or no fibrosis at all, referred to as the “non-fibrosis” group.
This study was approved by the Research Ethics Committee of the Bellvitge Hospital and ICO (PRED-RAD, reference PR044/20). Prior to blood sample collection, all participants provided written informed consent. The study procedures complied with Good Clinical Practice (GCP) guidelines and were conducted in line with the principles outlined in the Declaration of Helsinki.
Peripheral blood samples obtention
During a follow-up medical appointment, a peripheral blood sample of 18 mL was obtained by phlebotomy. The blood was collected in sodium heparin tubes (Vacutest, Arzergrande, Italy) and transported to the Universitat Autònoma de Barcelona (UAB). For each patient, 6 mL of blood were reserved for blood cultures to perform cytogenetic studies and 12 mL were used for lymphocyte isolation to carry out the γ-H2AX and apoptosis assays. Lymphocyte isolation was performed using lymphosep™ solution (Biowest, Nuaillé, France) according to the manufacturer’s protocol. Once isolated, lymphocytes were diluted in 10.5 mL of Roswell Park Memorial Institute 1640 medium (Biowest) supplemented with 15% fetal bovine serum (GIBCO, Thermo-Fisher, Eugene, OR, USA). Then, the lymphocyte suspension was divided into seven different tubes containing 1.5 mL each. Five of these tubes were used for the γ-H2AX assay and two for the apoptosis assay.
Irradiation conditions
Both, whole blood and lymphocyte suspensions were irradiated at room temperature with a 137Cs-source (IBL437C, CIS Bio international, Gif-Sur-Yvette, France) located in a separate building at the UAB campus. Dose rate ranged from 4.28 to 4.06 Gy·min− 1 due to the decay of source. During irradiations, International Atomic Energy Agency recommendations were followed (IAEA, 2011).
Cytogenetic cultures
Background frequencies of chromosome aberrations
For each patient, two cultures of whole blood were set up to determine the background frequencies of chromosomal aberrations. To do so, 500 µL of whole blood were added to 5 mL of PB-Max Karyotyping (GIBCO) medium and incubated at 37 °C for 48 h. After 46 h, Colcemid (GIBCO) was added at a final concentration of 0.18 µg·mL− 1. Blood cultures were harvested using the standard treatment with hypotonic and Carnoy’s fixative. Slides were stained with 10% Giemsa (Merck KGaA, Darmstadt, Germany) for 10 min.
Radiation-induced chromosome aberrations
The radiation-induced chromosomal aberrations were evaluated at G0 and G2 stages of the cell cycle. For G0, 1 mL of whole blood from each patient was irradiated with 2 Gy, a dose previously used to assess interindividual variability in both control and occupational exposed populations28. Blood was then incubated at 37 °C for 2 h. Subsequently, two cultures were established as previously described. To evaluate the radiation-induced chromosomal aberrations, the background frequencies of dicentric chromosomes were subtracted to the radiation-induced dicentric chromosomes frequencies. This analysis was referred to as the dicentric assay.
To evaluate the radiation-induced damage during the G2 phase, two additional cultures were set up and irradiated with 1 Gy after 72 h of incubation. The dose of 1 Gy was selected in accordance with the methodology described by Pantelias and Terzoudi19, which was also followed to assess the efficacy of the G2/M checkpoint in eliminating the induced damage. Briefly, caffeine at a final concentration of 672 µg·mL− 1 (Sigma-Aldrich Química, Madrid, Spain), which inhibits the checkpoint, was added in one of these cultures immediately before irradiation. The individual radiosensitivity parameter was calculated by subtracting the G2 radiation-induced aberrations in caffeine-treated cultures from those observed without this caffeine treatment. The resulting value reflected the extent to which the G2/M checkpoint was functional, values close to zero, indicating a defective checkpoint. After irradiation both cultures were maintained at 37 °C, and 20 min later Colcemid was added at a final concentration of 0.17 µg·mL− 1. Finally, both cultures were harvested after 73 h of incubation, as previously described. This analysis was referred to as the G2 assay.
Diepoxibutane-induced chromosome aberrations
The analysis on the effect of diepoxybutane (DEB, Sigma-Aldrich) was evaluated by establishing two whole blood cultures for each donor (500 µL of whole blood mixed in 5 mL of PB-Max Karyotyping medium). After 24 h of culture, DEB was added at a final concentration of 0.09 µg·mL− 1, and 46 h later Colcemid was added at a final concentration of 0.18 µg·mL− 1. Cultures were harvested after 72 h of incubation. This analysis was referred to as the chromosome instability test.
Microscope analysis and scoring criteria of cytogenetic slides
The slides were analyzed in a Zeiss Axio Imager Z2 microscope (MetaSystens Hard & Software GmbH, Atlussheim, Germany) coupled to a Metafer Slide Scanning System V 3.12 (MetaSystems Hard & Software GmbH). Only metaphases containing 46 centromeres were scored. The number of metaphases evaluated was 100 for all treatments, except for G2 irradiated lymphocytes, where 50 cells were analyzed. All slides were scored in a blinded manner with respect to patient group. For the basal frequency of chromosomal aberrations and for chromosomal aberrations induced after G0 irradiation, dicentric chromosomes were counted. During the score, di- and tricentrics were recorded only when their respective acentric fragments were present, and in the case of tricentrics they were considered as two dicentric equivalents. For chromosome instability and G2 assays, chromosome and chromatid breaks and gaps were counted. The breaks were scored as chromatid discontinuities with relocation of the broken segment, or when the discontinuity was wider than the width of the chromatid. Gaps were defined as chromatid discontinuities showing no displacement of the segment distal to the lesion.
γ-H2AX assay
To detect the presence of γ-H2AX, isolated lymphocytes were fixed in 2% paraformaldehyde (Sigma-Aldrich) for 5 min at 4 °C and then cells were centrifuged at 600 g for 5 min. After that, the supernatant was removed, and 70% ethanol was added. The suspension was then kept at −20 °C for at least 2 h. Then, cells were centrifuged at 600 g for 5 min, the supernatant was discarded, and the pellet was resuspended in 1 x PBS and centrifuged again at 600 g for 5 min. Afterward, 1 x PBS/0.5% Triton X-100 (Sigma-Aldrich) was added and kept on ice for 10 min for cell permeabilization. Then, cells were washed with 1 x PBS. A blocking treatment was conducted for 30 min with 1 x PBS/0.1% Tween-20 (Sigma-Aldrich) and 2% of Fetal Bovine Serum (FBS, Life Technologies, Madrid, Spain). Next, cells were centrifuged and after supernatant removal, they were incubated overnight at 4 °C with mouse monoclonal anti-γ-H2AX (Ser139) antibody (Abcam, Cambridge, UK) diluted 1:500 in 1 X PBS/0.1% Tween-20/2% FBS. After this first incubation, cells were washed twice with 1 x PBS/0.1% Tween-20 solution, and a second incubation was done using a secondary anti-mouse goat antibody, labelled with FITC (Invitrogen, Thermo-Fisher, Eugene, OR, USA) diluted 1:400 in 1 X PBS/0.1% Tween-20/2% FBS. DNA staining was done with a solution of 1 µL of propidium iodide (PI, 1 mg·mL− 1) and 1 µL of RNase (1 mg·mL− 1) in 1 mL of 1 x PBS.
Analysis of γ-H2AX was done using the Cytoflex flow cytometer (Beckman Coulter, Indianapolis, IN, USA) with two active lasers of 488 nm and 638 nm. To measure the γ-H2AX intensity of fluorescence in suspension, FITC and PI were excited with the 488 nm laser. For each sample, the intensity of approximately 10.000 events was evaluated and analyzed using the FlowJo vX.0.7 software (FlowJo, Ashland, OR, USA) to obtain the geometric Mean Fluorescence Intensity of FITC (MFI-FITC).
Radio-induced apoptosis assay with Annexin V/PI
To perform the apoptosis assay in suspension, the Annexin-V-FLUOS Staining Kit (Roche, Barcelona, Spain) was used according to the manufacturer’s instructions. Lymphocytes were irradiated with 8 Gy and then incubated at 37 °C for 48 h, after which apoptosis was evaluated. Non-irradiated lymphocytes were also incubated for 48 h and evaluated in parallel. The allophycocyanin anti-human CD8 + mouse antibody, SK1 clone, (Biolegend, San Diego, CA, USA) was added to select the CD8 + population. Viable, early apoptotic (EA), and late apoptotic (LA) (or necrotic) cells were scored by the Cytoflex flow cytometer. The Annexin V positive cells were identified using the 638 nm laser, and the PI positive cells using the 488 nm laser. For each sample, approximately 50.000 events were counted and analyzed using the FlowJo v.X 0.7 software. Results were normalized by subtracting, from each patient, the percentage of apoptotic cells observed in non-irradiated samples processed in parallel with the irradiated ones.
Statistical analysis
Data were analyzed using GraphPad Prism version 8.0.1 (GraphPad Software, Boston, MA, USA), with statistical significance at p < 0.05. First, Shapiro-Wilk and Kolmogorov-Smirnov normality tests were performed to every assay. According to these preliminary tests, the unpaired t test was performed to compare the results in the two evaluated groups (fibrosis and non-fibrosis) in the G2 assay, G0 radiation-induced chromosomal aberrations and apoptosis. Mann-Whitney test was performed for the background levels of chromosomal aberrations, the chromosome instability test and the γ-H2AX assay. Correlation of individual values, either for γ-H2AX results or apoptosis rate, was tested with Spearman test.
To evaluate whether an association exists between presence of fibrosis and the clinical data collected, multivariate study was conducted with a binomial logistic regression analysis. The covariates included were both qualitative and quantitative variables. Qualitative variables were tumor type and stage, nodule types, presence of metastasis, diabetes, hypertension, tobacco use, dyslipidemia, collagenosis, obesity, chemotherapy, hormone therapy, monoclonal antibody therapy, family history of cancer, laterality of the tumor, type of surgery, and lymph node involvement. The quantitative covariates included age, total RT dose, and boost dose. Logistic regression was performed using R 4.2.1 software (R Core Team 2024), with p-value < 0.05 considered statistically significant.
A logistic regression model was applied to evaluate the effect of different covariates on the results obtained in predictive biomarker tests. The significant covariates included in the model were selected based on their statistical relevance in the binomial logistic regression. For each evaluated biomarker, model assumptions were verified, confirming the absence of multicollinearity among covariates (VIF < 2; tolerance values > 0.7). Deviance and AIC were evaluated to assess the quality of logistic regression models, lower values reflecting a better fit and greater model parsimony. Binomial logistic regression was performed using Jamovi 2.3.28, considering a p-value < 0.05 as statistically significant.
Data availability
Research data are stored in the Catalan Open Research Area (CORA), https://dataverse.csuc.cat/previewurl.xhtml?token=af5bd692-e2e6-4d7b-b231-5342c109788d.
References
American Cancer Society. Radiotherapy. (2024). https://www.cancer.org/es/cancer/como-sobrellevar-el-cancer/tipos-de-tratamiento/radioterapia/conceptos-basicos.html
Maliko, N. et al. Transparency in quality of radiotherapy for breast cancer in the netherlands: a National registration of radiotherapy-parameters. Radiat. Oncol. 17, 173 (2022).
Deloch, L. et al. Modern radiotherapy concepts and the impact of radiation on immune activation. Front. Oncol. 6, 1–16 (2016).
Yarnold, J. Changes in radiotherapy fractionation—breast cancer. Br. J. Radiol. 92 (1093), 20170849 (2018).
Greve, B. et al. Evaluation of different biomarkers to predict individual radiosensitivity in an Inter-Laboratory Comparison-Lessons for future studies. PloS One. 7 (10), e47185 (2012).
Dauer, L. T. et al. Guidance on radiation dose limits for the lens of the eye: overview of the recommendations in NCRP commentary 26. Int. J. Radiat. Biol. 93, 1015–1023 (2017).
Majeed, H. & Gupta, V. Adverse Effects of Radiation Therapy. StatPearls (2023).
Brzozowska, K. et al. In vivo versus in vitro individual radiosensitivity analysed in healthy donors and in prostate cancer patients with and without severe side effects after radiotherapy. Int. J. Radiat. Biol. 88, 405–413 (2012).
Vasireddy, R. S., Sprung, C. N., Cempaka, N. L., Chao, M. & McKay, M. J. H2AX phosphorylation screen of cells from radiosensitive cancer patients reveals a novel DNA double-strand break repair cellular phenotype. Br. J. Cancer. 102, 1511–1518 (2010).
Vinnikov, V. et al. Prediction of the acute or late radiation toxicity effects in radiotherapy patients using ex vivo induced biodosimetric markers: A review. J. Pers. Med. 10, 1–36 (2020).
Averbeck, D. et al. Establishing mechanisms affecting the individual response to ionizing radiation. Int. J. Radiat. Biol. 96, 297–323 (2020).
Barnett, G. C. et al. Normal tissue reactions to radiotherapy: towards tailoring treatment dose by genotype. Nat. Rev. Cancer. 9, 134–142 (2009).
Andreassen, C. N., Alsner, J. & Overgaard, J. Does variability in normal tissue reactions after radiotherapy have a genetic basis - Where and how to look for it? Radiother. Oncol. 64, 131–140 (2002).
Andreassen, C. N., Alsner, J., Overgaard, M., Sørensen, F. B. & Overgaard, J. Risk of radiation-induced subcutaneous fibrosis in relation to single nucleotide polymorphisms in TGFB1, SOD2, XRCC1, XRCC3, APEX and ATM–a study based on DNA from formalin fixed paraffin embedded tissue samples. Int. J. Radiat. Biol. 82, 577–586 (2006).
Gomolka, M. et al. Potential screening assays for individual radiation sensitivity and susceptibility and their current validation state. Int. J. Radiat. Biol. 96, 280–296 (2020).
Naderi, E. et al. Large-scale meta-genome-wide association study reveals common genetic factors linked to radiation-induced acute toxicities across cancer types. JNCI Cancer Spectr. 7 (6), pkad088 (2023).
Kolnohuz, A., Ebrahimpour, L., Yolchuyeva, S. & Manem, V. S. K. Gene expression signature predicts radiation sensitivity in cell lines using the integral of dose-response curve. BMC Cancer. 24 (2), 1 (2024).
Dai, Y. H. et al. Radiosensitivity index emerges as a potential biomarker for combined radiotherapy and immunotherapy. NPJ Genom Med. 6, 140 (2021).
Pantelias, G. E. & Terzoudi, G. I. A standardized G2-assay for the prediction of individual radiosensitivity. Radiother Oncol. 101, 28–34 (2011).
Azria, D. et al. Radiation-induced CD8 T-lymphocyte apoptosis as a predictor of breast fibrosis after radiotherapy: results of the prospective multicenter French trial. EBioMedicine 2, 1965–1973 (2015).
Borràs, M., Armengol, G., De Cabo, M., Barquinero, J. F. & Barrios, L. Comparison of methods to quantify histone H2AX phosphorylation and its usefulness for prediction of radiosensitivity. Int. J. Radiat. Biol. 91, 915–924 (2015).
Borràs-Fresneda, M. et al. Differences in DNA repair Capacity, cell death and transcriptional response after irradiation between a radiosensitive and a radioresistant cell line. Sci. Rep. 6, 27043 (2016).
Terzoudi, G. I. et al. G2-checkpoint abrogation in irradiated lymphocytes: A new cytogenetic approach to assess individual radiosensitivity and predisposition to cancer. Int. J. Oncol. 35, 1223–1230 (2009).
Solana-Peña, Á. et al. Correlation between DNA double strand breaks and cell death in peripheral blood lymphocytes from breast cancer patients. Int. J. Radiat. Biol. 101, 1027–1037 (2025).
Scott, D., Barber, J. B. P., Levine, E. L., Burrill, W. & Roberts, S. A. Radiation-induced micronucleus induction in lymphocytes identifies a high frequency of radiosensitive cases among breast cancer patients: A test for predisposition? Br. J. Cancer. 77, 614–620 (1998).
Jones, L. A., Scott, D., Cowan, R. & Roberts, S. A. Abnormal radiosensitivity of lymphocytes from breast cancer patients with excessive normal tissue damage after radiotherapy: chromosome aberrations after low dose-rate irradiation. Int. J. Radiat. Biol. 67, 519–528 (1995).
International Atomic Energy Agency. IAEA Annual Report 2011. Cytogenetic Dosimetry Applications in Preparedness for Response to Radiation Emergencies. GC (56)/2. Vienna: IAEA. (2012).
Barquinero, J. F. et al. Occupational exposure to radiation induces an adaptive response in human lymphocytes. Int. J. Radiat. Biol. 67, 187–191 (1995).
Ryabchenko, N. M., Glavin, O. A., Shtefura, V. V. & Anikusko, M. F. Chromosomal radiosensitivity in Ukrainian breast cancer patients and healthy individuals. Exp. Oncol. 34, 121–124 (2012).
Baeyens, A. et al. Chromosomal radiosensitivity in breast cancer patients with a known or putative genetic predisposition. Br. J. Cancer. 87, 1379–1385 (2002).
Papworth, R., Slevin, N., Roberts, S. A. & Scott, D. Sensitivity to radiation-induced chromosome damage May be a marker of genetic predisposition in young head and neck cancer patients. Br. J. Cancer. 84, 776–782 (2001).
Palumbo, E. et al. Individual radiosensitivity in oncological patients: linking adverse normal tissue reactions and genetic features. Front. Oncol. 9, 987 (2019).
Kišonas, J. et al. Individual radiosensitivity as a risk factor for the radiation-induced acute radiodermatitis. Life (Basel). 12, 20 (2022).
Rageul, J. & Kim, H. Fanconi anemia and the underlying causes of genomic instability. Environ. Mol. Mutagen. 61, 693–708 (2020).
Fang, C., Bin, Wu, H. T., Zhang, M. L., Liu, J. & Zhang, G. J. Fanconi anemia pathway: mechanisms of breast cancer predisposition development and potential therapeutic targets. Front. Cell. Dev. Biol. 8, 160 (2020).
Auerbach, A., Rogatko, A. & Schroeder-Kurth, T. International Fanconi anemia registry: relation of clinical symptoms to diepoxybutane sensitivity. Blood 73, 391–396 (1989).
Auerbach, A. D. Diagnosis of Fanconi Anemia by Diepoxybutane Analysis. Current protocols in human genetics / editorial board, Jonathan L. Haines … et al.]85, 8.7.1 (2015).
Cohen, M. M. et al. The identification of Fanconi anemia genotypes by clastogenic stress. Am. J. Hum. Genet. 34, 794–810 (1982).
Landi, S. et al. Modulating factors of individual sensitivity to diepoxybutane: chromosome aberrations induced in vitro in human lymphocytes. Mutagenesis 12, 17–22 (1997).
Borg, Å. et al. Characterization of BRCA1 and BRCA2 deleterious mutations and variants of unknown clinical significance in unilateral and bilateral breast cancer: the WECARE study. Hum. Mutat. 31, E1200–E1240 (2010).
Díez Gibert, O. et al. Estudio de Los genes BRCA1 y BRCA2 En 200 familias Con cáncer de Mama hereditario. Quim. Clin. 26, 202–206 (2007).
Chirita-Emandi, A. et al. Biallelic variants in BRCA1 gene cause a recognisable phenotype within chromosomal instability syndromes reframed as BRCA1 deficiency. J. Med. Genet. 58, 648–652 (2021).
Sawyer, S. L. et al. Biallelic mutations in BRCA1 cause a new Fanconi anemia subtype. Cancer Discov. 5, 135–142 (2015).
Schuler, N. et al. DNA-Damage foci to detect and characterize DNA repair alterations in children treated for pediatric malignancies. PloS One. 9, 3 (2014).
Lobachevsky, P. et al. Compromized DNA repair as a basis for identification of cancer radiotherapy patients with extreme radiosensitivity. Cancer Lett. 383, 212–219 (2016).
Rothkamm, K. & Horn, S. γ-H2AX as protein biomarker for radiation exposure. Ann. Ist Super Sanita. 45, 265–271 (2009).
Chua, M. L. K. et al. DNA double-strand break repair and induction of apoptosis in ex vivo irradiated blood lymphocytes in relation to late normal tissue reactions following breast radiotherapy. Radiat. Environ. Biophys. 53, 355–364 (2014).
Someya, M. et al. Prediction of late adverse events in pelvic cancer patients receiving definitive radiotherapy using radiation-induced gamma-H2AX foci assay. J. Radiat. Res. 64, 948–953 (2023).
Nuijens, A. C. et al. Genetic markers of late radiation toxicity in the era of image-guided radiotherapy: lower toxicity rates reduce the predictive value of γ-H2AX foci decay ratio in patients undergoing pelvic radiotherapy. Radiat. Oncol. 19, 116 (2024).
Ozsahin, M. et al. CD4 and CD8 T-lymphocyte apoptosis can predict radiation-induced late toxicity: A prospective study in 399 patients. Clin. Cancer Res. 11, 7426–7433 (2005).
Foro, P. et al. Relationship between radiation-induced apoptosis of T lymphocytes and chronic toxicity in patients with prostate cancer treated by radiation therapy: a prospective study. Int. J. Radiat. Oncol. Biol. Phys. 88, 1057–1063 (2014).
Schnarr, K., Boreham, D., Sathya, J., Julian, J. & Dayes, I. S. Radiation-Induced lymphocyte apoptosis to predict radiation therapy late toxicity in prostate cancer patients. Int. J. Radiat. Oncol. Biol. Phys. 74, 1424–1430 (2009).
Meyn, M. S., Strasfeld, L. & Allen, C. Testing the role of p53 in the expression of genetic instability and apoptosis in Ataxia-telangiectasia. Int. J. Radiat. Biol. 66 (6 Suppl), S141–S149 (1994).
Barber, J. B. P., West, C. M. L., Kiltie, A. E., Roberts, S. & Scott, D. Detection of individual differences in radiation-induced apoptosis of peripheral blood lymphocytes in normal individuals, ataxia telangiectasia homozygotes and heterozygotes, and breast cancer patients after radiotherapy. Radiat. Res. 153, 570–578 (2000).
Scott, D. Chromosomal radiosensitivity, cancer predisposition and response to radiotherapy. Strahlenther Onkol. 176, 229–234 (2000).
Fuentes-Raspall, M. J. et al. Apoptosis for prediction of radiotherapy late toxicity: lymphocyte subset sensitivity and potential effect of TP53 Arg72Pro polymorphism. Apoptosis 20, 371–382 (2015).
Andreassen, C. N., Schack, L. M. H., Laursen, L. V. & Alsner, J. Radiogenomics – current status, challenges and future directions. Cancer Lett. 382, 127–136 (2016).
Bhatti, D. S., Bokhari, M. H. T. & Khan, M. A. A. Smoking and fibrocystic changes in the breast: A case report of a lifelong smoker and changes in breast parenchyma. Cureus 14, e26384 (2022).
Kuziel, G., Moore, B. N. & Arendt, L. M. Obesity and fibrosis: setting the stage for breast cancer. Cancers (Basel). 15(11), 2929 (2023).
Frisk, M. Fat fibrosis and breast cancer. Sci. Signal. 8, ec240 (2015).
Funding
This work was supported by the Plan Estatal de Investigación Científica, Técnica y de Innovación 2021–2023, in the frame of Plan de Recuperación, Transformación y Resiliencia, (Proyectos de Colaboración Público-Privada, CPP2021-008368), Ministerio de Ciencia e Innovación.
Author information
Authors and Affiliations
Contributions
A. S-P. Formal analysis, Investigation, Software, Data Curation, Writing-Original Draft, Writing-Review & Editing, M. P-C. Methodology, Formal analysis, Investigation, Writing-Original Draft, Writing-Review & Editing, M. M. Conceptualization, Resources, I. L. Resources, E. M. Conceptualization, Resources, H. P-M. Resources, J. G-V. Resources, M. A.P. Resources, M. V. Visualization, M. S. Resources, F. G. Visualization, Conceptualization, Resources, N. E. Visualization, Conceptualization, V. G-R. Visualization, Conceptualization, G. (A) Conceptualization, Writing-Review & Editing, Project administration, JF. (B) Conceptualization, Writing-Original Draft, Writing-Review & Editing, Project administration.
Corresponding author
Ethics declarations
Competing interests
The authors declare no competing interests.
Additional information
Publisher’s note
Springer Nature remains neutral with regard to jurisdictional claims in published maps and institutional affiliations.
Rights and permissions
Open Access This article is licensed under a Creative Commons Attribution-NonCommercial-NoDerivatives 4.0 International License, which permits any non-commercial use, sharing, distribution and reproduction in any medium or format, as long as you give appropriate credit to the original author(s) and the source, provide a link to the Creative Commons licence, and indicate if you modified the licensed material. You do not have permission under this licence to share adapted material derived from this article or parts of it. The images or other third party material in this article are included in the article’s Creative Commons licence, unless indicated otherwise in a credit line to the material. If material is not included in the article’s Creative Commons licence and your intended use is not permitted by statutory regulation or exceeds the permitted use, you will need to obtain permission directly from the copyright holder. To view a copy of this licence, visit http://creativecommons.org/licenses/by-nc-nd/4.0/.
About this article
Cite this article
Solana-Peña, Á., Pujol-Canadell, M., Macià, M. et al. Evaluation of predictive biomarkers for late radiation toxicity in breast cancer patients. Sci Rep 16, 1366 (2026). https://doi.org/10.1038/s41598-025-31033-x
Received:
Accepted:
Published:
Version of record:
DOI: https://doi.org/10.1038/s41598-025-31033-x







