Fig. 10
From: Performance enhancement in CZTSSe solar cells via BaSi₂ back surface field integration

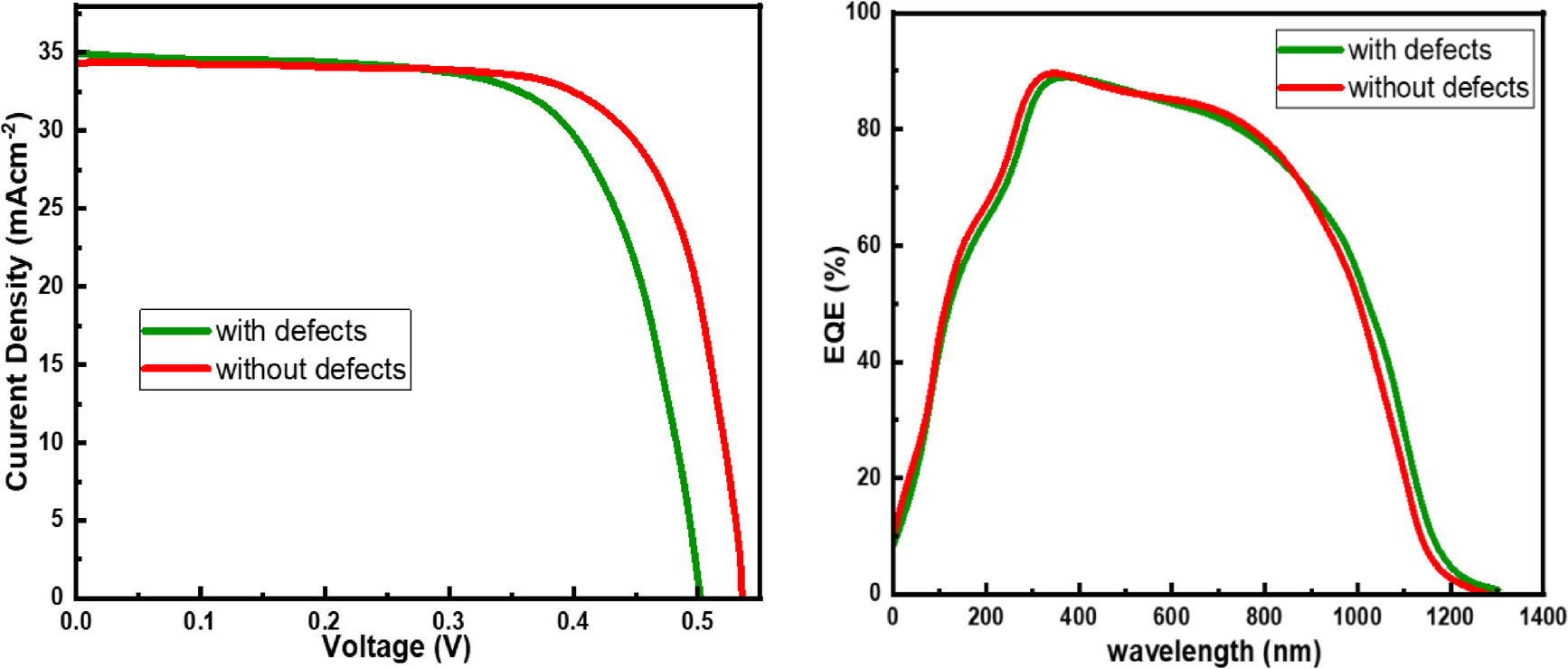
Defect parameter effect on (a) I-V characteristics, (b) Wavelength Vs Quantum efficiency.
From: Performance enhancement in CZTSSe solar cells via BaSi₂ back surface field integration

Defect parameter effect on (a) I-V characteristics, (b) Wavelength Vs Quantum efficiency.