Abstract
The efficiency of solar cells is strongly influenced by factors such as durability, cost-effectiveness, environmental compatibility, and overall performance. Recent advancements in kesterite-based CZTSSe solar cells have revealed a persistent challenge of low open-circuit voltage (VOC), which significantly limits device efficiency. This work focuses on optimizing absorber and interface properties to enhance the simulated performance of CZTSSe solar cells. The thermal stability of the proposed structure is also evaluated by examining the effect of operating temperature on key photovoltaic parameters. To address performance limitations, a BaSi₂-based back surface field (BSF) layer is incorporated, and numerical simulations are carried out using the SCAPS-1D software. The introduction of the BaSi₂-based BSF layer effectively reduces VOC-related losses and enhances the overall device efficiency. The model’s validity is supported through comparison with previously published experimental and simulation data. Incorporating BaSi₂ as the BSF layer increases the simulated efficiency from 12.54% to 16.37%. In parallel, a systematic study of the CZTSSe absorber layer was conducted to determine the optimal thickness and doping concentration for further improving solar cell performance. The values can be varied systematically, such as the absorber’s layer thickness from 0.5 to 3 μm, and the doping concentration is modified from 1012 to 1018 cm− 3. An efficiency of 19.61% can be achieved for the recently improved configuration using a CZTSSe thickness of just only 0.5 μm under idealized conditions but not experimentally realistic. This reduction of the thickness of the CZTSSe solar cells is an important factor in the decline of performance, but it can improve the lifetime of minority carriers.
Similar content being viewed by others
Introduction
The usage of renewable energy resources has increased in today’s daily life due to the consequences of climate change and also the increase in power consumption. The primary reason for using these sources is their sustainability, as they can be recharged. In the past years, it has been observed that Photovoltaic (PV) cell (also known as Solar cell) power generation plays an important role among the renewable energy sources. The operation behind a PV cell is converting solar energy into electrical energy by using semiconductor materials1. The research community2 has proposed and explored different materials for use in PV cells, but these cells will have a main advantage of giving a strong output at a cost-effective price.
One of the major types of solar cells is the Thin-Film Solar Cell (TFSC), which offers the benefits of conserving natural resources, the capability to absorb specific wavelengths of light, and high efficiency. Among TFSCs, Cadmium Telluride (CdTe) and Copper Indium Gallium Selenide (CIGS) are two major types that have achieved efficiencies of 24.2%3 and 23.6%4, respectively. Since these types of solar cells have some disadvantages, such as containing toxic elements, high expenses, and vital components that affect the progress of solar systems. Hence, a study on improvement in thin film solar cells5, which are fair, prudent, feasible, and financially viable devices.
Kesterite semiconductors, which are influenced by chalcopyrite CIGS by switching Zn and Sn for In and Ga, accordingly, have received more attention6,7. The kesterite CZTSSe has become as a feasible option to all present marketed thin-film technologies8,9. CZTSSe was an important alternative as an absorber component in TFSCs, as it has a good absorption coefficient (> 104 cm− 1), p-type conductivity, and a direct and narrow band gap (1.0–1.5.0.5 eV). The considered material CZTSSe is a Se-rich material, and hence the bandgap of CZTSSe is closer to 1.0eV45. The materials present in CZTSSe are widely available, abundant on Earth, and eco-friendly10.
The CZTSSe is playing an important role in the growth of thin film-based photovoltaic technology due to its power conversion efficiency (PCE), which has increased from approximately 5% in 2004 to 13.6%11 and 14.9% in 202312. The Performance gap between CZTSSe and Cu (In, GA)Se (CIGS) solar cells will be crucial. According to the studies, a markable inadequacy in Voc is an important element that gives to low efficiency. The open-circuit voltage deficit (VOC, def) quantifies the voltage loss relative to the absorber bandgap and is defined as VOC, def = Eg/q-VOC, where Eg is the bandgap and is in electron Volts (eV), and VOC is in Volts (V), both terms are dimensionally consistent13.
The CIGS devices have decreased the losses of VOC, def to 350mV, whereas kesterite devices show a VOC, def =589 mV4,14. By reducing VOC, both short circuit current density (JSC) and fill factor (FF) will also be reduced15, which leads to a drop in efficiency. A number of researchers have made significant efforts to improve CZTSSe efficiency3,16. In order to increase this efficiency, Interfacial engineering plays an important role, which can address both front and back surfaces. The front surface efforts mainly state three important areas: incorporating another buffer layer17, improving band bending18, and engaging passivation layers between the buffer and absorber19. Researchers explored many methods to change the front contact, such as including middle layers and making a back surface field20, to boost the back surface field21,22,25. The layer, which is included between the absorber layer & back contact, which is also known as the BSF layer, is a highly doped thin layer that is used to gain high VOC in CZTSSe solar cells. When compared to conventional solar cells, the solar cells with a back surface field (BSF) layer mostly have a higher output voltage. The BSF layer increases the conduction of minority carriers to the depletion region, thereby decreasing the connection with the back surface of the cell27. A strong localized electric field is created in the direction of the p-n junction when a P+/P (high-low) is obtained between the BSF layer and the absorber layer. This method will decrease the dark current and the view of minority charge carriers, hence increasing the JSC23.
Many BSF materials have been utilized in order to enhance the behavior of CZTSSe-based solar cells. Rachidy et al.24 conducted a similarity study between SnS, CZTSSe, and CZTS as BSF to increase CZTSSe solar cell efficiency. The extreme efficiency of 17.10 has been gained by using SnS material. Shivani et al.25 and Kumar et al.26 took SnS as a BSF layer. The results pointed to the efficiency increment with the establishment of SnS and Sn2S3-based BSF layers, respectively. Mansouri et al.27 worked on the impact of SnSe-based BSF layer on CZTSSe solar cell, an efficiency of 20.17% is gained by an exact design. Yadav et al.28 used Barium Silicide (BaSi2) as a BSF layer in CIGS solar cells. This structure has achieved an efficiency gain of approximately 28.11% with an absorber thickness of 0.8 μm.
As a result, utilizing BaSi2 semiconductor as a BSF layer is an innovative method, despite the fact that several modeling studies on CZTSSe solar cells with various HTL or buffer layers have been published. In contrast to traditional architectures that only use front junction engineering, our method improves rear-side carrier selectivity and inhibits back contact recombination, two major performance bottlenecks in kesterite solar cells. In this work, BaSi2 is used as a BSF layer not to transport holes but to form the potential barrier that reflects minority carriers away from the back surface, reducing recombination. Barium, in its original state, is a flexible alkaline earth metal with an atomic number of 56 and a shiny grey hue. The orthorhombic BaSi2 is highly efficient for photovoltaic (PV) applications due to the large band gap range (1.3 eV) and excellent stability at normal conditions29. BaSi2 can be taken as an efficient back surface field material for PV technology. As a result, this study aims to assess the theoretical potential of this structure under idealized simulation conditions and provide insight into the rear interface design strategy for future experimental implementation.
The main objective of this paper is to use a less costly, sustainable, and easily accessible material to enhance the electrical and thermal performance of CZTSSe solar cells. As we know, BaSi2 has not been used as a BSF layer with CZTSSe solar cells, and no research publication has been published on the studies of the CZTSSe/BaSi2 hetero-junction. While incorporating BaSi2 as a BSF layer in the p-type CZTSSe solar cell helps reduce minority carrier (electron) recombination via Conduction Band Offset (CBO) it also introduces a Valence Band Offset (VBO). If the valence band of BaSi2 lies significantly lower than that of CZTSSe, a hole barrier can form at the interface. This hinders the transport of majority carriers (holes), potentially leading to hole accumulation and enhanced interface recombination.
Our important aim in this study is to find the performance of CZTSSe with the execution of a different BSF layer and provide inputs towards enhancing its electrical and thermal properties. The CZTSSe solar cell model has been examined and finalized using the SCAPS-1D simulator30, both with and without the inclusion of the BSF layer. The absorber layer’s thickness and doping have been adjusted, and the effect of operation temperature on the solar cell has been explored. The gathered results have been equated to empirical studies16. Later, BaSi2 was examined as a BSF layer in CZTSSe structure and correlated to other BSF materials24. Although VOC loss is a critical challenge in CZTSSe solar cells, it primarily arises from high defect densities, interface recombination, and band tailing – rather than from temperature effects. However, elevated temperatures during operation can further degrade performance by increasing recombination rates and carrier scattering. Therefore, this work not only investigates absorber optimization but also evaluates the influence of temperature on the stability of key device parameters.
Methodology and simulation
Figure 1(a) illustrates the fundamental framework, which comprises all layers except the BSF layer for CZTSSe solar cells. Figure 1(b) shows the proposed structure with a BSF layer, which contains a BaSi2 BSF layer that is 0.3 μm in thickness and with a bandgap of 1.3eV29.
Schematic structure of solar cell (a) without and (b) with BaSi2 BSF layer.
In recent years, mathematical calculations have stated that they have a significant advantage in kesterite-based solar cells, design, and comprehension43. The Solar Cell Capacitance Simulator-One-Dimensional (SCAPS-1D) software is used in this paper, which is a 1D simulation tool developed by the Electronics and Information Systems department (ELIS) at Gent University30. SCAPS-1D is designed to determine Poisson’s and the continuity equations for free electrons and holes, which are three fundamental equations for semiconductor physics. Table 1 shows the material statistics that were taken from both theoretical24,28 and experimental studies16, for use in the simulation.
Findings and analysis
The SCAPS-1D software is used to simulate the optoelectronic characteristics of the CZTSSe solar cell. This simulation states the parameters of decreasing the thickness of the CZTSSe absorber. The mathematical observations describe the effect of a BaSi2 BSF layer on the device’s performance. The work analyzed the impact of CZTSSe layer thickness, doping concentration, and temperature on photovoltaic (PV) characteristics using AM 1.5G solar spectrum. The simulation results are obtained under idealized conditions using the SCAPS-1D tool30, which includes low defect density, a perfect interface, and optimized band alignment. These assumptions help us to explore the theoretical potential of CZTSSe solar cells with a BaSi2 back surface field layer. Our objective was to investigate the best case theoretical performance of a CZTSSe device with a BaSi2 BSF layer under optimized conditions.
Conventional design (Without BaSi2)
The CZTSSe standard design (Fig. 1(a)) was initially taken out for analysis. A correlation is being established between the outputs and the experimental CZTSSe solar cells16. Table 2 depicts the collected electrical parameters. The CZTSe-based solar cell efficiency is 12.54% with a JSC of 34.3 mA/cm², a VOC of 0.532 V, and a FF of 68.87%. The results coordinate well with the experimental outputs shown in16.
Band diagram of a CZTSSe solar cell with a BaSi2 BSF layer.
New design (with BaSi2)
A highly doped (5 × 1018cm− 3) BaSi2 BSF layer is introduced at the front side of the CZTSSe absorber by creating a p-CZTSSe/p + BaSi2 heterojunction. The p/p + junction formed by mixing BaSi2 and CZTSSe holds the movement of minority carriers towards the back surface and generates a localized electric field towards the p-n junction. Therefore, there is a reduction in the amount of dark current and the reflection of minority carriers20. The decrease in the dark current is importantly referred to the intensified electric field maintained towards the p-n junction. Additionally, there are many other variables that contribute to this reduction: (i) Improved carrier mobility emerges from the electric field between CZTSSe and BaSi2, leading to decreased recombination27. (ii) The p-p + heterojunction of CZTSSe and BaSi2 generates a bigger depletion region, which increases charge separation and reduces the recombination. (iii) The BSF behaves as a photon reflector at the rear contact, improving light absorption by repelling unabsorbed photons back into the absorber layer31, which improves JSC and helps to increase the efficiency.
The band energy diagram is shown in Fig. 2, in which the energy levels in terms of thickness are shown as a function of layer. The band alignment at the HTL/CZTSSe interface in this structure results in a cliff-like conduction band offset, which is known to promote minority carrier (electron) recombination. Ideally, the HTL should present a small spike (ΔEC ≈ + 0.1 eV) to block electrons without impeding hole transport. Future studies should focus on alternative HTLs with more favorable conduction and valence band alignments to minimize interface recombination losses.
Due to the rarest characteristics, the CZTSSe/BaSi2 heterojunction is a specifically notable finding. Firstly, the conduction band (Ec) sustains the vertical axis in a rather immediate and drastic fashion, which is like a spike, at a thickness of 0.3 μm. This Phenomenon would refer that there is a change between the conduction band levels present at the junctions of CZTSSe/BaSi2, which is also known as Conduction Band Offset (CBO). The state of electrons is more precisely this: they are literally opposed by some type of energy barrier in the flow from CZTSSe to BaSi2. Therefore, the least number of electrons can approach the back surface, thereby decreasing the number of losses due to recombination and increasing the efficiency of charge carrier collection. Along with the red line (Fn), which consists of a spike-like feature at the identical interface. The Fermi level (Fn) undergoes a sudden change, including fast injection of electrons into the CZTSSe layer. The displacement of electric charges increases the open-circuit voltage (VOC) and fill factor (FF). Actually, the CZTSSe/BaSi2 interface plays a crucial role in enhancing the efficiency of solar cells by effectively managing the displacement of charge carriers. These findings highlight the importance of utilizing well-shaped material surfaces in achieving precise power conversion efficiency. The electric field structure developed in the CZTSSe solar cell with BSF is shown in a schematic Fig. 3.
Schematic of CZTSSe solar cell with BaSi2 BSF layer.
The BSF layer is taken between 0.1 and 1 μm. The recommended solar cell efficiency remains unchanged for thicknesses above 0.3 μm. Hence, it is suggested to utilize a 0.3 μm thin BaSi2 layer in the following parts of this study with the goal of decreasing material weight and layer thickness. Table 3 shows the photovoltaic performance parameters of the CZTSSe-based solar cell, which include VOC, JSC, FF, and efficiency. The difference is taken between the outputs gained with and without the BSF layer, and the simulation work is done by Rachidy et al.24, and the experimental work conducted by Hao Wei et al.16. When compared to the device without a BSF layer, the device using the BaSi2 BSF layer shows significantly improved predicted performance.
In order to calibrate our simulation results, we have simulated our device with the same dimensions presented in literature44, and the J-V curve is presented in Fig. 4. From this figure, it is observed that the simulation and experimental data match with each other, which validates our simulation results.
Calibration of Simulation results with experimental data44.
The CZTSSe solar cell showed an efficiency of 12.54%. Although the addition of a 0.3 μm BaSi2 layer showed a remarkable improvement in Power Conversion Efficiency (PCE) to 16.37% for the same 1.8 μm absorber thickness, it also showed a substantial improvement in performance. The important logic that provides this increase in efficiency is the use of both CZTSSe as an absorber layer and BaSi2 as a BSF, which leads to improved absorption of photons by the cell. The significant advantage in efficiency can be achieved through the reduced losses in recombination, promoted by the presence of the BaSi2 layer. The inclusion of the BSF layer resulted in a significant improvement in the JSC to 36.57 mA/cm². The 6.6% rise in JSC can be attributed to the BaSi2 layer’s capacity to incorporate more photons, resulting in the production of more electron-hole pairs, therefore increasing the current produced by the cell. Hence, a significant number of photons can be taken, resulting in the production of more electron-hole pairs.
The VOC improved from 0.532 V to 0.744 V as a result of accumulating the BSF layer. The increment of VOC by 39.8% could be a result of the reduced recombination of charge carriers at the back surface, which is directly caused by the improved electric field within the cell. The FF accomplished a minimal reduction from 68.87% to 60.15%. An additional BSF layer occurred due to series resistance or other parasitic resistances, which may be the reason for the drop of FF. Although there was a reduction, the overall efficiency still improved, indicating the positive effect of the BSF layer.
Absorber thickness effect
The work focused on a repeated numerical analysis to know the effect of changing the thickness of the CZTSSe absorber layer, varying from 0.5 to 3 μm, on the parameters of a solar cell that consists of a 0.3 μm BaSi2 layer as a Back Surface Field. This work highlights the significant impact of the BSF layer, enhancing the photovoltaic parameters as shown in Fig. 4. By increasing the absorber thickness to 350 to 400 nm, charge extraction can be improved even with thin absorbers, which is attributed to enhanced carrier collection, decreased recombination, and an increased electric field at the CZTSSe/BaSi2 interface, rather than absorption alone. The inclusion of a BaSi2 BSF layer mainly affects the important characteristics of the solar cell. As the thickness of CZTSSe decreases, a familiar pattern of increased efficiency and fill factor emerges. Usually, larger absorber layers are predictable to improve the efficiency as they have a greater capability to absorb photons. Though this scheme differs from the expected output, it is complicated. The increased efficiency obtained by taking thinner absorbers in the existence of the BSF layer, which can be attributed to the following phenomena:
-
(i)
The BSF layer effectively reflects electrons generated by light towards the junction, therefore reducing recombination losses at the front contact. This opposing method enhances both VOC and JSC, resulting in a complete improvement in efficiency.
-
(ii)
The simulation outputs suggest that the BSF layer mainly reduces the recombination of minority carriers at the rear surface contact, providing an improvement in carrier gathering efficiency.
The regular CZTSSe solar cell gains an efficiency of 12.54% without a BSF layer. The efficiency of the design was significantly improved to 16.37% due to the inclusion of a 0.3 μm BaSi2 and 0.5 μm CZTSSe layers. The major improvement can be added to the increased absorption of photons and reduced losses due to recombination, which have occurred mainly in the BSF layer. In this work, our aim was to assess the theoretical performance potential of a CZTSSe-based device incorporating a BaSi2 BSF layer under idealized simulation conditions.
JSC for the regular design is 34.3 mA/cm2. Including of BSF layer directed to a JSC of 33.56 mA/cm2. Even though there was a small decrement, the complete improvement in efficiency recommends that the basic advantage of the BSF layer is in reducing recombination compared to increasing the current density. The VOC for the regular solar cell is about 0.532 V. The inclusion of the BSF layer greatly improves the VOC to 0.807 V, resulting in an improved design. VOC increases by 51.7% due to lower charge carrier recombination at the back surface, resulting in higher cell voltage output. The fill factor attains an optimum value at an appropriate absorber thickness. When the absorber is too thin, insufficient light absorption and increased series resistance (Rs) result in a reduction in fill factor. Conversely, an excessively thick absorber leads to enhanced recombination and higher Rs, causing the fill factor to decrease again. Hence, the fill factor for the conventional design is 68.87%. The addition of the BSF layer will lead to a fill factor of 71.54%. This improvement will enhance charge carrier acquisition and reduce series resistance, dedicated to the complete improvement in efficiency.
The following factors can be used to hypothetically relate the results obtained:
The CZTSSe absorbers are experiencing voltage losses as a result of the short minority carrier lifetime32. Before reaching the space charge region (SCR), produced carriers are more feasible in solid absorbers33. Even in thinner absorbers, the BSF layer addresses this issue by reestablishing the connection between the carriers and the junction, thereby lowering recombination losses and enhancing carrier collection efficiency. There is a strong link between absorber thickness, efficiency, and carrier lifespan. When the thickness of CZTSSe is around 0.5 μm, maximum efficiency is achieved34. A thin absorber layer (typically 0.5 μm) can increase efficiency in CZTS and related thin-film solar cells by reducing bulk recombination, enhancing charge collection, and lowering series resistance, all of which outweigh the slight loss in optical absorption. The key is to balance optical absorption and electrical collection for the optimal thickness. This implies that using thinner absorbers in combination with a BSF layer may effectively control photon absorption and carrier accumulation without the disadvantages of longer carrier diffusion pathways in bigger absorbers.
In addition to improving performance, reducing CZTSSe thickness has significant financial and manufacturing advantages:
-
(i)
Lowering the prices by material Optimization: Less raw material is needed when thinner absorbers are used, which lowers the total cost of manufacturing goods.
-
(ii)
Improving Manufacturing Efficiency: Thinner films can be produced by controlling the rate at which materials are deposited. This reduces the time and energy required for the film deposition process, ultimately lowering the overall fabrication cost.
-
(iii)
Feasibility: The production of CZTSSe solar cells is now more environmentally friendly due to the reduction in material and energy consumption, which is consistent with sustainable manufacturing requirements.
Varying the thickness of CZTSSe with without the BaSi2 BSF layer.
Absorber doping concentration effect
This section presents a numerical evaluation of how various acceptor concentrations in the CZTSSe absorber layer impact the performance of the solar cell design. The solar cell design incorporated with a BaSi2 BSF layer with a constant density of 5 × 1018 cm− 3. Figure 5 displays the operational parameters of the solar cell. The absorber doping concentration ranges from 1013 to 1018 cm− 3. The analysis reveals distinct trends about the acceptor density in Voc. The Voc maintains a high value of about 0.808 V at low densities, being almost constant at acceptor densities up to 5 × 1016 cm− 3. The Voc decreases significantly at intermediate densities greater than 5 × 1016 cm− 3, reaching 0.703 V at 1017 cm− 3 acceptor density. Higher recombination rates at higher acceptor densities are likely the source of the efficiency drop, as this leads to more hole trap centers and a lower separation efficiency of photogenerated carriers.
Voc is seen to grow at acceptor densities between 1017 and 1018 cm− 3, reaching a value of 0.748 V. The stability of the recombination dynamics and the improvement of electronic properties at very high doping levels are responsible for the rebound observed.
There is a peak and a decline in the behavior of Jsc with respect to acceptor density. The current density (Jsc) increases significantly at low to moderate densities, peaking at an acceptor density of 1017 cm− 3. Improved carrier generation and collection efficiency, which is initially more important than recombination losses as the hole density rises, is the cause of this increase. The Jsc rapidly reduces and then stabilizes when the acceptor densities fall between 1017 and 1018 cm− 3. Increased Coulomb interactions cause higher rates of recombination for photo-generated electrons, which lowers the current density and causes the abrupt drop. The low minority carrier lifetimes of CZTSSe are known to restrict carrier diffusion lengths. An increase in absorber thickness beyond the diffusion length causes produced carriers to recombine before to collection, which lowers JSC.
Until the acceptor density reaches 1015 cm− 3, the FF stays comparatively steady, indicating that slight increases in hole density have no effect on the cell’s PCE.
After FF reaches a concentration of 1015 cm− 3, there is a noticeable decrease followed by an increase. An increase in recombination and the ensuing losses are likely the primary cause of this drop. The trend then increases at higher densities, possibly due to the electrical properties of the cell adjusting to the altered doping levels and achieving a stable performance level. However, the fill factor rises dramatically above 1017 cm− 3 because of the enhanced built-in electric field and decreased resistive losses, which increase the PCE. This impact is seen in SCAPS-1D30, when perfect interface conditions are assumed. High doping levels may cause more flaws in actual implementation, and appropriate interface passivation and defect control are necessary to achieve the true PCE benefit.
The efficiency trends are very sensitive to variations in acceptor density and closely reflect those of Jsc and FF. With an acceptor density of 1012 cm− 3, Jsc of 33.54 mA/cm2, Voc of 0.808 V, and FF of 72.55%, the maximum efficiency of 19.61% is reached. This optimal configuration achieves a balance between the production of carriers and the low-level incidence of recombination. As acceptor density improves, efficiency declines but stabilizes at higher concentrations (≥ 1018 cm− 3), where improved electronic properties somewhat mitigate the negative consequences of recombination.
CZTSSe doping concentration effect on the proposed cell (with BSF).
The operating temperature impact on the solar cell behavior
This part examines the efficiency of a CZTSSe solar cell that has been boosted. By keeping all the remaining specifications fixed, the temperature of the solar cell is varied between the ranges of 300 K to 400 K. As seen in Fig. 6, the investigation focuses on examining how temperature affects performance metrics. The optimized cell with a BaSi2 BSF layer and the regular design without one are compared in the study. In CZTS solar cells, the VOC decreases approximately linearly with temperature, typically at a rate of −1.5 to −2.0mV/K. This occurs because bandgap narrowing and enhanced recombination at higher temperatures increase the saturation current, thereby lowering VOC. To evaluate the resilience of a device under practical working conditions, temperature analysis is beneficial.
There is a definite inverse link between VOC and temperature. VOC decreases as the temperature rises from 300 K to 400 K. VOC in the optimized cell initially begins at 0.808 V at 300 K and then drastically decreases as the temperature increases. The reduction in the energy band gap and the rise in reverse saturation current are responsible for this decline. Choosing a temperature range of 350 K to 400 K will make the thermal stability and performance consistency of the suggested CZTSSe/BaSi2 cell structure easier to understand. At a temperature of 400 K, the VOC drops more quickly in the conventional design, reaching a value of 0.326 V. The enhanced temperature sensitivity highlights the benefits of the BSF layer in the revised design, which successfully maintains VOC at higher temperatures. The JSC shows different preferences for the two designs:
Throughout the entire temperature range, the improved solar cell’s Jsc value stays comparatively unchanged. The stability seen indicates that the BSF layer helps lessen the adverse effect of temperature on electric current generation. In the traditional design, if the temperature rises, then JSC also rises from 34.3 mA/cm2 to 35.55 mA/cm2. More electron-hole pairs are produced as a result of the temperature increase, which further enhances the recombination.
As the temperature increases, FF shows a significant decline. When compared to the conventional design, the FF drops from its starting value but yet maintains significantly higher values, indicating better performance retention at higher temperatures. The optimized design performs better than the traditional design at 400 K, with a noticeably higher FF. After a slow drop, the value of FF reaches 57.64% at 400 K. The notable decline emphasizes how susceptible the conventional design is to a performance decline brought on by temperature variations.
Temperature effects on CZTSSe solar cells with and without BaSi2.
The efficiency of the improved structure decreases from 19.61% at 300 K to 15.22% at 400 K. Despite this decrease, the improved design outperforms the conventional design at higher temperatures by a significant margin. Efficiency drops from 12.54% (300 K) to 6.67% (400 K) for the traditional design. The effectiveness of the BSF layer in the improved design, which helps to maintain exceptional performance in the face of thermal stress, is highlighted by this notable fall in efficiency. The temperature-dependent changes observed are explained by the following mechanisms:
-
- Voc decreases as a result of an increase in reverse saturation current brought on by the rise in intrinsic carrier concentration and the temperature-induced decrease in band gap35. This phenomenon is particularly noticeable in the conventional design.
-
- When the temperature rises, the band gap decreases, which causes the band gap to reduce. This decrease has a negative effect on Voc and FF because it speeds up the creation of electron-hole pairs while simultaneously increasing recombination36,37. The results show that adding a BSF layer improves efficiency at normal temperatures while also enhancing thermal stability, which is crucial in real-world situations where solar cells are subjected to temperature fluctuations. The revised design’s enhanced thermal durability may lead to improved long-term performance and reliability, making it more suitable for a range of climatic conditions. The standardized value of the efficiency VOC is shown in Fig. 7. For both curves (efficiency and Voc), the CZTSSe solar cell with BaSi2 has a less steep slope than the one without.
Temperature effect on the normalized efficiency and Voc.
The I-V properties of the CZTSSe solar cell
Figure 8 depicts the CZTSSe-based solar cells’ J-V curves. Table 3 presents the PV properties of the basic and optimized cells, utilizing absorber layer thicknesses of 1.8 μm and 0.5 μm, respectively. These values are compared to experimental work16 and the standard structure simulated solar cell24. In comparison to the conventional design, the enhanced solar cell shows a notable increase in efficiency. The optimized cell shows approximately 18% more efficiency than the normal, bulkier cell. Performance gains can be attributed to enhanced electrical properties and reduced recombination losses in the absorber’s thinner layer.
A more financially attractive and advantageous design is suggested by the increased efficiency and the decreased amount of material used in the thinner absorber. The rise in profit is because of the decrease in expenses, combined with the 0.5 μm CZTSSe absorber material. Compared to the regular form, the enhanced cell’s Voc is 8.5% higher. Reduced recombination rates and improved charge carrier separation efficiency within the thinner absorber layer are responsible for the observed improvement. When compared to the normal cell, the optimized cell’s FF shows a notable rise of about 20.5%. The notable rise indicates enhanced charge carrier extraction and reduced resistance in the optimized design. Better device quality and higher conversion efficiency of generated power are indicated by a higher fill factor (FF).
Even though the improved cell rises in efficiency, VOC, and FF, it shows a 9% reduction in JSC related to the normal design. The efficiency loss is a result of the reduced thickness of the absorber layer, which controls the amount of light absorbed and, relatively, the generation of charge carriers. But there has been a reduction, the gained JSC value yet stays better and more allowed, taking the complete performance improvement Fig. 9.
J-V appearances of CZTSSe solar cells with and without BSF.
Table 3 presents a comparative analysis of the improved cell in relation to other theoretical and practical studies. According to both theoretical predictions and practical observations, the enhanced solar cell outperforms traditional CZTSSe solar cell designs. This design’s superior electrical properties and effective resource utilization are primarily responsible for its excellence.
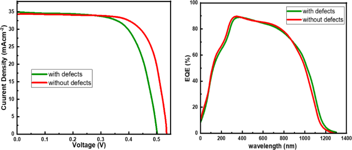
Defect parameter effect on (a) I-V characteristics, (b) Wavelength Vs Quantum efficiency.
The ability of the thin 500 nm CZTSSe absorber layer to lower production costs without losing high efficiency highlights its economic appeal and makes it a viable alternative to traditional thicker absorbers. Figure 10 illustrates the impact of defects on current density and External Quantum Efficiency (EQE). The interface defects at the CZTSSe junctions induce significant interface recombination and energy barrier mismatch, which consequently reduce the VOC and FF. These defects act as recombination centers that trap photogenerated carriers, thereby limiting the separation of quasi-fermi levels and lowering the attainable VOC. In addition, localized states at the interface can cause the Fermi level pinning and hinder efficient carrier transport across the junction, further reducing FF and overall device performance Table 4.
Investigating BaSi2 BSF potential in CZTSSe solar cells
When creating CZTSSe solar cells, a variety of materials have been employed as the back-surface field (BSF) layer, including SnS, Sn2S338, SnSe27, CZTSe39, and others. Additionally, theoretical research has been done on these materials. The advantages of using BaSi2 as BSF over other materials used in CZTSSe (TFSC) are shown in Table 5. Compared to the previous BSF layers, BaSi2 has a higher absorption coefficient. Because BaSi2 is widely distributed in the Earth’s crust, it is a more affordable alternative to SnS, SnSe, or Sn2S3. Moreover, strontium (Sr) impurities can be added to achieve the desired band gap of 1.4 eV28.
Both the durability and the minority-carrier diffusion period are long40. According to the modeling results, adding a BaSi2 BSF layer can significantly increase the photovoltaic efficiency of CZTSSe solar cells. Additionally, the notable improvements in efficiency, Voc, and FF attained by using a BaSi2 BSF layer demonstrate its potential to revolutionize solar cell design. BaSi2 is the best material for the BSF layer of CZTSSe solar cells, according to the study’s results and the advantages mentioned in Table 5. The advantage of BaSi2 contributes large price benefits, combined with its eminent electrical and optical characteristics, making it the best choice for further improvement of solar cell technology. In CZTSSe solar cells, adding BaSi2 as a BSF layer not only increases the solar cell efficiency, but it also provides an economical and eco-friendly option.
Conclusion
In this work, the SCAPS-1D software package was used to perform numerical simulations of the CZTSSe solar cell, allowing for an analysis of its performance and potential efficiency improvements. The effects of parameters such as doping concentration, absorber thickness, and temperature on the optoelectronic performance of the cell are analyzed. A thin 0.3 μm BaSi₂ layer is introduced to modify the conventional CZTSSe device architecture, yielding an Al/ZnO/CdS/CZTSSe/BaSi₂/Mo structure. Mathematical modeling is employed to correlate the photovoltaic characteristics of the simulated cells with theoretical and experimental trends. Incorporation of the BaSi₂-based BSF layer leads to noticeable improvements in JSC, VOC, and overall efficiency, even as the CZTSSe absorber thickness is reduced. The newly improved model exhibits an efficiency of 19.61% under ideal conditions, with FF = 72.55%, VOC=0.808 V, and JSC=33.54 mA/cm². Furthermore, we intend to reproduce this work experimentally and evaluate the long-term stability of the proposed solar cell when exposed to different environmental conditions, including humidity, dust, and temperature variations.
Data availability
The data can be made available upon reasonable request from the authors (T.R.S.C. and D.K.P.).
References
Atikur Rahman, M. A review on semiconductors including applications and temperature effects in semiconductors. Am. Sci. Res. J. Eng. Technol. Sci. 7 (1), 50–70 (2014).
Miles, R. W., Hynes, K. M. & Forbes, I. Photovoltaic solar cells: an overview of state-of-the-art cell development and environmental issues. Prog. Cryst. Growth Charact. Mater. 51 (1–3), 1–42. https://doi.org/10.1016/j.pcrysgrow.2005.10.002 (2005).
Paul, A. et al. 4-T CdTe/perovskite thin film tandem solar cells with efficiency > 24%. ACS Energy Lett. 9 (6), 3019–3026. https://doi.org/10.1021/acsenergylett.4c01118 (2024).
Keller, J. et al. High-concentration silver alloying and steep back-contact gallium grading enabling copper indium gallium Selenide solar cell with 23.6% efficiency. Nat. Energy. 9 (4), 467–478. https://doi.org/10.1038/s41560-024-01472-3 (2024).
Armin, G. & Aberle Thin-film solar cells. Thin Solid Films. 517 (17), 4706–4710. https://doi.org/10.1016/j.tsf.2009.03.056 (2009). ISSN 0040-6090.
Nisika, K., Kaur & Kumar, M. Progress and prospects of CZTSSe/CdS interface engineering to combat high open-circuit voltage deficit of kesterite photovoltaics: A critical review. J. Mater. Chem. A. 8 (41), 21547–21584. https://doi.org/10.1039/d0ta06450e (2020).
Tzu-Ying, L. Radiation resistant chalcopyrite CIGS solar cells: proton damage shielding with Cs treatment and defect healing via heat-light soaking. J. Mater. Chem. A. 12, 7536–7548. https://doi.org/10.1039/d3ta06998b (2024).
Winzek, B. Recent developments in shape memory thin film technology. Mater. Sci. Engineering: A. 378 (1–2), 40–46. https://doi.org/10.1016/j.msea.2003.09.105 (2004).
Robert, W., Birkmire, Brian, E. & McCandless CdTe thin film technology: leading thin film PV into the future. Curr. Opin. Solid State Mater. Sci. 14 (6), https://doi.org/10.1016/j.cossms.2010.08.002 (2010). 139–142,ISSN 1359 – 0286.
Altamura, G. & Vidal, J. Impact of minor phases on the performances of CZTSSe Thin-Film solar cells. Chem. Mater. 28 (11), 3540–3563. https://doi.org/10.1021/acs.chemmater.6b00069 (2016).
Green, M. A. et al. Solar cell efficiency tables (version 62). Prog Photovoltaics Res. Appl. 31 (7), 651–663. https://doi.org/10.1002/pip.3726 (2023).
Laidouci, A., Singh, V. N., Dakua, P. K. & Panda, D. K. Performance evaluation of ZnSnN2 solar cells with Si back surface field using SCAPS-1D: A theoretical study. Heliyon, 9(10), e20601. (2023).
Fai, K. Investigating the open – circuit voltage deficit in Cu2ZnSn (S, Se) 4 solar cells, Doctoral thesis, Nanyang Technological University, Singapore (2016). https://doi.org/10.32657/10356/66930
Son, D. H. et al. Effect of solid-H2S gas reactions on CZTSSe thin film growth and photovoltaic properties of a 12.62% efficiency device. J. Mater. Chem. A. 7 (44), 25279–25289. https://doi.org/10.1039/c9ta08310c (2019).
Xu, J., Lin, J. & Zhuang, C. Analysis of the open-circuit voltage of Cu2ZnSn(S, Se)4 thin film solar cell. Sol. Energy. 164, 231–242. https://doi.org/10.1016/j.solener.2018.02.066 (2018). ISSN 0038-092X.
Wei, H. et al. Defect suppression for high-efficiency kesterite CZTSSe solar cells: advances and prospects. Chem. Eng. J. 462, 1385–8947. https://doi.org/10.1016/j.cej.2023 (2023).
Soumyadeep Sinha, D. K., Nandi, P. S., Pawar, S. H., Kim, J. & Heo A review on atomic layer deposited buffer layers for Cu (In,Ga)Se2 (CIGS) thin film solar cells: Past, present, and future. Sol. Energy. 209, 515–537. https://doi.org/10.1016/j.solener.2020.09.022 (2020).
Teloeken, A. C., Lamb, D. A., Dunlop, T. O. & Irvine, S. J. C. Effect of bending test on the performance of CdTe solar cells on flexible ultra-thin glass produced by MOCVD. Sol. Energy Mater. Sol. Cells. 211, 110552. https://doi.org/10.1016/j.solmat.2020.110552 (2020). ISSN 0927 – 0248.
Kumar, A. & Ranjan, P. Impact of light soaking on absorber and buffer layer in thin film solar cells. Appl. Phys. A. 126, 397. https://doi.org/10.1007/s00339-020-03595-2 (2020).
Benzetta, A. E. H., Abderrezek, M. & Djeghlal, M. E. Contribution to improve the performances of Cu2ZnSnS4 thin-film solar cell via a back-surface field layer. Optik 181, 220–230. https://doi.org/10.1016/j.ijleo.2018.12.048 (2019). ISSN 0030-4026.
Barman, B. & Kalita, P. K. Influence of back surface field layer on enhancing the efficiency of CIGS solar cell. Sol. Energy. 216, 329–337. https://doi.org/10.1016/j.solener.2021.01.032 (2021). ISSN 0038-092X.
Sabrina Benabbas, Z., Rouabah, N., Bouarissa, N. & Chelali The role of back surface field SnS layer in improvement of efficiency of CdTe thin film solar cells. Optik 127 (15), 6210–6217. https://doi.org/10.1016/j.ijleo.2016.04.050 (2016). ISSN 0030-4026.
Khattak, Y. H. et al. Effect of CZTSe BSF and minority carrier life time on the efficiency enhancement of CZTS kesterite solar cell. Curr. Appl. Phys. 18 (Issue 6), 633–641. https://doi.org/10.1016/j.cap.2018.03.013 (2018).
Rachidy, C. et al. Enhancing CZTS solar cell parameters using CZTSe BSF layer and non-toxic SnS2/In2S3 buffer layer. Mater. Today: Proc. 66 (1), 26–36. https://doi.org/10.1016/j.matpr.2022.03.106 (2022). ISSN 2214–7853.
Dakua, P. K. & Panda, D. K. Analysis of various hole transport layers (HTLs) on the performance of CZTS-solar cell. Phys. Scr. 98 (3), 035110 (2023).
Kumar, A. & Thakur, A. D. Improvement of efficiency in CZTSSe solar cell by using back surface field. IOP Conf. Ser. Mater. Sci. Eng. 360 (1), 0–6. https://doi.org/10.1088/1757-899X/360/1/012027 (2018).
Mansouri, E., Abderrezek, M. & Benzetta, A. E. Thin-film CZTSSe solar cells efficiency improvement through BSF SnS layer and concentrator applications. Energy Sour. Part A Recover. Utilization Environ. Eff. 46 (1), 2024–2039. https://doi.org/10.1080/15567036.2024 (2024).
Yadav, T., Yadav, S. & Sahu, A. Comparative performance analysis of perovskite/CIGS-based double absorber layer solar cell with BaSi2 as a BSF layer. J. Opt. 53, 2922–2929. https://doi.org/10.1007/s12596-023-01425-1 (2024).
Suemasu, T. & Usami, N. Exploring the potential of semiconducting BaSi2 for thin-film solar cell applications. IOP Publishing. 50 (2), 023001. https://doi.org/10.1088/1361-6463/50/2/023001 (2016).
Burgelman, M., Decock, K., Niemegeers, A., Verschraegen, J. & Degrave, S. manual, (2021). https://scaps.elis.ugent.be/SCAPS%20manual%20most%20recent.pdf
Kumari, P. et al. Enhanced photovoltaic performance of PEDOT:PSS/Si heterojunction solar cell with ZnO BSF layer: A simulation study using SCAPS-1D. Silicon 15, 2099–2112. https://doi.org/10.1007/s12633-022-02163-y (2023).
Ohnesorge, B., Weigand, R., Bacher, G., Forchel, A. & Riedl, W. Karg; Minority-carrier lifetime and efficiency of solar cells. Appl. Phys. Lett. 31 (9), 1224–1226. https://doi.org/10.1063/1.122134 (1998).
Repins, I. L. et al. Wei; indications of short minority-carrier lifetime in kesterite solar cells. J. Appl. Phys. 28 (8), 084507 (2013).
Wanda, M. D., Ouédraogo, S., Tchoffo, F., Zougmoré, F. & Ndjaka, J. M. B. Numerical investigations and analysis of Cu2ZnSnS4 based solar cells by SCAPS-1D. Int. J. Photoenergy. https://doi.org/10.1155/2016/2152018 (2016).
Sun, C. et al. Temperature effect of photovoltaic cells: a review. Adv. Compos. Hybrid. Mater. 5, 2675–2699. https://doi.org/10.1007/s42114-022-00533-z (2022).
DupréO., VaillonR. & GreenM.A. Physics of the temperature coefficients of solar cells. Sol. Energy Mater. Sol. Cells. 140, 92–100. https://doi.org/10.1016/j.solmat.2015.03.025 (2015). ISSN 0927 – 0248.
Hossein & Movla Optimization of the CIGS based thin film solar cells: numerical simulation and analysis. Optik 125 (1), 67–70. https://doi.org/10.1016/j.ijleo.2013.06.034 (2014). ISSN 0030-4026.
Md, F. et al. A qualitative design and optimization of CIGS-based solar cells with Sn2S3 back surface field: A plan for achieving 21.83% efficiency. Elsevier 9 (12), 2405–8440. https://doi.org/10.1016/j.heliyon.2023.e22866 (2023).
Rana, M. S., Islam, M. M. & Julkarnain, M. Enhancement in efficiency of CZTS solar cell by using CZTSe BSF layer. Sol. Energy. 226, 272–287. https://doi.org/10.1016/j.solener.2021.08.035 (2021). ISSN 0038-092X.
Bo, W. et al. Long Minority-Carrier diffusion length and low Surface-Recombination velocity in inorganic Lead-Free CsSnI3 perovskite crystal for solar cells. Adv. Funct. Mater. 27 (7), 1616–301X. https://doi.org/10.1002/adfm.201604818 (2017).
Dakua, P. K. et al. Optimization of efficiency of CZTS-based solar cell through exclusive BSF layer engineering method. J. Phys. Chem. Solids. 193, 112156 (2024).
Mohammadnejad, S., Baghban Parashkouh, A. & Baghban, A. CZTSSe solar cell efficiency improvement using a new band-gap grading model in absorber layer. Appl. Phys. Mater. Sci. Process. 123 (12), 0. https://doi.org/10.1007/s00339-017-1371-x (2017).
Meguellati, M. et al. Performance optimization of Earth abundant CZTS kesterite solar cell with efficient interface engineering and back surface field. J. Opt. https://doi.org/10.1007/s12596-024-01883-1 (2024).
Qijie Guo, G. M. et al. Fabrication of 7.2% efficient CZTSSe solar cells using CZTS nanocrystals. J. Am. Chem. Soc. 132, 49, 17384–17386. https://doi.org/10.1021/ja108427b (2010).
Yan, C. et al. Cu2ZnSnS4 solar cells with over 10% power conversion efficiency enabled by heterojunction heat treatment. Nat. Energy. 3, 764–772. https://doi.org/10.1038/s41560-018-0206-0 (2018).
Funding
Open access funding provided by Manipal Academy of Higher Education, Manipal
Author information
Authors and Affiliations
Contributions
Conceptualization: T.R.S.C., D.K.P., and P.R.; Methodology: T.R.S.C., D.K.P., P.R., and A.K.G.; Software: T.R.S.C., and P.R.; Validation: T.R.S.C., D.K.P., and P.R.; Formal analysis: T.R.S.C., D.K.P., and P.R.; Investigation: D.K.P., and A.K.G.; Writing - Original Draft: T.R.S.C., D.K.P., P.R., and A.K.G.; Writing - Review & Editing: T.R.S.C., D.K.P., P.R., and A.K.G.; Supervision: D.K.P., and A.K.G.;
Corresponding author
Ethics declarations
Competing interests
The authors declare no competing interests.
Additional information
Publisher’s note
Springer Nature remains neutral with regard to jurisdictional claims in published maps and institutional affiliations.
Rights and permissions
Open Access This article is licensed under a Creative Commons Attribution 4.0 International License, which permits use, sharing, adaptation, distribution and reproduction in any medium or format, as long as you give appropriate credit to the original author(s) and the source, provide a link to the Creative Commons licence, and indicate if changes were made. The images or other third party material in this article are included in the article’s Creative Commons licence, unless indicated otherwise in a credit line to the material. If material is not included in the article’s Creative Commons licence and your intended use is not permitted by statutory regulation or exceeds the permitted use, you will need to obtain permission directly from the copyright holder. To view a copy of this licence, visit http://creativecommons.org/licenses/by/4.0/.
About this article
Cite this article
Chandran, T.R.S., Panda, D.K., Raut, P. et al. Performance enhancement in CZTSSe solar cells via BaSi₂ back surface field integration. Sci Rep 16, 1399 (2026). https://doi.org/10.1038/s41598-025-31243-3
Received:
Accepted:
Published:
Version of record:
DOI: https://doi.org/10.1038/s41598-025-31243-3












