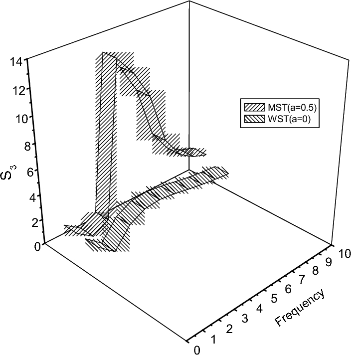
Fig. 18 | Scientific Reports