Fig. 11

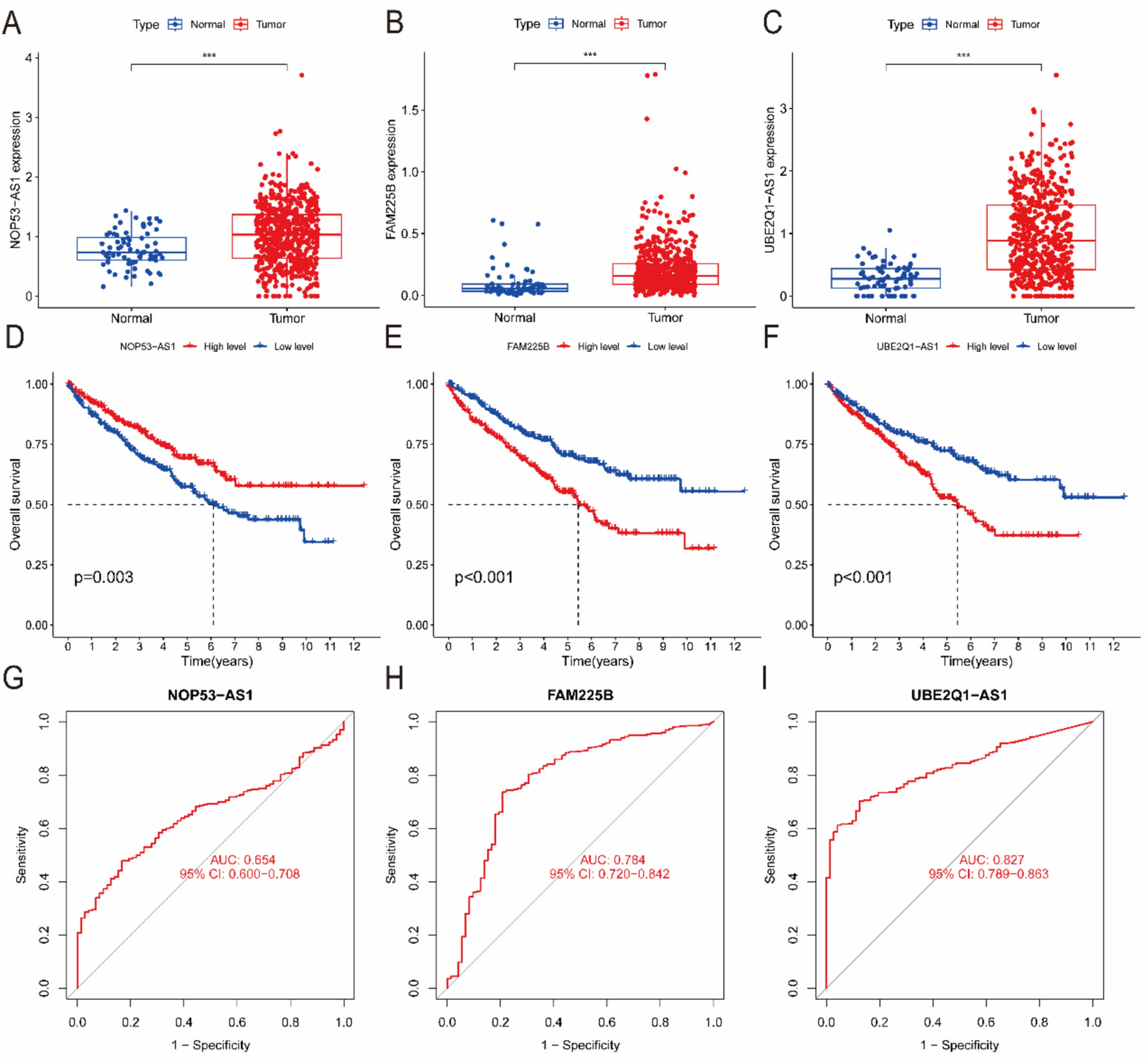
External verification of the model. (A–C) Levels of NOP53-AS1, FAM225B and UBE2Q1-AS1 in tumor and neighboring tissues. (D–F) Survival analysis of NOP53-AS1, FAM225B and UBE2Q1-AS1. (G–I) ROC curves for NOP53-AS1, FAM225B and UBE2Q1-AS1.

External verification of the model. (A–C) Levels of NOP53-AS1, FAM225B and UBE2Q1-AS1 in tumor and neighboring tissues. (D–F) Survival analysis of NOP53-AS1, FAM225B and UBE2Q1-AS1. (G–I) ROC curves for NOP53-AS1, FAM225B and UBE2Q1-AS1.